定義
其數學表示是:
2T + W = 0
其中T是系統內部的總動能,W是系統的總引力勢能。對於具有磁場和自轉的穩定體系,維里定理表示為:
2T + 2Tr + W + Em = 0
其中Tr是系統轉動的動能,Em是系統的總磁能。
天體物理中的套用
維里定理在天體物理種時常套用到,特別將系統的引力勢能同他的動能或熱能聯繫起來的時候。
一些普通的維里關係如下表示
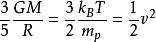
維里定理
維里定理其中M是質量,R半徑,v速度,溫度T. 常量G是牛頓常數,是玻爾茲曼常數,mp是質子質量。
注意這些關係僅僅是近似的,而且前面的數值因子(例如,3/5或者1/2)通常整個都被忽略掉了
星系和宇宙學(維里質量和半徑)
在天文學中,一個星系的質量和半徑通常被各自定義為“維里質量和維里半徑。因為星系在連續的流體狀態下可以高度擴展(甚至在某些模型下可以變成無限-例如一個等溫球),這是很難通過確定的手段有限的手段得到他們的質量和大小的。維里定理,和相關的概念,給確定星系的性質提供了方便的途徑。
維里定理
維里定理
維里定理
維里定理
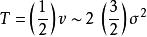
維里定理在星系動力學中,一個星系的質量總是通過測量它其中的氣體和恆星的旋轉速率得到的,假設是圓形克卜勒軌道。利用維里定律,速度彌散能通過這種方法被使用。將系統的動能(每個粒子),,同時勢能(每個粒子)可以寫成,,因此我們可以將,這裡的R就是在速度彌散中測得的半徑,M是在這個半徑下的質量。維里質量和半徑通常定義為在速度彌散最大值時的半徑。例如
