基本介紹
算術幾何平均算術幾何平均不等式n個正數的算術平均
算術幾何平均不小於它們的幾何平均
算術幾何平均即
算術幾何平均
算術幾何平均式中若且唯若時取等號 。
算術幾何平均
算術幾何平均算術幾何平均設a和b是兩個正數,定義數列和如下
算術幾何平均
算術幾何平均
算術幾何平均
算術幾何平均
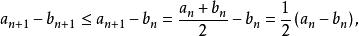
算術幾何平均這裡。由算術幾何平均不等式,明顯地,.根據數學歸納法容易證明數列是遞減的,而是遞增的,等價於
算術幾何平均清楚地,
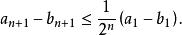
算術幾何平均進而得到
算術幾何平均因此,這兩個數列有共同的極限,即
算術幾何平均
算術幾何平均我們稱該極限為a和b的 算術-幾何平均AGM(a,b),也有一些文獻用AG(a,b)表示這個平均.。Lagrange和Gauss首先研究了這個平均,但是這個平均真正的重要性以及與橢圓積分的聯繫屬於Gauss,有時也稱這個平均為Gauss算術-幾何平均 。
相關結論
設
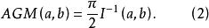
算術幾何平均定理 (Gauss)
算術幾何平均
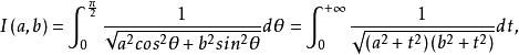
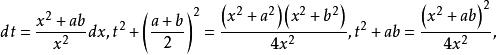
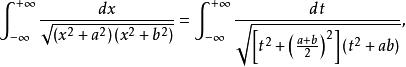
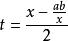
算術幾何平均證明 作變數代換,則
算術幾何平均因此,
算術幾何平均
算術幾何平均
算術幾何平均
算術幾何平均也就是說,我們獲得。根據歸納法,並注意到是(a,b)的連續函式,我們得到,這裡m=AGM(a,b),清楚地,
算術幾何平均因此(2)式成立。(2)中的兩個積分稱為橢圓積分。給出AGM的運算規則(1)稱為Gauss運算規則 。

