簡介
克卜勒定律是克卜勒發現的關於行星運動的定律。他於1609年在他出版的《新天文學》上發表了關於行星運動的兩條定
示意圖克卜勒很幸運地能夠得到,著名的丹麥天文學家第谷·布拉赫所觀察與收集的,非常精確的天文資料。大約於1605年,根據布拉赫的行星位置資料,克卜勒發現行星的移動遵守三條相當簡單的定律。
克卜勒的定律給予亞里士多德派與托勒密派在天文學與物理學上極大的挑戰。他主張地球是不斷地移動的;行星軌道不是周轉圓(epicycle的,而是橢圓形的;行星公轉的速度不等恆。這些論點,大大地動搖了當時的天文學與物理學。經過了幾乎一世紀披星戴月,廢寢忘食的研究,物理學家終於能夠用物理理論解釋其中的道理。牛頓利用他的第二定律和萬有引力定律,在數學上嚴格地證明克卜勒定律,也讓人們了解其中的物理意義。
內容
克卜勒的三條行星運動定律改變了整個天文學,徹底摧毀了托勒密複雜的宇宙體系,完善並簡化了哥白尼的日心說。
克卜勒第一定律
克卜勒第一定律克卜勒第二定律
克卜勒第二定律這一定律實際揭示了行星繞太陽公轉的角動量守恆。用公式表示為
克卜勒定律克卜勒第三定律
克卜勒第三定律由這一定律不難導出:行星與太陽之間的引力與半徑的平方成反比。這是牛頓的萬有引力定律的一個重要基礎。
用公式表示為
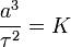
克卜勒定律這裡, 是行星公轉軌道半長軸, 是行星公轉周期, 是常數。
數學引導
克卜勒定律是關於行星環繞太陽的運動,而牛頓定律更廣義的是關於幾個粒子因萬有引力相互吸引而產生的運動。在只有兩個粒子,其中一個粒子超輕於另外一個粒子,這些特別狀況下,輕的粒子會環繞重的粒子移動,就好似行星根據克卜勒定律環繞太陽的移動。然而牛頓定律還容許其它解答,行星軌道可以呈拋物線運動或雙曲線運動。這是克卜勒定律無法預測到的。在一個粒子並不超輕於另外一個粒子的狀況下,依照廣義二體問題的解答,每一個粒子環繞它們的共同質心移動。這也是克卜勒定律無法預測到的。
克卜勒定律,或者是用幾何語言,或者是用方程,將行星的坐標及時間跟軌道參數相連結。牛頓第二定律是一個微分方程。克卜勒定律的導引涉及解微分方程的藝術。我們會先導引克卜勒第二定律,因為克卜勒第一定律的導引必須建立於克卜勒第二定律。
數學證明
克卜勒第一定律的證明
設太陽與行星質量分別M和m,取平面極作標系,行星位置用(r,α)來描述。如圖行星位置矢量是垂直單位矢量。
行星受太陽引力為F=-(GMm/r)r°
首先證明行星一定在同一平面內運動,有牛頓第二定律:F=m(dv/dt)
力矩r×F=-(GMm/r)r°×r°=0.即r×(dv/dt)=0。
d(r×v)/dt=×v+r×dv/dt=0。
積分,得r×v=h(常矢量)
上式表明,行星徑矢 r始終與常矢量h正交,故行星一定在同一平面內運動。
為了得出行星運動的軌跡,採用圖中平面極坐標方向
,取靜止的太陽為極點o,行星位置為(r,α).在平面 極坐標中,行星運動有關物理量如下:
逕行r=r﹒r° ;速度v=dr/dt=(dr/dt)﹒r°+r﹒(dα/dt)﹒α°
r°是徑向單位矢量,α°為徑向垂直單位矢量。
dr/dt是徑向速度分量, r﹒(dα/dt)是橫向速度分量
速度大小滿足v²=(dr/dt)²+( r﹒(dα/dt))²
動量mv=m(dr/dt)+m( r﹒(dα/dt))
角動量L=r×mv=m•r²(dα/dt)•(r°×α°)
得L=m•r ²•(dα/dt)
行星所受的太陽引力指向o點,故對o點力矩M=0,由角動量定理,知角動量守恆。L為常量
太陽行星系統的機械能守恆,設系統總能量為E,則
E=½mv²-GMm/r
因 α/dt=L/mv² dr/dt= (L/mv²)(dr/dα)代入上式
(L²/m²r²r²)(dr/dα)²+ L²/m²r=2E/m+2GM/r
上邊兩式同乘m²/ L²,得
dr²/dα²r²r²+1/r²=2mE/L²+2Mm²/L²r
為了簡化式子,令ρ=1/r.則dr/dα=-r²(dρ/dα)
於是方程變為(dr/dα)²+ρ²-2Gm²Mρ/L²=2mE/L²
上式對α求導。並注意E與L為常量。得
2(dr/dα)(d²r/dα²)+2ρ(dρ/dα)
克卜勒第二定律的證明
克卜勒第二定律是這么說的:在相等的時間內,行星與恆星的連線掃過的面積相等。O為恆星,直線AC為行星不受引力時的軌跡。設行星從A到B、從B到C所用的時間間隔Δt相等,A處的時刻為t1,B為t2,C為t3。現在假設行星不受O的引力作用,那么這時掃過的面積SΔABO和SΔBCO相等(等底同高)。現在行星受到引力作用了,因為引力的方向時刻指向恆星,所以在從t1到t3這段時間裡,行星所受的引力的方向的總效果應該沿著BO方向(這需要一點向量的知識)。因此,t3時刻行星的位置C’應該由兩個向量相加而得到:向量AC+向量CC’(作CC’平行於BO,因此沿BO方向的向量等價於CC’)。這樣,SΔBCO=SΔBC’O(同底等高)。因此,SΔBC’O=SΔABO。因為Δt是任取的,所以在相等的時間內,行星與恆星的連線掃過的面積相等。
克卜勒第三定律的證明
克卜勒定律SA=1/2rAvA=1/2(a-c)vA……………………………………{1}
sB=1/2rBvB=1/2(a+c)vB
根據克卜勒第二定律,應有SA=SB,因此得
vB=[(a-c)/(a=c)]vA……………………………………………{2}
行星運動的總機械能E等於其動能與勢能之和,則當他經過近日點和遠日點時,其機械能應分別為
EA=1/2m(vA)^2-(GMm)/rA=1/2m(vA)^2-(GMm)/(a-c)…………{3}
Eb=1/2m(Vb)^2-(GMm)/rB=1/2m(vB)^2-(GMm)/(a+c)
根據機械能守恆,應有EA=EB,故得
1/2m[(vA)^2-(vB)^2]=GMm[1/(a-c)-1/(a+c)]……………………{4}
由{2}{4}兩式可解得
(vA)^2={(a+c)GM}/{a(a-c)}………………………………{5}
(vAB)^2={(a-c)GM}/{a(a+c)}
由{5}式和{1}式得面積速度為
SA=SB=S=(b/2)√[(GM)/a]
橢圓的面積為( 兀ab ) ,則得此行星運動周期為
T=(兀ab)/S=2兀a√a/(GM)…………………………{6}
將{6}式兩邊平方,便得
(a)^3/(T)^2=(GM)/4(兀)^2
發現過程
克卜勒定律被稱為“星子之王”的第谷·布拉赫在天體觀測方面獲得不少成就,死後留下20多年的觀測資料和一份精密星表。他的助手克卜勒利用了這些觀測資料和星表,進行新星表編制。然而工作伊始便遇到了困難,按照正圓軌道來編制火星運行表一直行不通,火星這個“狡猾傢伙”總不聽指揮,老愛越軌。經過一次次分析計算,克卜勒發現,如果火星軌道不是正圓,而是橢圓,那么矛盾不就煙消雲散了嗎。經過長期細緻而複雜計算以後,他終於發現:行星在通過太陽的平面內沿橢圓軌道運行,太陽位於橢圓的一個焦點上。這就是行星運動第一定律,又叫“軌道定律”。
當克卜勒繼續研究時,“詭譎多端”的火星又將他騙了。原來,克卜勒和前人都把行星運動當作等速來研究的。他按照這一方法苦苦計算了1年,卻仍得不到結果。後來他發現,在橢圓軌道上運行的行星速度不是常數,而是在相等時間內,行星與太陽的聯線所掃過的面積相等。這就是行星運動第二定律,又叫“面積定律”。
克卜勒又經過9年努力,找到了行星運動第三定律:太陽系內所有行星公轉周期的平方同行星軌道半長徑的立方之比為一常數,這一定律也叫“調和定律”。
定律意義
克卜勒對天文學貢獻很大首先,克卜勒定律在科學思想上表現出無比勇敢的創造精神。遠在哥白尼創立日心宇宙體系之前,許多學者對於天動地靜的觀念就提出過不同見解。但對天體遵循完美的均勻圓周運動這一觀念,從未有人敢懷疑。克卜勒卻毅然否定了它。這是個非常大膽的創見。哥白尼知道幾個圓合併起來就可以產生橢圓,但他從來沒有用橢圓來描述過天體的軌道。正如克卜勒所說,“哥白尼沒有覺察到他伸手可得的財富”。
其次,克卜勒定律徹底摧毀了托勒密的本輪系,把哥白尼體系從本輪的桎梏下解放出來,為它帶來充分的完整和嚴謹。哥白尼拋棄古希臘人的一個先入之見,即天與地的本質差別,獲得一個簡單得多的體系。但它仍須用三十幾個圓周來解釋天體的表觀運動。克卜勒卻找到最簡單的世界體系,只用七個橢圓說就全部解決了。從此,不須再藉助任何本輪和偏心圓就能簡單而精確地推算行星的運動。
第三,克卜勒定律使人們對行星運動的認識得到明晰概念。它證明行星世界是一個勻稱的(即克卜勒所說的“和諧”)系統。這個系統的中心天體是太陽,受來自太陽的某種統一力量所支配。太陽位於每個行星軌道的焦點之一。行星公轉周期決定於各個行星與太陽的距離,與質量無關。而在哥白尼體系中,太陽雖然居於宇宙“中心”,卻並不扮演這個角色,因為沒有一個行星的軌道中心是同太陽相重合的。
由於利用前人進行的科學實驗和記錄下來的數據而作出科學發現,在科學史上是不少的。但像行星運動定律的發現那樣,從第谷的20餘年辛勤觀測到克卜勒長期的精心推算,道路如此艱難,成果如此輝煌的科學合作,則是罕見的。這一切都是在沒有望遠鏡的條件下得到的!
克卜勒與克卜勒定律
克卜勒1601年,第谷逝世。約翰·克卜勒接替了第谷的工作,開始編制魯道夫星表。但克卜勒的興趣和注意力卻更多的放在改進和完善哥白尼的日心說上,在探討行星軌道性質的研究上。他發現第谷的觀測數據,與哥白尼體系、托勒密體系都不符合。他決心尋找這種不一致的原因和行星運行的真實軌道。
最初的研究從觀測與理論差異突出的火星著手。他運用傳統的勻速圓周運動加偏心圓來計算,均遭到失敗。經過長達4年近70次各種行星軌道形狀設計方案的計算,克卜勒認識到哥白尼體系的勻速圓周運動和偏心圓的軌道模式與火星的實際運動軌道不符。於是他大膽的拋棄了統治人類思想達2000年之久的“勻速圓周運動”偏見,嘗試用別的幾何曲線來表示火星軌道的形狀。他認為行星運動軌道的焦點應該在產生引力中心的太陽上,並進而斷定火星運動的線速度不是勻速的,近太陽時快些,遠太陽時慢些並得出結論:太陽至火星的直徑在一天內掃過的面積是相等的。
克卜勒把這結論推廣到其他行星上,結果也是與觀測數據相符。就這樣,他首先得到了行星運行的等面積定律。隨後他發現火星運行的軌道不是正圓,而是焦點位於太陽上的橢圓,他把這結論套用於其他行星也是適用的。於是他又得到了行星運行的橢圓軌道定律。這兩條定律發表在他1609年出版的《新天文學》一書上。但他對自已取得的成就還不滿足。他渴望找到一種能適合所有行星的總體模式,把各行星聯繫在一起。他堅信存在著一個把全體行星完整地聯繫在一起的簡單法則。
在這個信念鼓舞下,克卜勒忍受著個人在家庭方面遭受的巨大不幸,在很少有人了解和支持的困難條件下,經過九年的反覆計算和假設,終於在1618年找到在大量觀測數據後面隱匿的數的和諧性:行星公轉周期的平方與它們到太陽的平均距離的立方成正比。這就是周期定律。1619年,他在《宇宙的和諧》一書中介紹了第三定律,他情不自禁地寫道:"認識到這一真理,這是超出我的最美好的期望的。大局已定,這本書是寫出來了,可能當代有人閱讀,也可能是供後人閱讀的。它很可能要等一個世紀才有信奉者一樣,這一點我不管了。"
克卜勒的三定律是天文學的又一次革命,它徹底摧毀了托勒密繁雜的本輪宇宙體系,完善和簡化了哥白尼的日心宇宙體系。克卜勒對天文學最大的貢獻在於他試圖建立天體動力學,從物理基礎上解釋太陽繫結構的動力學原因。雖然他提出有關太陽發出的磁力驅使行星作軌道運動的觀點是錯誤的。但它對後人尋找出太陽繫結構的奧秘具有重大的啟發意義,為經典力學的建立、牛頓的萬有引力定律的發現,都作出重要的提示。
行星軌道
太陽是宇宙的中心,地球和其他行星一樣繞太陽公轉,16世紀天文學家哥白尼以其大膽的洞察力,提出了太陽系這一引領時代的全新理論,從而帶來了一場科技革命。但是直到半個世紀後,德國數學家克卜勒利用丹麥天文學家布第谷·布拉赫提供的觀察數據,才繪製出了第一張精確的太陽系地圖。克卜勒的辛勞鞏固了哥白尼的理論。他孤軍奮戰,終於用第谷·布拉赫的觀察數據,準確闡述了行星的運動。在有生之年,他的成就沒有得到承認,但他的洞察力仍然是現代宇宙理論的基礎。
星空知識
| 天文對於每個人來說是不會陌生的,但它奇妙的力量卻人類望而卻步。它浩瀚,飄渺,卻如實存在。每當夜晚你仰望星空,你是否想起什麼,或者感慨到了什麼,如果有真的話你可以在這裡寫下來。 |
物理學定律(1)
| 陳述各物理學定律的相關知識點。1.完成有效版本前三名分別獎勵350、200、100百科幣。(任務結束後當周發放);2.內容應符合專業、客觀、中立,具有較強的知識性和專業性,用詞規範、排版美觀、闡釋適度、通俗易懂,符合網際網路閱讀習慣,達到百科詞條的典範之作。請參考:互動百科:詞條標準。3.評審團由物理學專家、科學編輯莫小夏、浪花N朵朵組成。有任何意見、建議可在任務討論區提出。 |

