歷史背景
過去幾千年來,天文學家有系統地觀測天空中的星體運動,發現各種各樣的恆星有規律地繞行,相對位置永遠保持不變。可是,也有一些星體被觀測到“漫遊”於這些以恆星為背景的前方,其軌跡比較難以捉摸,大多數這種星體被稱為行星。雖然它們通常沿著一條路徑循著同樣方向從天空的這一端移動到那一端(請參閱黃道),但是某些獨特的行星有時候會短暫地逆轉其移動方向,顯示出逆行運動。
圖1.從地球觀看到的火星的逆行運動圖案為了描述這種忽前忽後的運動,阿波羅尼奧斯(西元前262年–前190年)提出均輪與本輪(deferent and epicycle)的概念。按照這概念,行星的本身繞行的軌跡為一個圓圈,而這個圓圈的圓心又循著另一個圓圈的軌跡繞行;如此這般一個搭著一個,就像兒童樂園裡的咖啡杯遊戲一樣。任意軌道可以用足夠數量、仔細設定的本輪來模擬,因為這方法對應於現代的傅立葉變換。大約350年後,托勒密編纂出《天文學大成》。在這本書里,他發展出來的系統能夠比美那時代最準確的天文觀測。托勒密採用亞里斯多德的地心學說來解釋自己發展出來的系統。地心學說強調行星只能運行於以地球為圓心的同心圓球面。之後的一千多年,學術界公認這是最正確的宇宙模型。
圖2.軌道半徑相同,角速度不同在16世紀,由於天文學家第谷·布拉赫和物理學家約翰內斯·克卜勒的共同努力,研究出許多關於行星運動的科學理論。經過多年披星戴月、不眠不休地細心觀測,第谷獲得許多非常準確的行星運動數據。第谷慷慨無私地將這些數據託付給克卜勒,使他能夠專心研究這些數據,因而推論出關於行星運動的克卜勒定律。根據這定律,在太陽系裡,各個行星繞著太陽(不是地球)公轉;這公轉軌道的形狀是橢圓形,而不是本輪形。克卜勒第二定律和第三定律更給出具體的預測數值:在相等時間內,太陽和公轉中的行星的連線所掃過的面積都是相等的(稱此連線為行星的 連心線);繞著太陽的各個行星,其公轉周期的平方與其橢圓軌道的半長軸的立方成正比。後來,更準確的觀測又顯示出,由於拱點進動,橢圓的長軸也會隨著時間演進而緩慢地旋轉。軌道近拱點和遠拱點分別是行星的公轉軌道離橢圓焦點(力中心點)最近或最遠的位置,又共稱為拱點。對於繞著太陽的行星的公轉軌道,近日點和遠日點都是拱點。
大約80年後,於1687年,牛頓發表了《自然哲學的數學原理》。 在這本巨著里,牛頓創建的物理理論能夠完全解釋克卜勒的三條定律。這理論建構於牛頓運動定律和牛頓萬有引力定律。牛頓提出,任意兩個物體彼此之間相互作用的引力是一種有心力,大小與這兩個物體各自的質量乘積成正比,與這兩個物體之間的距離平方成反比。從他的運動定律來論述,感受到這種作用力的任意粒子的軌道是圓錐曲線,更明確地說,假若這軌道不延伸至無窮遠,則必會呈橢圓形。可是,這結論只成立於當系統里只有兩個物體(二體問題)的案例。在牛頓之後已有幾百年了,雖然科學家能夠找到一些特別案例的解答,像歐拉三體問題(Euler's three-body problem)的解答,三個或三個以上的物體因為相互的引力作用而呈現的運動(三體問題、多體問題)仍舊無解。牛頓建議,由於太陽的引力是主掌的作用力,足以掩蓋其它作用力,取至一階近似,其它行星的影響可以被忽略,因此,行星繞著太陽的公轉軌道大約為橢圓形。同理,月亮繞著地球的橢圓形公轉軌道,所牽涉到的的作用力,極大部分是地球引力,而太陽的引力和其它太陽系的天體的引力都可以被忽略。但是牛頓也表明,行星軌道和月球軌道的拱點進動是這些被忽略的作用力所造成的;特別是月球軌道的拱點進動是因為太陽引力的微擾效應所產生的現象。
數學概述
牛頓旋轉軌道定理設定一個感受到任意有心力F、質量為m的移動中的粒子,由於其運動為平面運動,粒子的位置可以以極坐標表示。設定極坐標系的原點於力中心點。隨著時間演進,移動於軌道的粒子的極坐標是時間t的函式。
牛頓旋轉軌道定理
牛頓旋轉軌道定理
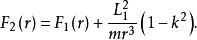
牛頓旋轉軌道定理設定另一個感受到有心力、質量為m的移動中的粒子,徑向運動也是r(t),但是角速度是第一個粒子的k倍;也就是說,兩個粒子的角坐標的關係式為。牛頓表明,增添一個立方反比有心力,將這有心力與共同施加於第二個粒子,就可得到想要的運動:
牛頓旋轉軌道定理
牛頓旋轉軌道定理其中,是第一個粒子的角動量,是有心力的一個運動常數(守恆量)。稱這方程為“增力方程”。
牛頓旋轉軌道定理增添立方反比力會使得粒子的運動路徑也有所改變。由於主要目標是要了解徑向變數和角變數之間的關係,所以不需考慮徑向運動和角運動對於時間的關係。為了達到這目標,不限制角變數必須在0至之間;隨著粒子一圈又一圈地繞著力中心點公轉,角變數可以無定限地遞增。例如,假設粒子繞著力中心點公轉兩圈,然後繞到初始位置,其終結角度不等於初始角度,而是增加了2×360° = 720°。角變數正式定義為角速度的積分:
牛頓旋轉軌道定理
牛頓旋轉軌道定理
牛頓旋轉軌道定理其中,分別為第一個粒子和第二個粒子的角速度。
牛頓旋轉軌道定理
牛頓旋轉軌道定理
牛頓旋轉軌道定理假設第一個粒子的路徑表示為,則因為,第二個粒子的路徑應該表示為。例如,令第一個粒子的橢圓路徑為
牛頓旋轉軌道定理其中,A和B都是常數。
那么,第二個粒子的路徑應為
牛頓旋轉軌道定理近圓形軌道極限
在《自然哲學的數學原理》,第一冊命題45里,牛頓套用他的旋轉軌道定理髮展出一套新方法,能夠尋找出主掌行星運動的作用力定律。克卜勒發覺大多數行星和月球的軌道似乎是橢圓形的,這些橢圓的長軸可以從天文測量數據中準確地計算出來。長軸定義為連線近拱點(離力中心點最近距離點)和遠拱點(離力中心點最遠距離點)的直線段。例如,水星軌道的長軸定義為連線其近日點和遠日點的直線。經過一段時間,由於其它星體的引力微擾、吸引體的扁球形狀(oblateness in the attracting body)、廣義相對論效應和其它效應,大多數行星軌道的長軸會緩慢地旋轉。這現象稱為 拱點進動,看起來好像整個軌道在緩慢地旋轉。通常來說,行星每完成一個公轉,長軸旋轉的角度不多過幾度,有時候會是相當微小。但是,只要等待足夠長久時間,長軸旋轉的角度可以很容易地被測量出來。牛頓的新方法就是套用這拱點進動來偵測行星感受到的是哪種作用力。
月球軌道的進動
圖3.月球的運動使用精密的儀器,經過細心地勘測,可以準確地獲得月球運動的數據。分析這些數據,天文學家發覺,月球的運動比其它行星的運動更為複雜。古希臘天文學家喜帕恰斯和托勒密注意到月球軌道有許多周期性的變化,像軌道離心率的小振動、軌道面與黃道面之間的軌道傾角的小規模振動。這些振動通常發生頻率為每月一次或每月兩次。拱點線緩慢地進動,周期大約為8.85年,而交點線(軌道面與黃道面的交集)旋轉一周期需要大約雙倍時間18.6年。這事實解釋了蝕大約為18年的周期,稱為沙羅周期。但是,這兩條線的運動都會經歷到月時間尺寸的小規模變動。
1673年, 傑雷米亞·霍羅克斯發表了一個相當準確的月亮運動模型,月亮被認為是依循著一條進動中的橢圓軌道公轉。假若能夠有一個足夠準確又簡單的預測月亮運動的方法,則計算船隻位置的經度的航海問題應該可以迎刃而解。月球直徑大約為30角分。在牛頓那年代,目標是預測月亮位置至誤差不大於2角分,即地球經度的1度誤差。霍羅克斯模型能夠預測月亮位置至誤差不大於10角分。
推廣
於1687年,牛頓發表了他的定理,即《自然哲學的數學原理》,第一冊命題43至命題45。但是,如同天文物理學家學家錢德拉塞卡在他的1995年關於這本巨著的評論中指出,已經過了三個世紀,這理論仍舊鮮為人知,有待發展。
於2000年,瑪侯嵋與娃達共同發表了牛頓旋轉軌道定理的第一個推廣。他們假設第二個粒子的角運動是第一個粒子的k倍。但是,與牛頓不同,他們不要求兩個粒子的徑向運動相同,而是要求兩個徑向運動的關係式為
牛頓旋轉軌道定理其中,a和b都是常數。
牛頓旋轉軌道定理這變換改變了粒子的路徑。假設第一個粒子的路徑寫為,則第二個粒子的路徑寫為
牛頓旋轉軌道定理
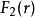
牛頓旋轉軌道定理假設第一個粒子感受到的作用力為,則第二個粒子感受到的作用力為
牛頓旋轉軌道定理按照這方程,將第一個作用力標度化,改換其參數,然後再增添平方反比有心力和立方反比有心力,就可以得到第二個作用力。
牛頓旋轉軌道定理
牛頓旋轉軌道定理稍微比較一下,設定a=1和b=0,則這方程約化為牛頓旋轉軌道定理的增力方程,注意到,符合牛頓旋轉軌道定理里徑向運動保持不變的條件。對於這案例,原本的作用力沒有被標度化,參數保持不變,又增添了立方反比有心力,但增添的平方反比有心力等於零。還有,第二個粒子的路徑是,與第一個粒子的路徑相同。
物理學定律(1)
| 陳述各物理學定律的相關知識點。1.完成有效版本前三名分別獎勵350、200、100百科幣。(任務結束後當周發放);2.內容應符合專業、客觀、中立,具有較強的知識性和專業性,用詞規範、排版美觀、闡釋適度、通俗易懂,符合網際網路閱讀習慣,達到百科詞條的典範之作。請參考:互動百科:詞條標準。3.評審團由物理學專家、科學編輯莫小夏、浪花N朵朵組成。有任何意見、建議可在任務討論區提出。 |

