現象介紹
天文學現象
天體,是宇宙間各種星體的通稱。太陽系中的天體包括太陽、行星、衛星、彗星、流星以及行星際微小天體等。銀河系中的天體有恆星、星團、星雲以及星際物質等。河外星系是和銀河系同樣龐大的天體。還有近年利用最新觀測手段發現的紅外源、射電源、X射線源、γ射線源等。以上都屬於自然天體。而人造衛星、宇宙火箭、宇宙飛船、空間探測器、空間實驗室等都是人造天體。
天體運動常有的公式
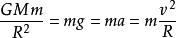
天體運動[一個定理]1.在地面上,重力近似等於萬有引力,即
由此得到黃金代換式:GM=gR
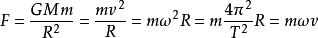
天體運動[一個定理]
天體運動[一個定理]2.對近地衛星而言,其高度與地球半徑相比可忽略不計,可以認為其所受的萬有引力等於重力,並提供向心力,即,得到宇宙第一速度
3.對於其他衛星或天體,萬有引力提供向心力。
4.一般的,行星繞著恆星的運動軌道為橢圓形,在精確度不高的情況下,可以認為地球、月球軌道為圓形軌道。
5.萬有引力表達式:
天體運動[一個定理]當然,第一個式子是通用的,其餘的都是在勻速圓周運動與只受萬有引力時成立。
6.機械能:
(1)動能
天體運動[一個定理]v為物體速度,m為物體質量。
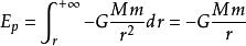
(2)勢能
天體運動中的勢能就是引力勢能。令無窮遠處勢能為零,則在半徑為r處的勢能為:
天體運動[一個定理]M為中心天體質量。
這當然是適用於任意軌道的。
(3)綜上,我們可以得到機械能表達式:
天體運動[一個定理]a為橢圓軌道半長軸。
7.天體運動滿足克卜勒定律。
天體運動
天體運動,是在宇宙大爆炸發生後,形成空間天體運動的本原動力,也就是物質運動的動力源。宇宙的原本動力構成了物質引力場的形成以及電場和磁場的誕生,隨後也產生了天體運動的離心力和天體之間的斥力場。宇宙時空是在大爆炸後形成的,在萬有引力的作用下,讓我們人類看到了不同的天體星系團,星系團中包括無數的恆星系和恆星系中的行星。天體在本原動力以及引力場的作用下產生了天體運動的公轉和自傳,包括銀河系在內的諸多星系除去自傳外還要圍繞宇宙中心做公轉運動。在我們的銀河系中,太陽系的天體運動就是一個很好的例子,太陽系中的九大行星除去自傳外還要圍繞太陽進行公轉,而在銀河星中,我們的太陽系則圍繞著銀河中心運轉,也叫作太陽系的公轉運動。我們人類所居住的天體地球,其自轉一周需要23小時56分的一天時間,而地球圍繞太陽公轉一周則需要一年(365日6時6分9秒)。
天體運動公式 GM=gR*R GMm/(R*R)=ma
天體運動構成了宇宙太空繽紛多彩的星空世界,在天體引力場的作用下也形成了宇宙空間物質的時空變遷,使我們的宇宙物質空間變得越來越神秘。
1,天體運動形成的“黑洞”類天體
當前,關於宇宙“黑洞”類天體運動的成因還是很複雜的。大家可能知道我們太陽系引力場最大的是太陽,而銀河系的中心則早在一百億年前就形成了,它的引力場極高、密度極大。通過科學界的研究認證,銀河系中心存在超大密度和引力場非常強的天體,致使大量的恆星系不斷地向銀河系中心聚集。在銀河系核心強引力的作用下,一些不斷聚集在銀河系中心的恆星系又被不斷地壓縮,使銀河中心的超大質量天體密度變得越來越大,最終將導致銀河系中心的引力場越來越強。由於銀河中心劇烈的物質核聚變,使銀河系中心的溫度繼續急劇增高,引力也繼續急劇加大。其又會將大部分靠近的恆星繼續壓縮成為一個密度不斷增高、引力不斷加大的新天體。此時,銀河中心也就形成了連光線也都難以逃脫的強引力“黑洞”類天體。其實,這個“黑洞”並不黑,只是因為銀河系內的所有物質射線全都被它吸引了,連光線也不再折射出來,所以我們就不會看到這個天體的存在,自然而然的也就形成了黑色。銀河系既然如此,而其它的星系和浩瀚的宇宙中心也是一個樣子的。宇宙中數不清的“黑洞”類天體繼續不斷地增大,最終致使宇宙各星系的所有物質被自身的“黑洞”吞併,然後再由一個超大質量的“黑洞”天體將所有的小質量的“黑洞”吞併成為一個奇點,宇宙又回到了大爆炸的初期狀態。
現代科學家將宇宙黑洞定性在超新星爆炸坍塌後,在不斷地進行壓縮成為高質量的“黑洞”類天體。究竟一顆恆星在坍塌過程中,是什麼物質產生的密度極高、引力場極強的類天體呢?我們知道,恆星是由物質的核聚變形成的,原子,在引力場的作用下,空間所有物質的原子都被壓縮在一起。這個巨無霸的超級宇宙原子具備了所有物質原子的形態,核心是由所有物質的質子和中子形成的正電荷中心,核外圍繞著所有被壓縮物質的負電子荷雲。這個宇宙原子構成了空間強大的電力場,在電力場的周圍構成了強大的宇宙磁場。在經過數十億年後,這個不斷運動著的超級宇宙原子的核心溫度在不斷地增長、裂變、膨脹,最終走向大爆炸極限,而後又形成了一個嶄新的物質的宇宙時空系。當宇宙構成一個巨大的原子後,宇宙空間已不復存在,沒有了物質的分類,也不再會有光線的存在,只有電場和磁場,這就是宇宙的循環過程。
2,天體運動形成的三大力場成因分析
浩瀚的宇宙空間,體現了引力場的無所不在。然而,我們大家可都知道什麼是電場力?也就是由正負電荷形成的強力場。用塑膠與毛皮摩擦後,在塑膠表面上會產生正電荷,它可以吸附其它體積輕小的物體。這說明了塑膠通過摩擦後攜帶有大量的正電荷,而對於其它的物體相對來說都攜帶有負電荷,當攜帶有正負電荷的物體相遇一段時間後電場力會隨著能量的不斷釋放而逐漸消失,也就是正負電荷的中和作用。但在此期間也會產生電磁力,只不過人們沒有注意到罷了。在攜帶有兩種正負電荷的物體在相遇時,其周圍就會產生電磁力。這同等於夏季攜帶有正負電荷的兩種雲層,在兩種不同電荷雲層靠近時,則會產生強大的電場放電而擊穿空氣導通並形成瞬間的雷鳴電閃的能量釋放現象,同時也伴隨著強大的電磁脈衝轉換過程,電磁脈衝又會在金屬導體上產生電子流。
縱觀宇宙空間,它充滿了物質天體,同時也體現了宇宙星系間的磁力場。我們知道物質原子的內部運動,原子核與外層的電子形成電場力空間,原子核攜帶正電,外圍電子攜帶負電,正負電荷間形成電場力。另外,在我們的物質空間中也存在由物質離子形成的正負離子電力場,而宇宙空間也呈現為物質分子間的電場力和電磁力的不同轉換形態。宇宙中恆星的核聚變、核裂變,不都是以光輻射的形式出現的嗎?我們知道光也是一種電磁波,這也證明了物質粒子間的不同運動形式都可產生以射線形式的能量釋放。
牛頓的萬有引力相間的證明了宇宙空間的力場作用,通過分析,宇宙空間充滿了天體物質電場力轉換過程中的電磁力。宇宙物質射線主要是以不同波長的電磁輻射進行能量的傳遞和轉換,對於人類來說,首先電場和磁場的轉換成因我們是知道的。那么引力場是如何形成的。假設:物質間的引力來源於原子與原子間的電力鍵,那么電力健的周圍就會形成電磁力的轉換。我們客觀的來說,宇宙空間充滿了物質電場力與電場力作用下的電磁力。不然的話,宇宙空間的電磁力又來源於哪裡呢?
地球的行星磁場、太陽恆星磁場、銀河系磁場、天體磁場、宇宙空間磁場、浩瀚的太空磁場等等。人們會問,這些磁場的出處究竟來源於什麼地方呢?沒有電場力的作用,磁力場又如何存在呢?電磁力充滿了宇宙空間,相對而說也就是電場力的作用。電場力建立在電子的運動基礎之上,物質粒子的運動,構成了物體的巨觀運動,運動產生了電場力,電場力形成了電磁力的轉換,這就是物質世界的運動規則。只要宇宙空間存在電磁力,也就存在電場力,那么引力究竟是什麼呢?我們可以說是物質分子間的電場力。
假如說物質分子間的引力屬於電場力,那么浩瀚的宇宙空間電場力究竟又是一種什麼狀態呢?我們人類為什麼感覺不到隻身處於電場中的那種感受呢?宇宙空間星系中的電磁力應該來源於星系內部電場的轉換,這是毋庸置疑的。銀河系有銀河系的電磁力,也就是說銀河系的電磁力來源於恆星系電磁力的總和。太陽系的電磁力來源於太陽物質粒子間的聚合反應生成的電場力,因為太陽是恆星。對於宇宙中的行星磁場來說,應該是由行星核心的物質粒子間的熱運動產生的電場力轉換而成的。一般來講,不論是恆星還是行星,其電磁力都來源於星系核心的物質粒子運動產生的電場力轉換而成的。
由此說來,物質之間的引力既不是電場力也不是電磁力。微觀理論學說的引力場是建立在物質分子間的電場力作用,而巨觀理論就不能夠證明物質間的引力場來源於電場力的強力場作用。恆星與恆星、恆星與行星、星系之間、宇宙太空的總體引力場應當是空間天體之間的高速運動形成的牽引力,這句話的含義是;宇宙空間充滿了可見物質和暗物質,兩種物質間仍然存在分子間的電場力。在宇宙大爆炸的初始期,被拋向四周的物質顆粒有大有小,並在宇宙大爆炸初期,物質受到了原本動力的作用,其較大的高密度物質天體在做高速自旋運動,而那些低密度較小的物質天體會被高密度旋轉天體牽引,從而形成了宇宙星系中的不同結構狀態。在數百億光年的宇宙演變史中,在原本動力的作用下,星系核心的高速度旋轉動力會隨著時間的推移而逐漸的變慢,使宇宙空間不斷地膨脹。這裡有一個問題,星系核心的自旋速度不會越來越快的,如果繼續加速運轉的話,那么維持天體運轉的動力源又來自於何方呢?物質能量的轉換應當遵循著守恆定律的準規則,支持天體的永動能量究竟是什麼物質提供的?然而這些都是未知數。牽引力來源於物質體系中心的旋轉運動,宇宙間充滿了所有不同能量級的物質體系,如果物質空間存在空隙,也就不會構成引力作用。我們可以這樣說:“浩瀚的宇宙空間充滿了物質,它包括可見物質和不可見物質也就是暗物質。而空間中的物質漩渦,也就是不同大小的星系群。其實,宇宙就像海洋一樣,不同的環流水系構成了龐大的海洋水域。如果在海洋中心設立高速度的旋轉區域,你就會看到海洋的整體波動,其四周的水域會向海洋中心聚集,這也是我們平時看到的實際情況。
磁場
關於恆星與行星的磁場。地球是行星,假設地球核心是由鐵核構成的,它也是由離子態組成的鐵離子核心。在鐵核地心的周圍布滿了電子云層,因鐵離子核帶有正電荷,外圍電子云層是負電荷,在巨大的帶電離子空間產生了電場,而電場的周圍又形成了磁場。這樣地球的磁場就產生了,這是戲說地球磁場。依據恆星的核聚變理論,在恆星的內部進行著高能量的核聚變反應,由於極高的溫度,使核心形成了高密度的新物質正離子區域,核外則聚集著物質的負離子區。這樣,在內外正負離子區之間形成了巨大的電場,在電場的周圍也就構成了恆星的電磁場。總而言之,宇宙空間的磁場,都是由原子的熾熱離子態建立的空間電場轉換而成的。大家知道,當物質的溫度達到一定的限度時,原子核的核外電子就會受熱激發而逃逸,從而形成物質粒子的離子電場。
空間引力來源於物質中心運動的牽引力,物質粒子間又存在分子的電場力。在地球的表面,為什麼所有的物質都被地心吸引?宇宙星系又怎么維持現狀而出現的天體運動軌跡?本文只是隨便的解剖一下關於天體的引力作用,也是戲說宇宙天體的引力問題。究竟宇宙空間的引力場是什麼?我們人類可能了解的還遠遠不夠。
![天體運動[一個定理] 天體運動[一個定理]](/img/b/8d8/nBnauM3X4AzN5ADNwcTO0EDN0UTMyITNykTO0EDMwAjMwUzL3kzLzQzLt92YucmbvRWdo5Cd0FmLwE2LvoDc0RHa.jpg)
