概述
黑洞黑洞是一個空間——時間區域,它的最外圍是光所能從黑洞向外到達的最遠距離,這個邊界稱為“事件視界”。它如同一個單向的膜,只允許物質穿過視界並落到黑洞裡去,但沒有任何物質能夠從裡面出來。
“黑洞”很容易讓人望文生義地想像成一個“大黑窟窿”,其實不然。所謂“黑洞”,就是這樣一種天體:它的引力場是如此之強,就連光也不能逃脫出來。說它“黑”,是指它就像宇宙中的無底洞,任何物質一旦掉進去,“似乎”就再不能逃出。實際上黑洞真正是“隱形”的。
演化過程
黑洞黑洞就是中心的一個密度無限大、時空曲率無限高、體積無限小的奇點和周圍一部分空空如也的天區,這個天區範圍之內不可見。依據阿爾伯特-愛因斯坦的相對論,當一顆垂死恆星崩潰,它將聚集成一點,這裡將成為黑洞,吞噬鄰近宇宙區域的所有光線和任何物質。
黑洞的產生過程類似於中子星的產生過程;某一個恆星在準備滅亡,核心在自身重力的作用下迅速地收縮,塌陷,發生強力爆炸。當核心中所有的物質都變成中子時收縮過程立即停止,被壓縮成一個密實的星體,同時也壓縮了內部的空間和時間。但在黑洞情況下,由於恆星核心的質量大到使收縮過程無休止地進行下去,中子本身在擠壓引力自身的吸引下被碾為粉末,剩下來的是一個密度高到難以想像的物質。由於高質量而產生的力量,使得任何靠近它的物體都會被它吸進去。黑洞開始吞噬恆星的外殼,但黑洞並不能吞噬如此多的物質,黑洞會釋放一部分物質,射出兩道純能量——γ射線。
也可以簡單理解:通常恆星的最初只含氫元素,恆星內部的氫原子時刻相互碰撞,發生聚變。由於恆星質量很大,聚變產生的能量與恆星萬有引力抗衡,以維持恆星結構的穩定。由於聚變,氫原子內部結構最終發生改變,破裂並組成新的元素——氦元素,接著,氦原子也參與聚變,改變結構,生成鋰元素。如此類推,按照元素周期表的順序,會依次有鈹元素、硼元素、碳元素、氮元素等生成,直至鐵元素生成,該恆星便會坍塌。這是由於鐵元素相當穩定,參與聚變時不釋放能量,而鐵元素存在於恆星內部,導致恆星內部不具有足夠的能量與質量巨大的恆星的萬有引力抗衡,從而引發恆星坍塌,最終形成黑洞。說它“黑”,是因為它的密度無窮大,從而產生的引力使得它周圍的光都無法逃逸。跟中子星一樣,黑洞也是由質量大於太陽質量好幾倍以上的恆星演化而來的。
當一顆恆星衰老時,它的熱核反應已經耗盡了中心的燃料(氫),由中心產生的能量已經不多了。這樣,它再也沒有足夠的力量來承擔起外殼巨大的重量。所以在外殼的重壓之下,核心開始坍縮,物質將不可阻擋地向著中心點進軍,直到最後形成體積接近無限小、密度幾乎無限大的星體。而當它的半徑一旦收縮到一定程度(一定小於史瓦西半徑),質量導致的時空扭曲就使得即使光也無法向外射出——“黑洞”就誕生了。
吸積
黑洞吸積黑洞通常是因為它們聚攏周圍的氣體產生輻射而被發現的,這一過程被稱為吸積。高溫氣體輻射熱能的效率會嚴重影響吸積流的幾何與動力學特性。觀測到了輻射效率較高的薄盤以及輻射效率較低的厚盤。當吸積氣體接近中央黑洞時,它們產生的輻射對黑洞的自轉以及視界的存在極為敏感。對吸積黑洞光度和光譜的分析為鏇轉黑洞和視界的存在提供了強有力的證據。數值模擬也顯示吸積黑洞經常出現相對論噴流也部分是由黑洞的自轉所驅動的。
通常天體物理學家會用“吸積”這個詞來描述物質向中央引力體或者是中央延展物質系統的流動。吸積是天體物理中最普遍的過程之一,而且也正是因為吸積才形成了我們周圍許多常見的結構。在宇宙早期,當氣體朝由暗物質造成的引力勢阱中心流動時形成了星系。即使到了今天,恆星依然是由氣體雲在其自身引力作用下坍縮碎裂,進而通過吸積周圍氣體而形成的。行星(包括地球)也是在新形成的恆星周圍通過氣體和岩石的聚集而形成的。當中央天體是一個黑洞時,吸積就會展現出它最為壯觀的一面。黑洞除了吸積物質之外,還通過霍金蒸發過程向外輻射粒子。
蒸發
黑洞蒸發由於黑洞的密度極大,根據公式我們可以知道密度=質量/體積,為了讓黑洞密度無限大,那就說明黑洞的體積要無限小,然後質量要無限大,這樣才能成為黑洞。黑洞是由一些恆星“滅亡”後所形成的死星,它的質量極大,體積極小。但黑洞也有滅亡的那天,按照霍金的理論,在量子物理中,有一種名為“隧道效應”的現象,即一個粒子的場強分布雖然儘可能讓能量低的地方較強,但即使在能量相當高的地方,場強仍會有分布,對於黑洞的邊界來說,這就是一堵能量相當高的勢壘,但是粒子仍有可能出去。
霍金還證明,每個黑洞都有一定的溫度,而且溫度的高低與黑洞的質量成反比例。也就是說,大黑洞溫度低,蒸發也微弱;小黑洞的溫度高蒸發也強烈,類似劇烈的爆發。相當於一個太陽質量的黑洞,大約要1後面66個0年才能蒸發殆盡;相當於一顆小行星質量的黑洞會在1小數點後面21個0加1012秒內蒸發得乾乾淨淨。
毀滅
黑洞毀滅黑洞會發出耀眼的光芒,體積會縮小,甚至會爆炸。當英國物理學家史蒂芬·霍金於1974年做此預言時,整個科學界為之震動。霍金的理論是受靈感支配的思維的飛躍,他結合了廣義相對論和量子理論,他發現黑洞周圍的引力場釋放出能量,同時消耗黑洞的能量和質量。
假設一對粒子會在任何時刻、任何地點被創生,被創生的粒子就是正粒子與反粒子,而如果這一創生過程發生在黑洞附近的話就會有兩種情況發生:兩粒子湮滅、一個粒子被吸入黑洞。“一個粒子被吸入黑洞”這一情況:在黑洞附近創生的一對粒子其中一個反粒子會被吸入黑洞,而正粒子會逃逸,由於能量不能憑空創生,我們設反粒子攜帶負能量,正粒子攜帶正能量,而反粒子的所有運動過程可以視為是一個正粒子的為之相反的運動過程,如一個反粒子被吸入黑洞可視為一個正粒子從黑洞逃逸。這一情況就是一個攜帶著從黑洞裡來的正能量的粒子逃逸了,即黑洞的總能量少了,而愛因斯坦的公式E=mc^2表明,能量的損失會導致質量的損失。
當黑洞的質量越來越小時,它的溫度會越來越高。這樣,當黑洞損失質量時,它的溫度和發射率增加,因而它的質量損失得更快。這種“霍金輻射”對大多數黑洞來說可以忽略不計,因為大黑洞輻射的比較慢,而小黑洞則以極高的速度輻射能量,直到黑洞的爆炸。
研究歷史
黑洞現代物理中的黑洞理論建立在廣義相對論的基礎上。由於黑洞中的光無法逃逸,所以我們無法直接觀測到黑洞。然而,可以通過測量它對周圍天體的作用和影響來間接觀測或推測到它的存在。比如說,恆星在被吸入黑洞時會在黑洞周圍形成吸積氣盤,盤中氣體劇烈摩擦,強烈發熱,而發出X射線。藉由對這類X射線的觀測,可以間接發現黑洞並對之進行研究。黑洞的存在已被天文學界和物理學界的絕大多數研究者所認同。
物理學年表1640年–法國天文學家布利奧(IsmaelBullialdus)建議萬有引力的大小與距離平方成反比。
1684年-牛頓導出了平方反比的萬有引力定律。
1758年-拉古薩共和國(現今克羅埃西亞南部的港市杜布羅夫尼克)的RudjerJosipBoscovich發展出自己的力學理論,在短距離內萬有引力會互斥。依據他這奇特的理論,可能存在類似白洞的物體,能使其他的物體不能接近它的表面。
1784年–英國的自然哲學家JohnMichell論及經典物理有逃逸速度超過光速的物體。
1795年–法國的數學與天文學家拉普拉斯亦論及經典物理有逃逸速度超過光速的物體。
1798年–英國的物理學家亨利·卡文迪什測量萬有引力常數常數G。
1876年–英國的數學與科學哲學家威廉·金頓·克利福德建議物體的運動可能源自於空間上的幾何變化。
1909年-愛因斯坦和葛羅斯曼開始發展束縛度量張量的理論gik,用以定義與質量有關,源自的萬有引力空間幾何。
1910年-漢斯·萊納和根拿·諾德斯德倫定義了萊納-諾德斯德倫奇點,赫爾曼·魏爾解出特解為一個點。
1916年-卡爾·史瓦西解出球面對稱且不轉動的無電性系統在真空下的愛因斯坦場方程。
1917年-保羅·埃倫費斯特給初三度空間的條件原則。
1918年-漢斯·萊納和根拿·諾德斯德倫解出球面對稱且不轉動的荷電系統的愛因斯坦-麥克斯韋場方程。
1963年-克爾解出不帶電對稱鏇轉體在真空的愛因斯坦場方程,並導出克爾度規
1964年-羅傑·彭羅斯證明一顆內爆的恆星一旦形成事件視界就必然會成為奇點。
1965年-艾茲·T.·紐曼、E.考契(Couch)、K.Chinnapared、A.Exton、A.Prakash、和RobertTorrence解出帶電並鏇轉系統的愛因斯坦-麥克斯韋場方程。
1967年–在英國倫敦國王學院的以斯列證明了無發理論。約翰·惠勒提出"黑洞"這個名詞。
1968年-布蘭登·卡特套用漢米頓-賈可比方程導出帶電的亞原子粒子在克爾-紐曼黑洞場外的一階運動方程。
1969年-羅傑·彭羅斯論述由克爾黑洞題取自鏇能量的羅傑—彭羅斯過程。羅傑·彭羅斯提出宇宙審查假說。
1971年–確認天鵝座X-1/HDE226868是一個雙星的黑洞系統候選者。
1972年-史蒂芬·霍金證明,經典黑洞的視界事件區域不可能減少。詹姆斯·巴丁、布蘭登·卡特、和史蒂芬·霍金提出等同於熱力學定律的黑洞第四定律。雅各·柏肯斯坦建議黑洞也有熵,就是事件視界的面積。
1974年-史蒂芬·霍金將量子場論運用於黑洞時空,並證明黑洞會像黑體一樣輻射出光譜而導致黑洞的蒸發。
1989年–證明天鵝座的GS2023+338/V404是一個雙星黑洞系統的候選者。
1996年-安蒂·斯楚明格和伐發運用弦論計算黑洞的熵,得到與史蒂芬·霍金和雅各·柏肯斯坦相同的結果。
2002年-馬克斯普郎克外太空物理學院的天文學家提出的證據假設銀河系的中心人馬座A*是個超重質量黑洞。美國國家航空航天局的昌德拉X-射線天文台的觀測,懷疑在NGC6240內的黑洞是由星系吞噬產生的。
2004年–在量子力學和弦論上的計算,都認為訊息可以自黑洞溢出。源自弦論的黑洞模型對奇點的想法抱持懷疑。參見Fuzzballs。加州大學洛杉磯分校進一步的觀測證據,強烈的支持人馬座A是一個黑洞。
黑洞黑洞並不僅僅是在宇宙空間吞噬氣體,如果形成黑洞的恆星處於快速鏇轉,那么這個黑洞也會持續鏇轉。相比靜止狀態的黑洞,鏇轉黑洞能夠更好地控制環繞其周圍的宇宙物質盤。這個快速鏇轉的黑洞叫做GRS1915+105,大約每秒鏇轉1000次。這幾乎是黑洞鏇轉的最快速度,這一速度是快速鏇轉恆星崩潰之前測定的。
所謂“超大質量黑洞”是指每個質量約為太陽的100億倍。如果存在超大質量黑洞,那么在它周圍的物質亦應當像繞太陽鏇轉的行星那樣,遵循“克卜勒行星運動三定律”,哈勃太空望遠鏡就在NGC4261.室女座M84星系、室女座M87星系等星系中心發現了高速鏇轉的氣體,而且發現銀河系中心有幾顆恆星按照軌道環繞中心的速度是其他恆星的上千倍,能使恆星飛速鏇轉必須有極大的引力,而只可能是超大質量黑洞有這樣的能力。
根據克卜勒定律,氣體的鏇轉速度應與其圍繞天體的質量的平方根成正比,與鏇轉半徑的平方根成反比。如果能夠確定鏇轉速度和半徑,就能求出那個天體的質量,NGC4261鏇轉半徑為300光年以內,質量約為太陽質量的20億倍;M84星系鏇轉半徑為30光年以內,質量約為太陽質量的3億倍;M87星系鏇轉半徑為15光年以內,質量約為太陽質量的30億倍。10億倍太陽質量的黑洞的半徑大約為10天文單位,也就是1光年的一萬分之一。所以,哈勃太空望遠鏡的觀測結果與黑洞的半徑相比較,還沒有把握住黑洞的外側。
1995年,有關科學家與美國史密森尼安天文台合作,使用超長基線電波干涉儀群觀測獵犬NGC4258星系的中心區域,發現在NGC4258星系中心僅0.3光年的區域內,就存在相當太陽質量3600萬倍的質量,而且獲得了迄今為止最精確的鏇轉速度。由此,星系中心存在超大質量黑洞的可能幾乎轉瞬間便具有了可能性。同年,科學家們進行了對確認超大質量黑洞具有決定意義的觀測,證據是通過日本的X射線天文衛星觀測得到的,觀測對象是名為“MCG-6-30-15”的一個活躍星系。觀測結果表明,來自這個星系中心的X射線發生了“引力紅移”,這是非黑洞無法解釋的。所謂“引力紅移”是在強引力作用下,時間似乎變慢的可用廣義相對論解釋的現象,在這種現象中光波長變長。這個現象被確認其意義就相當於直接觀測到黑洞。科學家從此得到了超大質量黑洞存在的強有力的證據,任何星系都存在巨大黑洞。
黑洞黑洞不是“無色的”,周圍可能圍繞著光環。
據麻省理工學院《技術評論》(TechnologyReview)雜誌報導,天文學家認為,星系中心的超大質量黑洞不再是“無色的”,其周圍可能圍繞著光環。據報導,天文學家利用甚長基線干涉測量法,已經在黑洞成像技術方面取得了長足進步。人們普遍認為,在不遠的將來,還會開發出更加先進的觀測方法。
根據理論預測,黑洞周圍的光環,由黑洞吸引和束縛的光子組成。這個光環並沒有穿透“事件穹界”,僅僅位於“事件穹界”的外圍。事件穹界,即黑洞周圍讓物質有去無回的邊界,在邊界以外觀測不到邊界以內的任何事件。光環的直徑可能比其圍繞的黑洞直徑大幾倍,利用未來的成像技術可能可以看到它們。現在天文學家最急切希望的是,利用甚長基線干涉測量法等手段,可直接測量黑洞的質量。
天文學家認為,他們將很快會直接觀測到黑洞,並且能夠觀測到這些光環。廣義相對論有一個著名的黑洞“無毛髮定理”(No-HairTheorem),它表明穩定黑洞的內部性質被其質量、電荷及角動量三個巨觀參數所完全表示。阿里桑那大學專家蒂姆·約翰森(TimJohannsen)和迪米特里奧斯·帕薩提斯(DimitriosPsaltis)指出,位於星系中心的黑洞是驗證“無毛髮定理”的最合適的對象。2010年11月16日凌晨1點30分,美國宇航局宣稱,科學家通過美國宇航局錢德拉X射線望遠鏡在距地球5000萬光年處發現了僅誕生30年的黑洞。
領導這項研究的美國哈佛·史密森天體物理學研究中心的丹尼爾·帕特諾德(DanielPatnaude)說:“如果我們的解釋是正確的,這將是迄今為止觀測到的距離地球最近的新生黑洞!”這個最新發現的年僅30歲嬰兒黑洞是超新星SN1979C的殘骸物質,該超新星位於M100星系,大約距離地球5000萬光年。基於1995年至2007年的觀測數據,科學家推斷這個年輕黑洞的成長是超新星SN1979C或者一個雙星系統提供“營養成份”。
黑洞超新星SN1979C首次被觀測是1979年,由一位業餘天文學家發現。科學家認為SN1979C是由一顆質量是太陽20多倍的恆星坍塌後形成的。之前在遙遠宇宙區域發現的新黑洞是在伽馬射線暴(GRBs)中發現的,然而SN1979C截然不同,這是由於它非常接近地球,屬於超新星類型,不可能與伽馬射線暴有關。科學家基於該理論預測宇宙中存在著更多的黑洞,它們形成於恆星核心崩潰、未產生伽馬射線暴的時期。
這個嬰兒黑洞的30歲年齡與理論研究相一致。2005年,一項理論研究報告顯示,超新星SN1979C的明亮光線的能量來源於一個黑洞的噴射流,該黑洞噴射流不能穿透恆星的氫氣包裹層形成伽馬射線暴。這項研究結果與SN1979C的觀測結果十分相符。據英國媒體2013年1月22日報導,美國的天文學家公布了首張預測的黑洞形狀圖像,像一彎月牙,但他們坦言目前並沒有技術來證明他們的猜測。
在第221屆美國天文學會的大會上,來自美國加州大學伯克利分校的天文學家艾曼·卡曼魯迪(AymanBinKamruddin)公布了他猜想的黑洞圖像。據了解,黑洞是看不見的,即使是光也不能脫離它的巨大引力。天文學家構想,黑洞的周圍有邊界,並且被其吸入的物質放射的射線可以被觀測到。首張黑洞圖像便是在這種預期下完成的。
卡曼魯迪告訴記者說:“黑洞周圍有許多非常有趣的物理現象,這些物質會發光。從技術的角度講,我們不能看到黑洞,但我們可以有效解決視界的問題。”事實上,天文學家的黑洞圖像構想是建立在尚未完成的模型之上的。一個名為“視界望遠鏡”的新項目將世界範圍的射電望遠鏡的觀測數據聯合起來。這樣,太空中的微小景象都能被觀測到了。加州伯克利分校另一名天文學家賈森·德克斯特說:“我認為在未來5年內,我們得到黑洞的真實形象就不是一件瘋狂的事情了。”
廣義相對論相關
黑洞廣義相對論方程存在一些解,這些解使得航天員可能看到裸奇點。他也許能避免撞到奇點上去,而穿過一個“蟲洞”來到宇宙的另一區域。看來這給空間——時間內的旅行提供了巨大的可能性。但是不幸的是,所有這些解似乎都是非常不穩定的;最小的干擾,譬如一個航天員的存在就會使之改變,以至於他還沒能看到此奇點,就撞上去而結束了他的時間。換言之,奇點總是發生在他的將來,而從不會在過去。強的宇宙監督猜測是說,在一個現實的解里,奇點總是或者整個存在於將來(如引力坍縮的奇點),或者整個存在於過去(如大爆炸)。因為在接近裸奇點處可能旅行到過去,所以宇宙監督猜測的某種形式的成立是大有希望的。
事件視界,也就是空間——時間中不可逃逸區域的邊界,正如同圍繞著黑洞的單向膜:物體,譬如不謹慎的航天員,能通過事件視界落到黑洞裡去,但是沒有任何東西可以通過事件視界而逃離黑洞。(記住事件視界是企圖逃離黑洞的光的空間——時間軌道,沒有任何東西可以比光運動得更快)人們可以將詩人但丁針對地獄入口所說的話恰到好處地用於事件視界:“從這兒進去的人必須拋棄一切希望。”任何東西或任何人一旦進入事件視界,就會很快地到達無限緻密的區域和時間的終點。廣義相對論預言,運動的重物會導致引力波的輻射,那是以光的速度傳播的空間——時間曲率的漣漪。引力波和電磁場的漣漪光波相類似,但是要探測到它則困難得多。就像光一樣,它帶走了發射它們的物體的能量。因為任何運動中的能量都會被引力波的輻射所帶走,所以可以預料,一個大質量物體的系統最終會趨向於一種不變的狀態。(這和扔一塊軟木到水中的情況相當類似,起先翻上翻下折騰了好一陣,但是當漣漪將其能量帶走,就使它最終平靜下來。)例如,繞著太陽公轉的地球即產生引力波。其能量損失的效應將改變地球的軌道,使之逐漸越來越接近太陽,最後撞到太陽上,以這種方式歸於最終不變的狀態。在地球和太陽的情形下能量損失率非常小——大約只能點燃一個小電熱器,這意味著要用大約1千億億億年地球才會和太陽相撞,沒有必要立即去為之擔憂。地球軌道改變的過程極其緩慢,以至於根本觀測不到。但幾年以前,在稱為PSR1913+16(PSR表示“脈衝星”,一種特別的發射出無線電波規則脈衝的中子星)的系統中觀測到這一效應。此系統包含兩個互相圍繞著運動的中子星,由於引力波輻射,它們的能量損失,使之相互以螺鏇線軌道靠近。
黑洞在恆星引力坍縮形成黑洞時,運動會更快得多,這樣能量被帶走的速率就高得多。所以不用太長的時間就會達到不變的狀態。人們會以為它將依賴於形成黑洞的恆星的所有的複雜特徵——不僅僅它的質量和轉動速度,而且恆星不同部分的不同密度以及恆星內氣體的複雜運動。如果黑洞就像坍縮形成它們的原先物體那樣變化多端,一般來講,對之作任何預言都將是非常困難的。
然而,加拿大科學家外奈·伊斯雷爾在1967年使黑洞研究發生了徹底的改變。他指出,根據廣義相對論,非鏇轉的黑洞必須是非常簡單、完美的球形;其大小隻依賴於它們的質量,並且任何兩個這樣的同質量的黑洞必須是等同的。事實上,它們可以用愛因斯坦的特解來描述,這個解是在廣義相對論發現後不久的1917年卡爾·施瓦茲席爾德找到的。一開始,許多人(其中包括伊斯雷爾自己)認為,既然黑洞必須是完美的球形,一個黑洞只能由一個完美球形物體坍縮而形成。所以,任何實際的恆星從來都不是完美的球形只會坍縮形成一個裸奇點。
然而,對於伊斯雷爾的結果,一些人,特別是羅傑·彭羅斯和約翰·惠勒提倡一種不同的解釋。他們論證道,牽涉恆星坍縮的快速運動表明,其釋放出來的引力波使之越來越近於球形,到它終於靜態時,就變成準確的球形。按照這種觀點,任何非鏇轉恆星,不管其形狀和內部結構如何複雜,在引力坍縮之後都將終結於一個完美的球形黑洞,其大小隻依賴於它的質量。這種觀點得到進一步的計算支持,並且很快就為大家所接受。
伊斯雷爾的結果只處理了由非鏇轉物體形成的黑洞。1963年,紐西蘭人羅伊·克爾找到了廣義相對論方程的描述鏇轉黑洞的一族解。這些“克爾”黑洞以恆常速度鏇轉,其大小與形狀只依賴於它們的質量和鏇轉的速度。如果鏇轉為零,黑洞就是完美的球形,這解就和施瓦茲席爾德解一樣。如果有鏇轉,黑洞的赤道附近就鼓出去(正如地球或太陽由於鏇轉而鼓出去一樣),而鏇轉得越快則鼓得越多。由此人們猜測,如將伊斯雷爾的結果推廣到包括鏇轉體的情形,則任何鏇轉物體坍縮形成黑洞後,將最後終結於由克爾解描述的一個靜態。
黑洞是科學史上極為罕見的情形之一,在沒有任何觀測到的證據證明其理論是正確的情形下,作為數學的模型被發展到非常詳盡的地步。的確,這經常是反對黑洞的主要論據:怎么能相信一個其依據只是基於令人懷疑的廣義相對論的計算的對象呢?然而,1963年,加利福尼亞的帕羅瑪天文台的天文學家馬丁·施密特測量了在稱為3C273(即是劍橋射電源編目第三類的273號)射電源方向的一個黯淡的類星體的紅移。他發現引力場不可能引起這么大的紅移——如果它是引力紅移,這類星體必須具有如此大的質量,並離地球如此之近,以至於會干擾太陽系中的行星軌道。這暗示此紅移是由宇宙的膨脹引起的,進而表明此物體離地球非常遠。由於在這么遠的距離還能被觀察到,它必須非常亮,也就是必須輻射出大量的能量。人們會想到,產生這么大量能量的唯一機制看來不僅僅是一個恆星,而是一個星系的整箇中心區域的引力坍縮。人們還發現了許多其他類星體,它們都有很大的紅移。但是它們都離開地球太遠了,所以對之進行觀察太困難,以至於不能。
物理特徵
黑洞只有三個物理量可以測量到:質量、電荷、角動量。也就是說:對於一個黑洞,一旦這三個物理量確定下來了,這個黑洞的特性也就唯一地確定了,這稱為黑洞的無毛定理,或稱作黑洞的唯一性定理。但是這個定理卻只是限制了經典理論,沒有否認可能有其他量子荷的存在,所以黑洞可以和大域單極或是宇宙弦共同存在,而帶有大域量子荷。
物理探索
黑洞這對大質量恆星的最終歸宿具有重大的意義。如果一顆恆星的質量比錢德拉塞卡極限小,它最後會停止收縮並終於變成一顆半徑為幾千英里和密度為每立方英寸幾百噸的“白矮星”。白矮星是它物質中電子之間的不相容原理排斥力所支持的。我們觀察到大量這樣的白矮星。第一顆被觀察到的是繞著夜空中最亮的恆星——天狼星轉動的那一顆。
蘭道指出,對於恆星還存在另一可能的終態。其極限質量大約也為太陽質量的一倍或二倍,但是其體積甚至比白矮星還小得多。這些恆星是由中子和質子之間,而不是電子之間的不相容原理排斥力所支持。所以它們被叫做中子星。它們的半徑只有10英里左右,密度為每立方英寸幾億噸。在中子星被第一次預言時,並沒有任何方法去觀察它。實際上,很久以後它們才被觀察到。
另一方面,質量比錢德拉塞卡極限還大的恆星在耗盡其燃料時,會出現一個很大的問題:在某種情形下,它們會爆炸或拋出足夠的物質,使自己的質量減少到極限之下,以避免災難性的引力坍縮。但是很難令人相信,不管恆星有多大,這總會發生。愛丁頓為此感到震驚,他拒絕相信錢德拉塞卡的結果。愛丁頓認為,一顆恆星不可能坍縮成一點。這是大多數科學家的觀點:愛因斯坦自己寫了一篇論文,宣布恆星的體積不會收縮為零。其他科學家,尤其是他以前的老師、恆星結構的主要權威——愛丁頓的敵意使錢德拉塞卡拋棄了這方面的工作,轉去研究諸如恆星團運動等其他天文學問題。然而,他獲得1983年諾貝爾獎,至少部分原因在於他早年所做的關於冷恆星的質量極限的工作。
錢德拉塞卡1967年,劍橋的一位研究生約瑟琳·貝爾發現了天空發射出無線電波的規則脈衝的物體,這對黑洞的存在的預言帶來了進一步的鼓舞。起初貝爾和她的導師安東尼·赫維許以為,他們可能和我們星系中的外星文明進行了接觸。我的確記得在宣布他們發現的討論會上,他們將這四個最早發現的源稱為LGM1-4,LGM表示“小綠人”(“LittleGreenMan”)的意思。
然而,最終他們和所有其他人都得到了不太浪漫的結論,這些被稱為脈衝星的物體,事實上是鏇轉的中子星,這些中子星由於在黑洞這個概念剛被提出的時候,共有兩種光理論:一種是牛頓贊成的光的微粒說;另一種是光的波動說。我們現在知道,實際上這兩者都是正確的。由於量子力學的波粒二象性,光既可認為是波,也可認為是粒子。在光的波動說中,不清楚光對引力如何回響。但是如果光是由粒子組成的,人們可以預料,它們正如同炮彈、火箭和行星那樣受引力的影響。起先人們以為,光粒子無限快地運動,所以引力不可能使之慢下來,但是羅麥關於光速度有限的發現表明引力對之可有重要效應。
1783年,劍橋的學監約翰·米歇爾在這個假定的基礎上,在《倫敦皇家學會哲學學報》上發表了一篇文章。他指出,一個質量足夠大並足夠緊緻的恆星會有如此強大的引力場,以致於連光線都不能逃逸——任何從恆星表面發出的光,還沒到達遠處即會被恆星的引力吸引回來。米歇爾暗示,可能存在大量這樣的恆星,雖然會由於從它們那裡發出的光不會到達我們這兒而使我們不能看到它們,但我們仍然可以感到它們的引力的吸引作用。這正是我們現在稱為黑洞的物體。
愛丁頓假定在坍縮星表面有一無畏的航天員和恆星一起向內坍縮,按照他的表,每一秒鐘發一信號到一個繞著該恆星轉動的空間飛船上去。在他的表的某一時刻,譬如11點鐘,恆星剛好收縮到它的臨界半徑,此時引力場強到沒有任何東西可以逃逸出去,他的信號再也不能傳到空間飛船了。當11點到達時,他在空間飛船中的夥伴發現,航天員發來的一串信號的時間間隔越變越長。但是這個效應在10點59分59秒之前是非常微小的。在收到10點59分58秒和10點59分59秒發出的兩個信號之間,他們只需等待比一秒鐘稍長一點的時間,然而他們必須為11點發出的信號等待無限長的時間。按照航天員的手錶,光波是在10點59分59秒和11點之間由恆星表面發出;從空間飛船上看,那光波被散開到無限長的時間間隔里。在空間飛船上收到這一串光波的時間間隔變得越來越長,所以恆星來的光顯得越來越紅、越來越淡,最後,該恆星變得如此之朦朧,以至於從空間飛船上再也看不見它,所餘下的只是空間中的一個黑洞。然而,此恆星繼續以同樣的引力作用到空間飛船上,使飛船繼續繞著所形成的黑洞鏇轉。
但是由於以下的問題,使得上述情景不是完全現實的。離開恆星越遠則引力越弱,所以作用在這位無畏的航天員腳上的引力總比作用到他頭上的大。在恆星還未收縮到臨界半徑而形成事件視界之前,這力的差就已經將航天員拉成意大利麵條那樣,甚至將他撕裂。然而,在宇宙中存在質量大得多的天體,譬如星系的中心區域,它們遭受到引力坍縮而產生黑洞;一位在這樣的物體上面的航天員在黑洞形成之前不會被撕開。事實上,當他到達臨界半徑時,不會有任何異樣的感覺,甚至在通過永不回返的那一點時,都沒注意到。但是,隨著這區域繼續坍縮,只要在幾個鐘頭之內,作用到他頭上和腳上的引力之差會變得如此之大,以至於再將其撕裂。
羅傑·彭羅斯廣義相對論方程存在一些解,這些解使得我們的航天員可能看到裸奇點。他也許能避免撞到奇點上去,而穿過一個“蟲洞”來到宇宙的另一區域。看來這給空間——時間內的旅行提供了巨大的可能性。但是不幸的是,所有這些解似乎都是非常不穩定的;最小的干擾,譬如一個航天員的存在就會使之改變,以至於他還沒能看到此奇點,就撞上去而結束了他的時間。換言之,奇點總是發生在他的將來,而從不會在過去。強的宇宙監督猜測是說,在一個現實的解里,奇點總是或者整個存在於將來(如引力坍縮的奇點),或者整個存在於過去(如大爆炸)。因為在接近裸奇點處可能旅行到過去,所以宇宙監督猜測的某種形式的成立是大有希望的。
事件視界,也就是空間——時間中不可逃逸區域的邊界,正如同圍繞著黑洞的單向膜:物體,譬如不謹慎的航天員,能通過事件視界落到黑洞里去,但是沒有任何東西可以通過事件視界而逃離黑洞。(記住事件視界是企圖逃離黑洞的光的空間——時間軌道,沒有任何東西可以比光運動得更快。)人們可以將詩人但丁針對地獄入口所說的話恰到好處地用於事件視界:“從這兒進去的人必須拋棄一切希望。”任何東西或任何人一旦進入事件視界,就會很快地到達無限緻密的區域和時間的終點。
黑洞在恆星引力坍縮形成黑洞時,運動會更快得多,這樣能量被帶走的速率就高得多。所以不用太長的時間就會達到不變的狀態。人們會以為它將依賴於形成黑洞的恆星的所有的複雜特徵——不僅僅它的質量和轉動速度,而且恆星不同部分的不同密度以及恆星內氣體的複雜運動。如果黑洞就像坍縮形成它們的原先物體那樣變化多端,一般來講,對之作任何預言都將是非常困難的。然而,加拿大科學家外奈·伊斯雷爾在1967年使黑洞研究發生了徹底的改變。他指出,根據廣義相對論,非鏇轉的黑洞必須是非常簡單、完美的球形;其大小隻依賴於它們的質量,並且任何兩個這樣的同質量的黑洞必須是等同的。
黑洞伊斯雷爾的結果只處理了由非鏇轉物體形成的黑洞。
1963年,紐西蘭人羅伊·克爾找到了廣義相對論方程的描述鏇轉黑洞的一族解。這些“克爾”黑洞以恆常速度鏇轉,其大小與形狀只依賴於它們的質量和鏇轉的速度。如果鏇轉為零,黑洞就是完美的球形,這解就和施瓦茲席爾德解一樣。如果有鏇轉,黑洞的赤道附近就鼓出去(正如地球或太陽由於鏇轉而鼓出去一樣),而鏇轉得越快則鼓得越多。由此人們猜測,如將伊斯雷爾的結果推廣到包括鏇轉體的情形,則任何鏇轉物體坍縮形成黑洞後,將最後終結於由克爾解描述的一個靜態。
黑洞然而,1963年,加利福尼亞的帕羅瑪天文台的天文學家馬丁·施密特測量了在稱為3C273(即是劍橋射電源編目第三類的273號)射電源方向的一個黯淡的類星體的紅移。他發現引力場不可能引起這么大的紅移——如果它是引力紅移,這類星體必須具有如此大的質量,並離地球如此之近,以至於會干擾太陽系中的行星軌道。這暗示此紅移是由宇宙的膨脹引起的,進而表明此物體離地球非常遠。由於在這么遠的距離還能被觀察到,它必須非常亮,也就是必須輻射出大量的能量。人們會想到,產生這么大量能量的唯一機制看來不僅僅是一個恆星,而是一個星系的整箇中心區域的引力坍縮。人們還發現了許多其他類星體,它們都有很大的紅移。但是它們都離開地球太遠了,所以對之進行觀察太困難,以至於不能。
質量
黑洞是由大於太陽質量的3.2倍的天體發生引力坍塌後形成的(小於1.4個太陽質量的恆星,會變成白矮星 )。天文學的觀測表明,在很多星系的中心,包括銀河系,都存在超過太陽質量上億倍的超大質量黑洞。
尺寸
愛因斯坦的廣義相對論預測有黑洞解。其中最簡單的球對稱解為史瓦西度量。這是由卡爾·史瓦西於1915年發現的愛因斯坦方程的解。根據史瓦西解,如果一個重力天體的半徑小於一個特定值,天體將會發生坍塌,這個半徑就叫做史瓦西半徑。在這個半徑以下的天體,其中的時空嚴重彎曲,從而使其發射的所有射線,無論是來自什麼方向的,都將被吸引入這個天體的中心。因為相對論指出在任何慣性座標中,物質的速率都不可能超越真空中的光速,在史瓦西半徑以下的天體的任何物質,包括重力天體的組成物質——都將塌陷於中心部分。一個有理論上無限密度組成的點組成重力奇點(gravitational singularity)。由於在史瓦西半徑內連光線都不能逃出黑洞,所以一個典型的黑洞確實是絕對“黑”的。

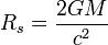
史瓦西半徑
史瓦西半徑由下面式子給出:G是萬有引力常數,M是天體的質量,c是光速。對於一個與地球質量相等的天體,其史瓦西半徑僅有9毫米。史瓦西半徑只是某一種黑洞的半徑,指的是無自轉,無磁場的黑洞,不能泛泛的說所有黑洞的直徑為史瓦西半徑,而且在現實中,不存在這樣的黑洞,擁有史瓦西半徑的黑洞只是一個理論假設。
溫度
黑洞越大,溫度越低就輻射譜而言,黑洞與有溫度的物體完全一樣,而黑洞所對應的溫度,則正比於黑洞視界的重力強度。換句話說,黑洞的溫度取決於它的大小。若黑洞只比太陽的幾倍重,它的溫度大約只比絕對零度高出億分之一度,而更大的黑洞溫度甚至更低。因此這類黑洞所發出的量子輻射,一律會被大爆炸所留下的2.7度輻射(宇宙背景輻射)完全淹沒。
事件視界
事件視界又稱為黑洞的視界,事件視界以外的觀察者無法利用任何物理方法獲得事件視界以內的任何事件的資訊,或者受到事件視界以內事件的影響。事件視界是造成黑洞所以被稱為黑洞的根本原因,不過實際的觀測還沒有發現事件視界。
光子球
光子球是個零厚度的球狀邊界,光子只要切線闖入這個邊界內,雖然不一定會被黑洞所捕獲,但是會處在一個圓形的軌道裡面,無法逃脫黑洞的視界之外。對於非鏇轉的黑洞來說,光子球大約史瓦西半徑的一點五倍。這個軌道不是穩定的,隨時會因為黑洞的成長而變動。
光子球之內光子依然有辦法脫離,但是對於外部的觀察者來說,任何觀察的到的由黑洞發出的光子,都必須處於事件視界與光子球之間。這也是反對黑洞存在的人所依據的的強烈反對事實之一,透過觀察光子球的光子能量,無法找到事件視界存在的證據。
參考系拖曳圈
參考系拖曳圈參考系拖曳圈(Ergosphere,又稱FrameDragging或是LenseThirringEffect,“蘭斯-蒂林效應圈”),轉動狀態的質量會對其周圍的時空產生拖拽的現象,這種現象被稱作參考系拖拽。鏇轉黑洞才有參考系拖曳圈,也就是黑洞南北極與赤道在時空效應上有所不同。
觀測者可以利用光圈效應及參考系拖曳圈,觀測進入或脫離黑洞的光子的運動,透過間接的手段,例如粒子含量的分布及PenroseProcess(鏇轉黑洞的能量拉出過程),來間接了解其重力的分布,透過重力的分布重新建立出其參考系拖曳圈。這種觀測方式,只有雙星以上的系統才能夠進行這樣的觀測。
時間場異常
黑洞周圍由於引力強大的因素,理論預期會發生時間場異常現象,這包含了周圍的參考系拖曳圈及事件視界效應。
分類特點
按質量分
黑洞超巨質量黑洞:可以在所有已知星系中心發現其蹤跡。質量據說是太陽的數百萬至十數億倍。小質量黑洞:質量為太陽質量的10至20倍,即超新星爆炸以後所留下的核心質量是太陽的3至15倍就會形成黑洞。
理論預測,當質量為太陽的40倍以上,可不經超新星爆炸過程而形成黑洞。
中型黑洞:推論是由小質量黑洞合併形成,最後則變成超巨質量黑洞。中型黑洞是否真實存在仍然存疑。
按物理特性分
根據黑洞本身的物理特性(質量、電荷、角動量):
不鏇轉不帶電荷的黑洞。它的時空結構於1916年由史瓦西求出稱史瓦西黑洞。
不鏇轉帶電黑洞,稱R-N黑洞。時空結構於1916-1918年由Reissner和Nordstrom求出。
鏇轉不帶電黑洞,稱克爾黑洞。時空結構由克爾於1963年求出。
一般黑洞,稱克爾-紐曼黑洞。時空結構於1965年由紐曼求出。
原初黑洞
宇宙黑洞產生
形成過程
跟白矮星和中子星一樣,黑洞也是由恆星演化而來的。
白矮星-內部結構模型圖當一顆恆星衰老時,它的熱核反應已經耗盡了中心的燃料(氫),由中心產生的能量已經不多了。這樣,它再也沒有足夠的力量來承擔起外殼巨大的重量。所以在外殼的重壓之下,核心開始坍縮,直到最後形成體積小、密度大的星體,重新有能力與壓力平衡。
質量小一些的恆星主要演化成白矮星,質量比較大的恆星則有可能形成中子星。而根據科學家的計算,中子星的總質量不能大於三倍太陽的質量。如果超過了這個值,將再沒有什麼力能與自身重力相抗衡了,從而引發另一次大坍縮。根據科學家的猜想物質將不可阻擋地向著中心點進軍,直至成為一個體積趨於零、密度趨向無限大的“點”。而當它的半徑一旦收縮到一定程度(史瓦西半徑),巨大的引力就使得即使光也無法向外射出,從而切斷了恆星與外界的一切聯繫——“黑洞”誕生了。
形成理論
中子星-內部結構模型圖專家研究
電漿
德國馬克斯普朗克核物理研究所和赫爾姆霍茨柏林中心的研究人員使用柏林同步加速器(BESSYⅡ)在實驗室成功產生了黑洞周邊的電漿。通過該研究,之前只能在太空由人造衛星執行的天文物理實驗,也可以在地面進行,諸多天文物理學難題有望得到解決。黑洞的重力很大,會吸附一切物質。進入黑洞後,任何東西都不可能從黑洞的邊界之內逃逸出來。隨著被吸入的物體的溫度不斷升高,會產生核與電子分離的高溫電漿。
黑洞吸附物質會產生X射線,X射線反過來又會刺激其中的大量化學元素髮射出具有獨特線條(顏色)的X射線。分析這些線條可以幫助科學家了解更多有關黑洞附近電漿的密度、速度和組成成分等信息。在這個過程中,鐵起了非常關鍵的作用。儘管鐵在宇宙中的儲量並不如更輕的氫和氦豐富,但是,它能夠更好地吸收和重新發射出X射線,發射出的光子因此也比其他更輕的原子發射出的光子具有更高的能量、更短的波長(使得其具有不同的顏色)。
鐵發射出的X射線在穿過黑洞周圍的介質時也會被吸收。在這個所謂的光離化過程中,鐵原子通常會經歷幾次電離,其包含的26個電子中有超過一半會被去除,最終產生帶電離子,帶電離子聚集成為電漿,研究人員可以在實驗室中重現了這個過程。實驗的核心是馬克斯普朗克核物理研究所設計的電子束離子阱。在這個離子阱中,鐵原子經由一束強烈的電子束加熱,從而被離子化14次。實驗過程如下:一團鐵離子(僅僅幾厘米長並且像頭髮絲一樣薄)在磁場和電場的作用下被懸停在一個超高真空內,同步加速器發射出的X射線的光子能量被一台精確性超高的“單色儀”挑選出來,作為一束很薄但卻集中的光束施加到鐵離子上。
實驗室測量到的光譜線與錢德拉X射線天文台和牛頓X射線多鏡望遠鏡所觀測的結果相匹配。也就是說,研究人員在地面實驗室人為製造出了太空中的黑洞電漿。這種新奇的方法將帶電離子的離子阱和同步加速器輻射源結合在一起,讓人們可以更好地了解黑洞周圍的電漿或者活躍的星系核。研究人員希望,將EBIT分光檢查鏡和更清晰的第三代(2009年開始在德國漢堡運行的同步輻射源PETRAⅢ)、第四代(X射線自由電子雷射XFEL)X射線源結合,將能夠給該研究領域帶來更多新鮮活力。
人造黑洞
美國製成“人造黑洞”
2005年3月,美國布朗大學物理教授‘霍拉蒂·納斯塔西’在地球上製造出了第一個“人造黑洞“。美國紐約布魯克海文實驗室1998年建造了20世紀全球最大的粒子加速器,將金離子以接近光速對撞而製造出高密度物質。雖然這個黑洞體積很小,卻具備真正黑洞的許多特點。紐約布魯克海文國家實驗室里的相對重離子碰撞機,可以以接近光速的速度把大型原子的核子(如金原子核子)相互碰撞,產生相當於太陽表面溫度3億倍的熱能。納斯塔西在紐約布魯克海文國家實驗室里利用原子撞擊原理製造出來的灼熱火球,具備天體黑洞的顯著特性。比如:火球可以將周圍10倍於自身質量的粒子吸收,這比所有量子物理學所推測的火球可吸收的粒子數目還要多。
人造黑洞的構想最初由加拿大“不列顛哥倫比亞大學”的威廉·昂魯教授在20世紀80年代提出,他認為聲波在流體中的表現與光在黑洞中的表現非常相似,如果使流體的速度超過聲速,那么事實上就已經在該流體中建立了一個人造黑洞。然而,利昂哈特博士打算製造的人造黑洞由於缺乏足夠的引力,除了光線外,它們無法像真正的黑洞那樣“吞下周圍的所有東西”。然而,納斯塔西教授製造的人造黑洞已經可以吸收某些其他物質。因此,這被認為是黑洞研究領域的重大突破。
歐洲“人造黑洞”
2008年9月10日,隨著第一束質子束流貫穿整個對撞機,歐洲大型強子對撞機正式啟動。
歐洲大型強子對撞機是2013年前世界上最大、能量最高的粒子加速器,是一種將質子加速對撞的高能物理設備,它位於瑞士日內瓦近郊歐洲核子研究組織CERN的粒子加速器與對撞機,作為國際高能物理學研究之用。系統第一負責人是英國著名物理學家‘林恩·埃文斯’,大型強子對撞機最早就是由他構想出來並主導製造的,被外界稱為“埃文斯原子能”。
當比我們的太陽更大的特定恆星在生命最後階段發生爆炸時,自然界就會形成黑洞。它們將大量物質濃縮在非常小的空間內。假設在大型強子對撞機內的質子相撞產生粒子的過程中,形成了微小黑洞,每個質子擁有的能量可跟一隻飛行中的蚊子相當。天文學上的黑洞比大型強子對撞機能產生的任何東西的質量更重。據愛因斯坦的相對論描述的重力性質,大型強子對撞機內不可能產生微小黑洞。然而一些純理論預言大型強子對撞機能產生這種粒子產品。所有這些理論都預測大型強子對撞機產生的此類粒子會立刻分解。因此它產生的黑洞將沒時間濃縮物質,產生肉眼可見的結果。
中國的人造電磁黑洞中國科學家造出第一個“人造電磁黑洞”
2009年10月15日,《科學》雜誌宣布,世界上第一個“可吸收電磁波的微波人造黑洞”在中國東南大學實驗室里誕生。不過,這個小型“黑洞”不僅不會毀滅世界,還能幫助人們更好地吸收太陽能。
人們對黑洞這種天體感到好奇,但絕不會希望有任何一個黑洞接近自己,或我們的星球。有一些科學家在自己的實驗室里造出了一個“迷你小型”黑洞。2009年10月15日的《科學》雜誌在介紹這種“人造黑洞”時建議,人們可以把這種“黑洞”裝進自己的大衣口袋裡。製造出“人造黑洞”的是中國東南大學的一個研究組,崔鐵軍教授和程強教授是其中最主要的兩位研究者。“實際上,我們做的黑洞不是嚴格意義上的黑洞。”在接受《外灘畫報》採訪時,程強教授對記者說。
實驗室里的“人工黑洞”,目的當然不是為了將一個吞噬一切的“惡魔”裝進口袋。據程強介紹,存在於東南大學毫米波國家實驗室的“人造黑洞”,實際上是一個模擬裝置,這種模擬裝置可以吸收微波頻段的電磁波,在未來,它還可以吸收光。但是除此之外,它並不能吸收任何實質的東西。“它只吸收電磁波,不吸收能量。”程強對記者說。這是一個不具有危險性的“黑洞”,不僅如此,這種裝置還能在未來用於收集太陽能。在這方面,“人造黑洞”將比世界上任何一種太陽能電池板都更高效。一些物理愛好者甚至為這種全新的裝置設計了一些新功能,比如將它裝置在太空飛行器中的太陽帆上,或者用來吸收空氣中游散的電磁波——因為手機和無線網路的普及,這種看不見的電磁波據說侵害了我們的健康,成為一種新的污染。
不過,製造“黑洞”的研究者卻從來不想那么多,崔鐵軍和程強正在繼續的,是如何把實驗室里的裝置變成樣機,“實現工程化”。面對關於“人造黑洞”的各式各樣的議論,程強認為,“成果公布以後,被許多國際媒體轉載和評論,確實也大大出乎我們意料。從我們個人角度而言,只覺得這是一個比較有意義的工作。
實驗室里的“黑洞”
黑洞之所以能這么快將之變成現實,是因為他們所在的實驗室也一直從事著這方面的研究,在理論和實驗兩方面都積累了很多年的經驗,實驗過程中也用到了很多他們自己的獨創性想法。不過雖然名為“黑洞”,他們受納瑞馬諾維啟發而造的“黑洞”,和真正存在於宇宙中的黑洞還是有大差別的,這種差別並不僅僅體現在質量的大小上。兩種“黑洞”的原理其實並不一樣。
宇宙間的黑洞之所以能吞噬一切,是因為它質量巨大,而實驗室里的“黑洞”,實際上是根據光波在被吸進宇宙黑洞時的性質,模擬出來的儀器,可以令光波接近時產生相似的扭曲,並被吸引。也就是說,兩種“黑洞”可以讓附近的光波出現相似的“結局”,但是光波遇到的卻並不是同一回事。
不過東南大學實驗室里的“黑洞”,還只是適用於某些微波頻率,比如人們常用的通信頻率,如GSM、CDMA和藍牙等,吸引光波還有待進一步研究,因為光波的頻率更短,需要設計的“人造黑洞”尺寸也要更小些。
質量測定
中科院國家天文台研究員劉繼峰領導的國際團隊在世界上首次成功測量到X射線極亮天體的黑洞質量,在該領域獲得重大突破,將增進人們對黑洞及其周圍極端物理過程的認識。該研究成果2013年11月28日發表在國際權威雜誌《自然》上。20世紀90年代以來,天文學家陸續在遙遠星系中發現了一批X射線光度極高的天體,它們可能是人們一直尋找的中等質量黑洞,也可能是具有特殊輻射機制的幾個或幾十個太陽質量的恆星級黑洞。國際天文和天體物理界對此一直難以定論。由於這類天體距離我們十分遙遠,通常為幾千萬光年,同時X射線照射黑洞吸積盤而產生的光污染也非常強,因此測量極其困難。
劉繼峰團隊選取有特色的天體目標,成功申請到位於美國夏威夷的8米大型雙子望遠鏡以及10米凱克望遠鏡各20小時的觀測時間,在3個月的時間跨度上對漩渦星系中X射線極亮源M101ULX-1進行了研究,並確認其中心天體為一個質量與恆星可比擬的黑洞。這個黑洞加伴星形成的黑洞雙星系統位於2200萬光年之外,是人類迄今發現的距離地球最
不存在
黑洞這一定義在經過漫長的時間推測後,已經慢慢被人們所接受。然而在2014年1月24日,英國著名科學家史蒂芬·霍金教授再次以其與黑洞有關的理論震驚物理學界。他在日前發表的一篇論文中承認,黑洞其實是不存在的,不過“灰洞”的確存在。在其這篇名為《InformationPreservationandWeatherForecastingForBlackHoles》的論文中,霍金指出,由於找不到黑洞的邊界,因此黑洞是不存在的。黑洞的邊界又稱“視界”。經典黑洞理論認為,黑洞外的物質和輻射可以通過視界進入黑洞內部,而黑洞內的任何物質和輻射均不能穿出視界。
霍金的最新“灰洞”理論認為,物質和能量在被黑洞困住一段時間以後,又會被重新釋放到宇宙中。他在論文中承認,自己最初有關視界的認識是有缺陷的,光線其實是可以穿越視界的。當光線逃離黑洞核心時,它的運動就像人在跑步機上奔跑一樣,慢慢地通過向外輻射而收縮。
黑洞炸彈
2001年1月,英國聖安德魯大學著名理論物理科學家烏爾夫·利昂哈特宣布他和其他英國科研人員將在實驗室中製造出一個黑洞,當時沒有人對此感到驚訝。然而俄《真理報》日前披露俄羅斯科學家的預言:黑洞不僅可以在實驗室中製造出來,而且50年後,具有巨大能量的“黑洞炸彈”將使如今人類談虎色變的“核子彈”也相形見絀。
人造黑洞的構想由威廉·昂魯教授提出,他認為聲波在流體中的表現與光在黑洞中的表現非常相似,如果使流體的速度超過音速,那么事實上就已經在該流體中建立了一個人造黑洞現象。但利昂哈特博士打算製造的人造黑洞由於缺乏足夠的引力,除了光線外,無法像真正的黑洞那樣“吞下周圍的所有東西”。
俄羅斯科學家亞力克山大·特羅菲蒙科認為,能吞噬萬物的真正宇宙黑洞也完全可以通過實驗室“製造出來”:一個原子核大小的黑洞,它的能量將超過一家核工廠。如果人類有一天真的製造出黑洞炸彈,那么一顆黑洞炸彈爆炸後產生的能量,將相當於數顆核子彈同時爆炸,它至少可以造成10億人死亡。”
捕捉星雲
2011年12月,一個國際研究小組利用歐洲南方天文台的“甚大望遠鏡”,發現一個星雲正在靠近位於銀河系中央的黑洞並將被其吞噬。這是天文學家首次觀測到黑洞“捕捉”星雲的過程。觀測顯示,這個星雲的質量約是地球的3倍,它的位置來逐漸靠近“人馬座A星”黑洞。這個黑洞的質量約是太陽的400萬倍,是距離我們最近的大型黑洞。研究人員分析認為,到2013年,這個星雲將離黑洞非常近,有可能被黑洞逐漸吞噬。
另外,黑洞並不是實實在在的星球,而是一個幾乎空空如也的天區。黑洞又是宇宙中物質密度最高的地方,地球如果變成黑洞,只有一顆黃豆那么大。原來,黑洞中的物質不是平均分布在這個天區的,而是集中在天區的中心。這箇中心具有極強的引力,任何物體只能在這箇中心外圍游弋。一旦不慎越過邊界,就會被強大的引力拽向中心,最終化為粉末,落到黑洞中心。因此,黑洞是一個名副其實的太空魔王。
黑洞內部只有三個物理量有意義:質量、電荷、角動量。
黑洞無毛
1973年霍金、卡特爾(B.Carter)等人嚴格證明了“黑洞無毛定理”:“無論什麼樣的黑洞,其最終性質僅由幾個物理量(質量、角動量、電荷)惟一確定”。即當黑洞形成之後,只剩下這三個不能變為電磁輻射的守恆量,其他一切信息(“毛髮”)都喪失了,黑洞幾乎沒有形成它的物質所具有的任何複雜性質,對前身物質的形狀或成分都沒有記憶。於是“黑洞”的術語發明家惠勒戲稱這特性為“黑洞無毛”。
對於物理學家來說,一個黑洞或一塊方糖都是極為複雜的物體,因為對它們的完整描述,即包括它們的原子和原子核結構在內的描述,需要有億萬個參量。與此相比,一個研究黑洞外部的物理學家就沒有這樣的問題。黑洞是一種極其簡單的物體,如果知道了它的質量、角動量和電荷,也就知道了有關它的一切。黑洞幾乎不保持形成它的物質所具有的任何複雜性質。它對前身物質的形狀或成分都沒有記憶,它保持的只是質量、角動量、電荷。消繁歸簡或許是黑洞最基本的特徵。有關黑洞的大多數術語的發明家約克·惠勒,在60年前把這種特徵稱為“黑洞無毛”。
宇宙黑洞
美國天文學家發現了一個源自127億年前的黑洞,不過這個黑洞距離地球非常遙遠,它是在宇宙大爆炸之後的1億年形成的。但是令所有科學家迷惑的是,是什麼力量讓這個宇宙黑洞在這么“短”的時間內就形成了這么大質量的黑洞的?這個宇宙黑洞是目前全世界發現的最古老的,已經有天文科學家把它命名為了Q0906+6930,它的質量幾乎達到了整個銀河系下的恆星質量之和,而它的容量幾乎可以裝下1000個太陽系。這個黑洞僅僅比宇宙晚形成那么幾億年“而已”,像它這樣大容量的黑洞,又這么的古老,真的非常罕見。
宇宙黑洞只是一個模糊的概念,它既看不到也摸不到,只能通過X射線和伽馬射線來確定它的存在和測量它的體積和質量。但是對於這個宇宙黑洞的數據都是估量值,現在已經有一些天文專家準備利用它周圍的天體的X射線和伽瑪射線來精確測量它的精確數據。類似天體白洞是廣義相對論所預言的一種與黑洞相反的特殊天體。和黑洞類似,白洞也有一個封閉的邊界,聚集在白洞內部的物質,只能經邊界向外運動,而不能反向運動,就是說白洞只向外部輸出物質和能量。白洞是一個強引力源,能把它周圍的物質吸積到邊界上形成物質層。但白洞還是一種理論模型,尚未被觀測所證實。
![黑洞[天體名稱] 黑洞[天體名稱]](/img/7/d78/nBnauM3XwQzMxYzNwETM5gjNxQTM5ADOxkDOyQTNwAzMwIzLxEzLxUzLt92YucmbvRWdo5Cd0FmLyE2LvoDc0RHa.jpg)
