定義
逃逸速度是指第三宇宙速度,一物體的動能等於該物體的重力勢能的大小時的該物體的速率。逃逸速度一般描述為擺脫一重力場的引力束縛飛離那重力場所需的最低速率。“逃逸速度”這一用語可以認為是用詞不當,因為它實際上是速率,而不是速度,亦即是說,它表示該物體必須運動得多快,卻與運動方向無關,除了不是移向那重力場。更術語地說,逃逸速度是標量,而非向量。
一個較輕的星球將會有較小的逃逸速度。逃逸速度還取決於離星球的中心有多遠:靠的越近,逃逸速度越大。
決定因素
逃逸速度逃逸速度取決與星球的質量。如果一個星球的質量大,其引力就強,逃逸速度值就高。反之一個較輕的星球將會有較小的逃逸速度。逃逸速度還取決於物體與星球中心的距離。距離越近,逃逸速度越大。地球的逃逸速度是16.7公里/秒,太陽的逃逸速度大約為每秒一百英里。如果一個天體的質量與表面引力很大,使得逃逸速度達到甚至超過了光速,該天體就是黑洞。黑洞的逃逸速度達30萬千米/秒。一般認為宇宙沒有邊界,說宇宙中的物質逃離到別的地方去這樣的問題沒有意義。因此,說宇宙的逃逸速度也似乎沒有意義。
不過,宇宙正在膨脹,即星系都在向遠處運動(相互遠離),這就存在這樣一個問題:如果宇宙的膨脹速度足夠大,星系就會克服宇宙的總引力而永遠膨脹下去。這就好像星系在逃離一樣。這裡,膨脹速度也就等同逃離速度了。當然,如果膨脹速度不夠大,膨脹終將停止,宇宙的總引力將會使星系相互靠近,就像飛離地球的物體再掉回來一樣。
因此,這樣來理解宇宙的逃逸速度,就成了一個很有意義的問題。宇宙是永遠膨脹還是轉而收縮,取決於膨脹速度和總引力的大小。由於膨脹速度可以測定,因而就取決於宇宙的總引力,實際上就是宇宙到底有多重。
從物理學界的普遍看法來講,宇宙源於一個奇點——也就是黑洞。而黑洞則是連光速運動的物體也無法逃脫的。光速是連續運動的速度極限,任何作連續運動的物體都無法超越光速。所以,宇宙是不存在逃逸速度的。
衛星的發射速度某星體的逃逸速度是逃脫該星體引力束縛的最低速度。
具有逃逸速度並不代表可以逃脫引力範圍(因為引力範圍無限)。逃逸速度只是數學上的一個計算極限。
逃脫引力束縛並不代表不受引力,它只代表物體不會再因為引力而無法到達更遠的地方。引力是一個長程單向力,無論距離引力源多遠,引力都不會消失。只是因為在距引力源足夠遠時,引力影響變得極弱,足以忽略不計。所以說,引力並沒有所謂的範圍,它無時無刻都在。
綜上,逃逸速度的計算與距引力源的距離無關,只與引力源的質量大小有關。
未知猜想:對上文說宇宙是在膨脹,其實我們不應當這么認為,因為我們沒有辦法觀察更大的宇宙範圍。我們所說的膨脹其實是看到我們所能夠看到的行星或星團在遠離我們的地球或太陽系或銀河系,因為我們住在地球上且地球屬於太陽系太陽系屬於銀河系,那么也就是說如果一個行星或星團只要在逃離銀河系,我們就會觀察到那個行星是在逃離地球、在逃離太陽系、在逃離銀河系,因為我們除了銀河系沒有再遠和大的參照物來對比,我們知道行星在作遠離我們地球或太陽系而去的運動,其實根本的原因我認為應當是由於太陽等恆星的燃燒導致自我質量的減輕,導致恆星本身的引力在減小,且由於這些恆星的燃燒粉塵最終會飄向其他行星無形中增加了行星的自我質量和引力,恆星的引力在減小而行星的質量引力在加大,那么行星只能會作遠離所屬恆星的遠離運動,所以我們所有能觀察到的所有星系的行星應當都在作一個緩慢的逃離所屬恆星的自我逃離的運動,直至恆星的熄滅,導致所屬行星的脫軌向其他的新型恆星系飛奔,而最終產生新的星系,這或許就像我們的人一樣,有新生有成長有滅亡,滅亡後我們的成分會在有限範圍里被重新組裝成新的物質,那么恆星滅亡,行星撞擊會產生巨大的能量從而導致瞬間的大爆炸,就像我們自己一直迷惑的大爆炸一樣,然後一切都在宇宙中生長。我認為銀河系也是在公轉,為什麼我們不能夠證明銀河系在公轉呢?大家想想看太陽系在圍繞銀河系自轉的同時公轉是2.26億年,通俗點講就是太陽抖的圈更大,想想看我們地球公轉一周1年,太陽公轉一周是2.26億年,翻了多少倍,那么銀河系的公轉周期年是我們無法想像的,或許我們的太陽系滅亡時她都沒有能轉一個周期。
猜想銀河系在公轉:我個人認為銀河系必然在公轉,我們所能看到的行星星團在做遠離太陽系運動,其實太陽系的行星在做遠離運動是由於太陽本身燃燒質量減輕引力減小導致的,而星雲及其他星團並非是在做遠離我們而去的運動,其他星團應當是在和銀河系一樣在公轉,那么我們銀鋼怎么確認其他像銀河系一樣的系在公轉,就像太陽一樣她有無數個行星,那么銀河系也會有無數個兄弟姐妹,他們也會像太陽系的八大行星一樣有各自的軌道,那么我們銀河系可能是最外圍或最內圍或中間圍,於是我們必然能夠觀察到我們的附近系,比銀河系遠的她的速度快,比銀河系近的她的速度慢,而且根據銀河系兩邊系的快慢從而確定我們銀河系的中心方向及外離方向。關鍵是我們人類共同努力記錄銀河系的運行軌跡數據的積累和研究,因為這個證明單單靠一代人二代人是無法完成的,要延續上百年。畢竟銀河系的公轉太久了
計算方法
一個質量為m的物體具有速度v,則它具有的動能為mv^2/2。假設無窮遠地方的引力勢能為零(應為物體距離地球無窮遠時,物體受到的引力勢能為零,所以這個假設是合理的),則距離地球距離為r的物體的勢能為-mar(a為該點物體的重力加速度,負號表示物體的勢能比無窮遠點的勢能小)。又因為地球對物體的引力可視為物體的重量,所以有
GmM/r^2=ma
即a=(GM)/r^2.
所以物體的勢能又可寫為-GmM/r,其中M為地球質量。設物體在地面的速度為V,地球半徑為R,則根據能量守恆定律可知,在地球表面物體動能與勢能之和等於在r處的動能與勢能之和,即
mV^2/2+(-GMm/R)=mv^2/2+(-GmM/r)。
當物體擺脫地球引力時,r可看作無窮大,引力勢能為零,則上式變為
mV^2/2-GmM/R=mv^2/2.
逃逸速度顯然,當v等於零時,所需的脫離速度V最小,即V=2GM/R開根號,
又因為
GMm/R^2=mg,
所以
V=2gR開根號,
另外,由上式可見脫離速度(第二宇宙速度)恰好等於第一宇宙速度的根號2倍。
其中g為地球表面的重力加速度,其值為9.8牛頓/千克。地球半徑R約為6370千米,從而最終得到地球的脫離速度為11.17千米/秒。
不同天體有不同的逃逸速度,脫離速度公式也同樣適用於其他天體。
宇宙速度分類
第一宇宙速度
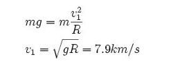
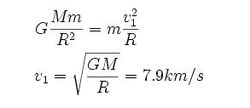
第一宇宙速度人類的航天活動,並不是一味地要逃離地球。特別是當前的套用太空飛行器,需要繞地球飛行,即讓太空飛行器作圓周運動。要作圓周運動,必須始終有一個力作用在太空飛行器上。其大小等於該太空飛行器運行線速度的平方乘以其質量再除以公轉半徑,即F=mv2/R,其中v2/R是物體作圓周運動的向心加速度。在這裡,正好可以利用地球的引力,在合適的軌道半徑和速度下,地球對物體的引力,正好等於物體作圓周運動的向心力。第一宇宙速度又稱環繞速度。實際上,地球表面存在稠密的大氣層,太空飛行器不可能貼近地球表面作圓周運動,必需在150千米的飛行高度上,才能繞地球作圓周運動。在此高度下的環繞速度為7.9千米/秒。
第一宇宙速度第二宇宙速度
第二宇宙速度又稱為脫離速度,指物體完全擺脫地球引力束縛,飛離地球的所需要的最小初始速度。同樣,由於地球表面稠密的大氣層,太空飛行器難以這樣高的初始速度起飛,實際上,太空飛行器是先離開大氣層,再加速完成脫離的(例如先抵達近地軌道,再在該軌道加速)。在這高度下,太空飛行器的脫離速度較小,約為11.2千米/秒。
第三宇宙速度
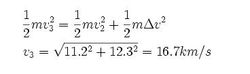
第三宇宙速度第三宇宙速度又稱為逃逸速度,是指在地球上發射的物體擺脫太陽引力束縛,飛出太陽系所需的最小初始速度。本來,在地球軌道上,要脫離太陽引力所需的初始速度為42.1千米/秒,但地球繞太陽公轉時令地面所有物體已具有29.8千米/秒的初始速度,故此若沿地球公轉方向發射,只需在脫離地球引力以外額外再加上12.3千米/秒的速度,本來逃逸速度是一個無方向概念,但第三宇宙速度由於要藉助地球公轉的初始速度,所以額外疊加的12.3千米/秒的速度方向應與地球公轉速度方向相同。
第四宇宙速度
第四宇宙速度是指在地球上發射的物體擺脫銀河系引力束縛,飛出銀河系所需的最小初始速度。但由於人們尚未知道銀河系的準確大小與質量,因此只能粗略估算,其數值在110~120千米/秒之間。而實際上,仍然沒有太空飛行器能夠達到這個速度。
宇宙速度的概念也可套用於在其他天體發射太空飛行器的情況。例如計算火星的環繞速度和逃逸速度,只需要把公式中的M、R、g換成火星的質量、半徑、表面重力加速度即可。

