獨立增量過程
正文
在任何一組兩兩不相交區間上,其增量都相互獨立的隨機過程;又稱為可加過程。如果記隨機過程為 X={X(t),t∈T},則獨立增量性意味著對任意正整數n及任意t0<t1<t2<…,ti∈T,增量 X(ti)-X(ti-1)(i=1,2,…,n)及X(t0)是相互獨立的。獨立增量過程是一類特殊的馬爾可夫過程。泊松過程和布朗運動都是它的特例。從一般的獨立增量過程分離出本質上是獨立隨機變數序列的部分和以後,剩下的部分總是隨機連續的。因此研究獨立增量過程,通常可假定它是可分的且隨機連續的。
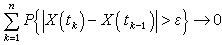
對於可分且隨機連續的獨立增量過程X={X(t),t∈R },幾乎所有的(即機率為1的)樣本函式沒有第二類間斷點。它在指定的區間[α,b]上,幾乎所有的樣本函式連續的充分必要條件是:任給 ε>0,當【α,b】的分割
的直徑
時,
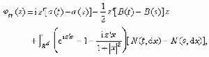
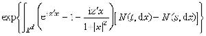
。 d維隨機連續的獨立增量過程X在區間(s,t】上的增量X(t)-X(s)服從d維的無窮可分分布(定義與一維情形一樣,見中心極限定理),它的特徵函式(見機率分布),記作φ寈(z),z∈Rd,有下列著名的萊維-辛欽公式:

。
特徵函式表達式的三個部分代表了增量的三個相互獨立的部分:exp{iz┡【α(t)-α(s)】}相應於非隨機部分的增量;exp{iz┡【B(t)-B(s)】z}相應於正態部分的增量;
相應於泊松型部分的增量。以d=1為例,不妨設初值X(0)=0。著名的萊維-伊藤分解定理指出:任一可分且隨機連續的獨立增量過程X={X(t),t∈R }可以表示成一個實值(非隨機)函式 α=α(t),一個樣本連續的正態獨立增量過程
與一個泊松型的獨立增量過程
之和:
,其中
,且 Xc與Xd 獨立。此外,獨立增量過程X還有如下的性質:如果X(t)服從常態分配,則對一切s∈【0,t】,X(s)也服從常態分配;如果X(t)服從泊松分布,則 X(s)也服從泊松分布,s∈【0,t】。 對一維的齊次獨立增量過程,即d=1,且X(t)-X(s)的分布僅依賴於t-s的情形,萊維-辛欽公式化成


。特別,若X幾乎所有的樣本函式連續且其均值函式為0,則它是布朗運動,X(t)-X(s)服從均值為零、方差為b(t-s)的常態分配,這種情形對應於上式中m=0,且N(A)呏0對一切R 的波萊爾子集A成立。若X幾乎所有的樣本函式是躍度為1的階梯函式,則它是齊次泊松過程,X(t)-X(s)服從參數為 λ(t-s)的泊松分布,這種情形對應於上式中m =λ/2,b=0,而與N(dx)對應的增函式N(x)為 
D. Freedman,Brownian Motion and Diffusion,Springer-Verlag, Berlin, 1983.
I.I.Gihman and,A.V.Skorohod,The Theory of Stochastic Processes,Springer-Verlag. Berlin,1975.
