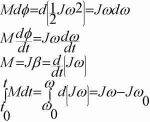
角動量的定義
角動量的定義(經典力學用)
“一個無外淨力矩作的閉合系統,它的角動量是守恆的。”這就是角動量守恆定律。一顆粒繞一原點運動的角動量L定義為L=RxP;這裡R是顆粒相對原點的位置向量;P是顆粒的線性動量;而x表示矢量積。具有一定質量的物體繞一固定軸轉動,它的角動量可表示為這個物體的慣性矩和它的角速度向量的乘積。L=Ixw這裡I是物體的慣性矩;而w是角速度。原理簡介
角動量守恆定律角動量守恆定律(lawofconservationofangularmomentum)物理學的普遍定律之一。反映質點和質點系圍繞一點或一軸運動的普遍規律。如果合外力矩零(即M外=0),則L1=L2,即L=常矢量。這就是說,對一固定點o,質點所受的合外力矩為零,則此質點的角動量矢量保持不變。這一結論叫做質點角動量守恆定律。
詳細內容
反映不受外力作用或所受諸外力對某定點(或定軸)的合力矩始終等於零的質點和質點系圍繞該點(或軸)運動的普遍規律。物理學的普遍定律之一。例如一個在有心力場中運動的質點,始終受到一個通過力心的有心力作用,因有心力對力心的力矩為零,所以根據角動量定理,該質點對力心的角動量守恆。因此,質點軌跡是平面曲線,且質點對力心的矢徑在相等的時間內掃過相等的面積。如果把太陽看成力心,行星看成質點,則上述結論就是克卜勒行星運動三定律之一,克卜勒第二定律。一個不受外力或外界場作用的質點系,其質點之間相互作用的內力服從牛頓第三定律,因而質點系的內力對任一點的主矩為零,從而導出質點系的角動量守恆。如質點系受到的外力系對某一固定軸之矩的代數和為零,則質點系對該軸的角動量守恆。角動量守恆也是微觀物理學中的重要基本規律。在基本粒子衰變、碰撞和轉變過程中都遵守反映自然界普遍規律的守恆定律,也包括角動量守恆定律。W.泡利於1931年根據守恆定律推測自由中子衰變時有反中微子產生,1956年後為實驗所證實。套用
角動量守恆定律是物理和自然界的一個重要定律,它在物理和工程等許多方面都有廣泛的套用。例如:當滑冰者手臂收縮時,自我鏇轉滑冰者的轉動速度就會加快。用角動量守恆定律也可解析中子星有很高的轉動速率等。物理學的普遍定律之一。反映質點和質點系圍繞一點或一軸運動的普遍規律。如一質量為 m的質點受指向固定中心O的向心力F的作用(圖1),因力F對O點的力矩為零,根據牛頓第二定律(見牛頓運動定律)可推得質點對O點的角動量守恆,Lo=r×mv=常矢量,此常矢量決定於運動的起始條件,r為質點對於O點的矢徑,v為質點的速度。如將太陽看成固定中心, 行星看成質點,則角動量守恆表明行星軌道必在一平面上。矢徑在相等的時間內掃過的面積相等,這就是克卜勒行星運動三定律(見克卜勒定律)之一。
角動量守恆定律
角動量守恆定律一孤立質點系統,如不受外力或外界場的作用,質點之間的內力服從牛頓第三定律(見牛頓運動定律)Fij=-Fij(圖2)。內力系對固定點O的主矩
,質點系統對O點的角動量守恆。即
常矢量決定於運動起始條件。如質點系統受到的外力系對某一固定軸之矩的代數和為零,則質點系統對此軸的角動量守恆。
角動量守恆是參照系轉動時勢能不變性的結果,如勢能U 僅取決於兩質點間的距離大小,而和其方向無關,U=U(|ri-rj|),則參照系統轉動時U是不變數。此時質點之間的相互作用力必通過兩質點連線,即與ri-rj矢量共線,而且Fij=-Fij,這就保證了角動量守恆。由此可見,角動量守恆反映了空間各向同性。
角動量守恆也是微觀物理學中的重要基本規律。在基本粒子衰變、碰撞和轉變過程中都遵守反映自然界普遍規律的守恆定律,如能量守恆定律、動量守恆定律和角動量守恆定律等,W.泡利於1931年根據守恆定律推測自由中子衰變時有反中微子產生,1956年後為實驗所證實。
配圖
角動量守恆定律物理學定律(1)
| 陳述各物理學定律的相關知識點。1.完成有效版本前三名分別獎勵350、200、100百科幣。(任務結束後當周發放);2.內容應符合專業、客觀、中立,具有較強的知識性和專業性,用詞規範、排版美觀、闡釋適度、通俗易懂,符合網際網路閱讀習慣,達到百科詞條的典範之作。請參考:互動百科:詞條標準。3.評審團由物理學專家、科學編輯莫小夏、浪花N朵朵組成。有任何意見、建議可在任務討論區提出。 |

