內容
熱力學第零定律的重要性在於它給出了溫度的定義和溫度的測量方法。定律中所說的熱力學系統是指由大量分子、原子組成的物體或物體系。它為建立溫度概念提供了實驗基礎。這個定律反映出:處在同一熱平衡狀態的所有的熱力學系統都具有一個共同的巨觀特徵,這一特徵是由這些互為熱平衡系統的狀態所決定的一個數值相等的狀態函式,這個狀態函式被定義為溫度。而溫度相等是熱平衡之必要的條件。
通常表述
熱力學第零定律熱力學中以熱平衡概念為基礎對溫度作出定義的定律。通常表述為:與第三個系統處於熱平衡狀態的兩個系統之間,必定處於熱平衡狀態。圖中A熱力學第零定律示意圖、B熱力學第零定律示意圖、C熱力學第零定律示意圖為3個質量和組成固定,且與外界完全隔絕的熱力系統。將其中的B、C用絕熱壁隔開,同時使它們分別與A發生熱接觸。待A與B和A與C都達到熱平衡時,再使B與C發生熱接觸。這時B和C的熱力狀態不再變化,這表明它們之間在熱性質方面也已達到平衡。第零定律表明,一切互為熱平衡的系統具有一個數值上相等的共同的巨觀性質──溫度。溫度計所以能夠測定物體溫度正是依據這個原理。
另一種表述
處於熱力學平衡狀態的所有物質均具有某一共同的巨觀物理性質。
溫度關係
第零定律經常被認為可以建立一個溫度函式;更隨便的說法是可以製造溫度計。而這個問題是其中一個熱力學和統計力學哲學的題目。
在熱力學變數的函式空間之中,恆溫的部分會成為一塊面並會為附近的面提供自然秩序。之後,該面會簡單建立一個可以提供連續狀態順序的總體溫度函式。該恆溫面的維度是熱力學變數的總數減一(例如對於有三個熱力學變數 P、V、n 的理想氣體,其恆溫面是塊二維面)。按此定義的溫度實際上未必如攝氏溫度尺般,而是一個函式。
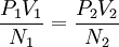
以理想氣體為例,若兩團氣體是處於熱平衡,則:
Pi 是第 i 個系統的壓強Vi 是第 i 個系統的體積Ni 是第 i 個系統的數量(摩爾數或者原子數目)面 PV / N = const 定義了所有相同溫度的面,一個常見方法來標籤這些面是令 PV / N = RT,R 是一個常數而溫度 T 可以由此定義。經定義後,這些系統可用作溫度計來較準其他系統。
意義
熱力學第零定律用來作為進行體系測量的基本依據,其重要性在於它說明了溫度的定義和溫度的測量方法。表述如下:
1.可以通過使兩個體系相接觸,並觀察這兩個體系的性質是否發生變化而判斷這兩個體系是否已經達到熱平衡。
2.當外界條件不發生變化時,已經達成熱平衡狀態的體系,其內部的溫度是均勻分布的,並具有確定不變的溫度值。
3.一切互為平衡的體系具有相同的溫度,所以一個體系的溫度可以通過另一個與之平衡的體系的溫度來表示,也可以通過第三個體系的溫度來表示。
ps:國中物理公式,熱學部分:1,吸熱:Q吸=Cm(t-t0)=Cmt;2,放熱:Q放=Cm(t0-t)CMt;3,熱力學溫度:T=t+273k
物理學定律(1)
| 陳述各物理學定律的相關知識點。1.完成有效版本前三名分別獎勵350、200、100百科幣。(任務結束後當周發放);2.內容應符合專業、客觀、中立,具有較強的知識性和專業性,用詞規範、排版美觀、闡釋適度、通俗易懂,符合網際網路閱讀習慣,達到百科詞條的典範之作。請參考:互動百科:詞條標準。3.評審團由物理學專家、科學編輯莫小夏、浪花N朵朵組成。有任何意見、建議可在任務討論區提出。 |

