幾何
六維多胞形
在六維空間中的多胞形都稱為六維多胞形。 最常見的是正多胞形,而這些正多胞形在六維空間中只有三個:六維單純形,六維超方形,六維正軸形。而更廣義的類型是六維均勻多胞形,是由反射的基本對稱群構造出的,每一個域由考斯特群定義。 每一個均勻多胞形是由一個環形考斯特-丁肯圖定義的。六維半超方形是一個D6家族中的一個特殊多胞形,而2以及1則是屬於E6家族。
五維球面
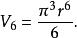
一個五維球面,或是一顆六維球體,是一個從五維曲面到中心點皆等距的超球體。它的符號為S,而關於五維球面的方程式,設半徑為 r,其超球心為
六維空間[時空假設]而這個五維球面在六維空間的體積是
六維空間[時空假設]也就是5.16771 × r,而一個六維超立方體中最大的內接六維超球大約等同於該六維超立方體的0.0807倍。
六維球面
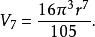
六維球面,或是七維空間的超球體, 是一個從六維曲面到中心點皆等距的超球體。它的符號為S,而關於六維球面的方程式,設半徑為 r,其超球心為
六維空間[時空假設]而這個六維球面在七維空間的體積是
六維空間[時空假設]也就是4.74277 × r,而一個七維超立方體中最大的內接七維超球大約等同於該七維超立方體的0.0369倍。
套用
三維變換
在三維空間中,一個硬性變換有著六自由度, 三個沿著三個座標軸和三個鏇轉群的平移。 通常這些變換被單獨處理,因為它們具有非常不同的幾何結構, 而處理它們的方式為將它們視為單個六維對象。
螺桿理論
在螺桿理論中,角速度和線速度被結合成一個六維的單一物體,稱為 纏結。一個稱為 扭結的類似物體結合了六維空間中的力以及力矩。 這些可以被視為在改變參考系時線性變換的六維向量。變換以及鏇轉並不能以這樣的方式操作,而是與冪的扭曲有關。
相空間
相空間是由粒子的位置和動量構成的空間,其可以在相圖中一起繪製以突出量之間的關係。在三維中移動的一般粒子具有六維的相位空間,繪圖將會太多,但他們可以在數學上分析。
四維空間中
在四維空間中的鏇轉組,SO(4),有著六自由度。 想像此鏇轉可透過考慮將4 × 4 的矩陣代表為一個鏇轉:作為一個正交矩陣的話,這個矩陣就被確定了。 直到符號的改變,例如主要對角線上方的六個元素。但這個群不是線向的,並且比其他的構造複雜了許多。
另一種觀察這個群的方式是用四元數乘法表,每一個四維空間中的鏇轉可以通過乘以一對單位的四元數來實現,一個在向量之前而一個在後。這些四元數是獨特的,直到它們的符號改變,並且當以這種方式使用時產生所有鏇轉, 所以乘積的群,S× S,是一個SO(4)的雙重複疊且必須要有六個維度。
即使我們所居住的空間被認為是三維的,仍然對於四維空間有著實際套用。四元數,其中一種方式是在三維空間中描述其鏇轉,由四維空間組成。四元數之間的鏇轉,例如用於內插,位於四維空間內。有著三個空間維度以及一個時間維度的時空也是四維的,即使和歐幾里得空間有著不同的結構。
電磁學
在電磁學中,電磁場通常被認為是由兩件事情組成電場和磁場。 它們皆屬於三維空間中的向量場,通過馬克士威方程組而互相關聯。第二種方法是將它們組合為單個物體,即六維電磁張量一個張量或雙重向量的值表示電磁場。 使用這個麥克斯韋方程可以從四個方程壓縮成一個特別緊湊的單一方程:
六維空間[時空假設]其中 F是電磁張量的雙重向量形式, J是四維電流密度,而∂是一個合適的微分運算元。
弦理論
在物理學中,弦理論的內容是嘗試使用一個單一的數學模型來描述廣義相對論以及量子力學。 雖然是一個試圖模擬我們的宇宙,它發生在一個空間比我們熟悉的四個空間時間更多的維度。特別地,許多弦理論發生在十維空間中,加上一個額外的六維空間。 這些額外的維度是理論所需要的,但是因為它們不能被觀察到被認為是相當不同,也許緊化以與特定的幾何形狀形成的六維空間太小而不能觀察到。
自從1997年,其他弦理論學者開始針對於六維空間進行研究。小型弦理論屬於五維空間以及六維空間的非引力弦理論,是在考慮十維空間為弦理論的極限時出現的。
理論背景
四維空間中
許多上述套用可以通過考慮四維中的實數六維二重向量而在代數上彼此相關。 它們可以對於歐幾里德空間中的二重向量集而被寫成Λℝ,或是對於時空中的二重向量集而被寫成Λℝ。普呂克座標是ℝ中的二重向量,而前面討論的電磁張量是ℝ中的一個二重向量。 二重向量可以用於透過指數圖生成ℝ或是ℝ中的鏇轉(例如,套用Λℝ中所有二重向量的指數圖生成ℝ中的所有鏇轉)。 它們也可以透過齊次坐標而與三維空間中的普通變換相關,其可以被認為是ℝ中的修改鏇轉。
雙重向量由四個向量對之間的所有可能的外代數的和產生。因此,它們具有 C42=6個組件,並且可以最通用地寫成
六維空間[時空假設]它們是第一個不能全部由向量對的乘積產生的二重向量。 它們可以是簡單二重向量,而由他們所生成的鏇轉則是單鏇轉。 而其他在四維空間中的鏇轉則是雙鏇轉,而等斜鏇轉]並且對應於不能由單個外代數產生的非簡單二重向量。
六維向量空間
六維向量空間是六維歐幾里得空間的向量。 就像其他的向量如線性,可以像其他維度一樣被減去和縮放。在高維度中向量的維度不是使用字母,更高的維度通常使用後綴來指定維度,所以一般的六維向量空間可以被記做 a= (a, a, a, a, a, a)。如這樣表示時,六個基向量維(1, 0, 0, 0, 0, 0),(0, 1, 0, 0, 0, 0),(0, 0, 1, 0, 0, 0),(0, 0, 0, 1, 0, 0),(0, 0, 0, 0, 1, 0),(0, 0, 0, 0, 0, 1).
在向量運算符中,向量積不能在六個維度中使用;而是兩個六維向量的外代數導致具有15個維度的二重向量。 兩個向量的數量積是
六維空間[時空假設]它可以用來找出兩個向量之間的角度和範數,
六維空間[時空假設]這可以用於例如計算六維立方體的對角線;其中一個角在原點,邊緣與軸線對齊,而邊長為1,相對的角在(1, 1, 1, 1, 1, 1), 而範數是
六維空間[時空假設]這是6維立方體的對角線的矢量的長度。
吉布斯向量
在1901年,約西亞·威拉德·吉布斯發表了一個在包括六維向量空間上具有影響力的研究,他稱為 "二重向量"。它由單個物體中的兩個三維向量組成,他曾經用以描述三維中的有限空間。 它已經失去使用,因為其他技術已經發展,而名稱"雙重向量"現在與幾何代數更緊密相關。
理論提出
多一條時間軸
圖1:空間維度每當物理學家往自己設計的宇宙中添加維度時,他們添加的基本上都是空間維度,讓空間中的物體可以自由地移動。但其實,如果宇宙可以具有更多的維度,那多增加一條時間維度是否也可能呢?
許多物理學家反對這種想法,因為如果宇宙中有更多的時間維度,物體就可以藉助其他的時間維度,在我們已知的一維時間中穿來穿去,一會出現在我們身邊,馬上又會出現在數億光年外的其他星球,這等於是超越了光速的極限,甚至回到過去的時間旅行都可以實現了。至少在我們的宇宙中,時間旅行並沒有發生,因此多維時間也許僅僅是構想,而不是現實。
但是在1995年,美國科學家提出了一個叫做M論的理論,統一了當時的各種弦理論。在H論中,可以具有二維的時間。不過科學家補充說,即使宇宙中具有了二維時間,這樣的宇宙中也無法實現時間旅行。 在H論中,宇宙是11維的。在稍微低一些的維度時空中,是否也可能有多維時間呢?從理論上講,在我們的四維時空中增加一個時間維度,就必須相應地也增加一個空間維度,以平衡結構。這樣形成的六維宇宙其實和我們生活的四維宇宙的結構很相似,只是在六維的世界中,會包括許多四維宇宙的投影,而我們所熟悉的物理學定律到了那裡,也不適用了。
有科學家稱,生活在三維空間和時間中的人類至今不知還有另外六個空間維度。威斯康星大學麥迪遜分校的一位物理學家尋找到了觀察六維空間的靈感。他提出的觀察六維形狀的方法被發表在《物理評論快報》上。
圖2:六維空間除了四維時空,另有六個人類未知的空間維度。我們都知道,自己生活在三維空間之中,如果加上時間,那么是四維時空。可有科學家稱,還有另外六個空間維度是人類至今不知的。
來自2007年2月2日的《物理評論快報》的一則訊息稱:威斯康星大學麥迪遜分校的一位物理學家從太空中尋找靈感,提出了這樣的一個假設,在物理學“弦論”的基礎下,人類的世界並不完整。
這無疑像一顆重磅炸彈落在物理學界。如果真的有六維空間存在,那么愛因斯坦的“相對論”就顯示了其理論自身的不完善。對於人類而言,我們習慣了三維空間的概念,如何能想像和接受六維空間?這神秘的六維幾何體到底是怎么樣的形狀?難以捉摸的六維空間確實存在嗎?
看不見的原因
中國科學院理論物理所朱傳界教授告訴記者,“宇宙應該是十維的”是根據一種超弦理論的論證,科學家通過數學方程計算得出的結論。就而言,人們只了解一維直線、二維平面、三維空間以及愛因斯坦提及的“四維時空”概念。除此之外,“超弦理論”預測還應該存在另外六個人類未知的空間維度。朱教授以水管為例說,當人們站在這根水管的正面看時,水管就是一條直線,我們就只看到了它的前後,它就是一維的。當人們站在一個平面里,看這根水管,就能看到水管的上下左右,那么人們就看到了它就是二維的。當人們在一個立體的空間裡看這個水管,它的前後、左右、上下都收納在我們的眼中,那么它就是三維的。
可如果人們把這根水管放在兩維的平面中,然後又把這個兩維的平面放在三維空間中,那么會是什麼樣的呢?於是,科學家把水管想像成像一根頭髮絲那樣細。科學家認為,六個“隱藏”的空間維度,以極其微小的幾何形狀,捲曲在我們宇宙的每一個點中。這種觀察六維形狀的方法之所以被發表在《物理評論快報》上,是因為這種方法能證明通過實驗數據來觀察這些難以捉摸的維度形狀特徵是可行的。同時,六維空間的存在也是證實“超弦理論”的主要方面。
觀點交鋒
從廣袤星繫到亞原子微粒,“超弦理論”囊括了所有物體的物理學規律。幾十年來,關於“超弦理論”,很多科學家都爭論不休,贊同的、反對的,各種聲音都有。
支持者
沒有一個意見能夠反駁
不少超弦理論的擁護者表示,還沒有一個持反對意見者能駁倒它。一旦驗證“超弦理論”是正確的,那么人們就能通過解密它們對130億年前宇宙大爆炸釋放的宇宙能有所了解,藉助時間機器,穿越黑洞後,“看見”神秘的六維幾何體。
“不過,你也不用為看不見十維的世界而感到擔憂。”威斯康星大學麥迪遜分校的這位物理學家說,“因為我們的大腦習慣於只是三維的空間,而對於其他六維空間結構卻很難感知。雖然科學家們利用計算機模擬出了類似的六維幾何體,但沒有人能夠確切地知道他們的形狀到底是怎么樣的。”
他說,“我們的想法就是回到那個時候看看到底發生了什麼事情,當然我們不可能真的回去。”
很多科幻愛好者都夢想著搭乘時間機器遨遊時空,有些科學家也嘗試著用最新的原理來證明時間旅行的可行性,也試著用“超弦理論”來討論它。
因為缺少必要的時間機器,他們使用了另外一個最好的東西,一幅宇宙大爆炸釋放的宇宙能量圖。這種爆炸釋放的能量在隨後的130億年里其實都沒有發生變化,它可以被衛星捕捉到,比如美國的威爾金森微波各向異性探測器。通過繪製出宇宙能量圖可以幫助人類對宇宙的雛形有一個大概的印象。
反對者
六維 空間僅是人為想像
“對超弦理論,我不感興趣。”記者在採訪中國科學院院士何祚庥時,他明確表示,這僅僅是人為的想像推斷,根本沒有討論的必要和研究價值。
“我個人反對弦論研究者用這樣肯定的口氣說話。也許我們真的掌握了部分真理,也許我們一直以來僅僅是研究一個針尖上能有多少天使跳舞。”中國科學院理論物理所研究員李淼在其個人部落格這樣說道。
![六維空間[時空假設] 六維空間[時空假設]](/img/6/a60/nBnauM3X1QDO0IDM2ADOxIDN0UTMyITNykTO0EDMwAjMwUzLwgzL3QzLt92YucmbvRWdo5Cd0FmLyE2LvoDc0RHa.jpg)
