簡介
重力加速度:
地球引力g=9.80665m/s^2
由於月球的質量+地球的質量!加速度也與地球的轉動速度有關!
牛頓(Isaac Newton)最早發現了地球引力,且與萬有引力有 關。艾薩克·牛頓,英國著名科學家。(牛頓)
牛頓FRS(Sir Isaac Newton,1642年12月25日-1727年3月31日)是一位英格蘭物理學家、數學家、天文學家、自然哲學家和鍊金術士。他在1687年發表的論文《自然哲學的數學原理》里,對萬有引力和三大運動定律進行了描述。這些描述奠定了此後三個世紀裡物理世界的科學觀點,並成為了現代工程學的基礎。他通過論證克卜勒行星運動定律與他的引力理論間的一致性,展示了地面物體與天體的運動都遵循著相同的自然定律;從而消除了對太陽中心說的最後一絲疑慮,並推動了科學革命。牛頓是經典力學理論的集大成者。他系統的總結了伽利略、克卜勒和惠更斯等人的工作,得到了著名的萬有引力定律和牛頓運動三定律。在牛頓以前,天文學是最顯赫的學科。但是為什麼行星一定按照一定規律圍繞太陽運行?天文學家無法圓滿解釋這個問題。萬有引力的發現說明,天上星體運動和地面上物體運動都受到同樣的規律——力學規律的支配。
早在牛頓發現萬有引力定律以前,已經有許多科學家嚴肅認真的考慮過這個問題。比如克卜勒就認識到,要維持行星沿橢圓軌道運動必定有一種力在起作用,他認為這種力類似磁力,就像磁石吸鐵一樣。1659年,惠更斯從研究擺的運動中發現,保持物體沿圓周軌道運動需要一種向心力。胡克等人認為是引力,並且試圖推到引力和距離的關係。1664年,胡克發現彗星靠近太陽時軌道彎曲是因為太陽引力作用的結果;1673年,惠更斯推導出向心力定律;1679年,胡克和哈雷從向心力定律和克卜勒第三定律,推導出維持行星運動的萬有引力和距離的平方成反比。
牛頓自己回憶,1666年前後,他在老家居住的時候已經考慮過萬有引力的問題。最有名的一個說法是:在假期里,牛頓常常在花園裡小坐片刻。有一次,象以往屢次發生的那樣,一個蘋果從樹上掉了下來。
一個蘋果的偶然落地,卻是人類思想史的一個轉折點,它使那個坐在花園裡的人的頭腦開了竅,引起他的沉思:究竟是什麼原因使一切物體都受到差不多總是朝向地心的吸引呢。牛頓思索著。終於,他發現了對人類具有劃時代意義的萬有引力。牛頓高明的地方就在於他解決了胡克等人沒有能夠解決的數學論證問題。1679年,胡克曾經寫信問牛頓,能不能根據向心力定律和引力同距離的平方成反比的定律,來證明行星沿橢圓軌道運動。牛頓沒有回答這個問題。1685年,哈雷登門拜訪牛頓時,牛頓已經發現了萬有引力定律:兩個物體之間有引力,引力和距離的平方成反比,和兩個物體質量的乘積成正比。當時已經有了地球半徑、日地距離等精確的數據可以供計算使用。牛頓向哈雷證明地球的引力是使月亮圍繞地球運動的向心力,也證明了在太陽引力作用下,行星運動符合克卜勒運動三定律。在哈雷的敦促下,1686年底,牛頓寫成劃時代的偉大著作《自然哲學的數學原理》一書。皇家學會經費不足,出不了這本書,後來靠了哈雷的資助,這部科學史上最偉大的著作之一才能夠在1687年出版。
牛頓在這部書中,從力學的基本概念(質量、動量、慣性、力)和基本定律(運動三定律)出發,運用他所發明的微積分這一銳利的數學工具,不但從數學上論證了萬有引力定律,而且把經典力學確立為完整而嚴密的體系,把天體力學和地面上的物體力學統一起來,實現了物理學史上第一次大的綜合。
形成原因
地球引力假如地球表面完全為自由流動的液態水所覆蓋,那么這種液體水的表面呈現一個扁球體,在兩極稍平,而在赤道膨脹,這在前邊已經作了簡要的敘述。這個理想的形狀,稱為地球體,它將完美地同全部的重力、轉動力相平衡。牛頓定律對於引力的表達是重力遵循的基礎。眾所周知,該定律的基本表述為:m1與m2這兩個質點之間的引力,正比於二者質量的乘積,反比於這兩個質點中心之間距離的平方,如果說此處的F為作用在m2上的力,那么R1為從m1指向m2的單位向量,r是m1與m2之間的距離,而A是萬物有引力常數。加上負號表示著力是互相吸引的。
很明顯,引力是存在於自然界中強度最小的相互作用力。最近還發現,A的數值也不是常數,而是隨著時間有緩慢的減少。它的這種變化,是由許多原因造成的,其中之一被認為是由於地球半徑隨著時間而增加,這樣反過來,又必將對地球的發展歷史帶來深刻的影響。可是,所得出的A值變化速率是如此之小,以至於它在整個地球演化過程中,即在幾十億年的時間內,其變化速率只大約為1%,所以在實際套用上並無什麼真正的價值。
由於地球(假定為m1)這個巨大質量的存在,使得m2所產生的加速度,稱做重力加速度。它最早是被伽利略在義大利的比薩斜塔上測定的。在地球表面上這個數值一般定為980厘米/秒2,通常又將1厘米/秒2稱為“伽”(gal),用以紀念這位偉大的科學家。重力場是守恆的,也就是說在重力場中,移動一個物體所做的功,獨立於它所經過的路徑,而僅僅取決於它的終點。事實上,假如該質量最終轉到它原來出發時所處的位置時,其淨能量的消耗等於0,而不管它在其間所走過的道路是什麼。這在自然地理面中,是可以很輕易得到證明的。尋常所見的水分循環,就是一個很好的說明重力守恆的例子。一滴水從海洋面上被蒸發,克服重力,進入大氣,這是外界做功的結果。待它由空中重新回歸到海洋時(而不管它是直接落入海洋,還是被運送到幾千公里之外,又隨著河川逕流回到海洋來的),放出了原先克服重力時的那部分功,遵循著重力守恆,使得淨能量的消耗等於0。類似的例子,在地表面是很多的。另外一種對重力守恆的表達方式就是:動能和勢能之和在一個封閉體系中為一常數,這涉及到動能與勢能的互相轉化,也是我們要經常使用的一個規律。同時要記住引力是一個向量,它的方向是沿著地球的質量中心與另外一個物體質量中心的連線,這在進行向量分析時,是極為有用的。地球表面的重力大小,一般來說與五個因素有關,它們是地理緯度、海拔高度、周圍地體的地形、地球潮汐與地表以下物質的密度。這最後一個因子,僅僅在進行重力測量中才有價值,一般情況下它對重力變化的影響,要比前四個因子的聯合效應小的多。例如,從赤道到兩極,重力隨著緯度變化的數量大約為5伽,而油田勘探中的較大重力異常是10毫伽,只相當於上述數字的1/500。在1930年,國際大地測量和地球物理協會採用了一個公式,給出了在地球這個橢球體上任意一點的重力加速度為:
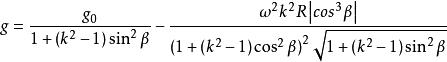
g=g0(1+αsin2Φ+βsin22Φ) (5.9) g——重力加速度;g0——在赤道上的重力加速度,它等於978.0490厘米/秒2;Φ——緯度,常數α及β分別是0.0052884和-0.0000059。自從1930年以來,由於在重力測量中獲取了大量的資料,特別是通過人造地球衛星的準確測定,上式中的常數已經有了進一步的改動。
地球引力從自然地理學的角度來看,我們的著眼點不在於尋求計算重力或進行訂正的準確公式,而在於利用這種重力分析的基本原理,闡述物質在進入自然地理面和輸出到環境時的受力狀況,在這些受力當中,重力是特別應當考慮的一項。舉凡地形的改變、物質的搬運和堆積、氣團的運動、水分的循環、生物的生長,甚至於地球物質的調整等,離開了重力的分析,就不可能得出正確的結果。前面已經講過,重力最為明顯的表達,一般都在地球固體表面之上。在其下並非重力消失了,只是不容易有如固體表面之上那樣明顯地看出來罷了,此外作為研究的對象來說,我們亦不去特別關注地層深處的重力狀況,而只接受它所帶來的對地表造成的後果。進而看到,在海平面之上陸地面積約占全球總表面積的29%,以雨和雪降下來的水,必然經受重力的作用回歸到海洋中去。這樣,每一次落到地表上的降水,都具有比例於本身質量和海平面以上高度的乘積,這樣數值的能量,這就是它所具的勢能。在陸地地表,亦有個別的點低于海平面,例如我國的吐魯番盆地,美國加利福尼亞的死谷等,它們之所以能在陸面上保持這種例外的情況,一是由於其面積小,二是由於這些盆地均處於乾旱區,很少有降水發生。假如把它們移到濕潤地區,這種低于海平面的狀況決不會保持很久,在重力的參與下,很快就要被水充滿或被水所帶來的風化物質填注,以補足海平面在全球延伸中的“漏洞”。重力在自然地理面中的表現,既平常又深刻,對此應有充分的認識,現粗略地討論一下重力在改造地表形態上的作用。陸地表面由於風化作用而造成的鬆散物質,在一定的條件下,由於力的作用是要移動的。
無論是從高處到低處的滾動、滑落、崩塌,還是通過河流的輸運,風的挾帶等,其中一個極重要的因素就是重力的參與。我們以一個在坡面上運動的岩塊為例,簡要分析一下重力的作用。由分析得知,重力的一個分力,即岩塊向下滑動的力,比例於所處坡度的正弦,當然還取決於這個坡面的摩擦係數。一克重的岩塊在坡度為45°時,向下滑動的分力為0.7克;而當該坡度等於60°時,這個分力將增加到0.87克(如圖5.5)。由於摩擦係數很少有大於1的狀況,因此單憑摩擦係數的阻抗,在坡度大於45°時,將支持不住重力所引起的向下滑動的分力。事實上,比40°更為陡峭的自然坡度在全球是很少見的,因為如果有超出40°的角度時,重力作用將比較迅速地對此加以改變,由此可以看出重力改變地表形態的作用來。
在討論地球重力的同時,我們對於其它星體產生的類似於地球引力的作用力,也要加以必要的重視。最主要的就是月亮和太陽對地球的引力。
地球引力月亮和地球的距離很近,約等於三十個地球的直徑,根據萬有引力定律,引力與距離的平方成反比,因而儘管月球的質量不算太大,但對於地球上各個質點的引力卻相對的要大一些。太陽的質量很大,約等於二千億億億噸,是地球質量的三十三萬倍,但由於地球與太陽之間的距離太遠,是月球—地球之間距離的四百倍,因此,它對地球的引力,只是月球對地球引力的46%。所以,地球上的潮汐現象是太陽和月亮二者作用力的合成,這裡我們只需了解月亮的引力作用比太陽更大這一點就夠了。地球的質量是月球的81.5倍,因此月—地系統的公共質量中心,必然大大地偏向於地球一側,大約在距地心0.73倍地球半徑的地方,兩個球體每月繞著這個共同的質量中心轉動。月球對於地球的引潮力固然重要,但這個引潮力的數量值卻並不太大,只相當於地球重力的千萬分之一。對於地球上一個10噸重的物體來說(即重力等於10噸),其引潮力僅有1克。這樣小的力,人通常是感覺不出來的。但地球對這種不大的引潮力,反應卻十分明顯。很早以前,就發現海水在一日內有規律的漲落(潮汐)與月球有密切關係。此外,地球不是一個剛體,一般都認為它是一個具有彈性的球體,對於具這樣一種特性的球體,在引潮力的作用下,地球的固體岩石地殼也會產生“潮汐”現象,叫做固體潮,每天都要升降達30厘米左右。當然地球對月球的引潮力更大,它使得月殼突起和下落的幅度達到3公里左右。與此同時,地球上的大氣,也因為這種引潮力,每天都產生著“大氣潮汐”。至於海洋這個龐大的水體,其上的潮汐現象就更為明顯了,加拿大東海岸的芬地灣蒙克頓港,最大潮差達19.6米,堪稱世界前茅。我國錢塘江口的最大潮差記錄為8.9米,當然各個地方由於所處位置及周圍環境的不同,潮差也是不相同的。月球和太陽的引力在塑造陸地表面的地形方面,也是一個具有一定意義的因素。康德在1775年,曾率先提出把漲潮作為改變地球旋轉速度的一個因素。近年來,在探討關於地震的預測預報中,也有人把潮汐力作為一個對地震起因的觸發因子。此外,對於自然地理來說,更為明顯的則是潮汐對於海陸交界處地形的變更作用,對於岸線的影響作用,以及對於波浪運動的作用等
引力解讀
強弱分布
地球引力如果考慮地球的自轉等因素,兩極引力強,赤道引力最弱,這也是為什麼衛星發射中心的緯度都很低的原因。不加證明,我們可以給出一個定理,就是地球引力是連續變化的,這是顯然的。然後,地心的引力為0,無窮遠處引力為0,因此可以證明存在一個地球引力最大值的地方,這個位置在哪裡呢,在萬有引力除去自轉離心力作用最大得地方,就是兩極的金屬礦上。北極是冰雪覆蓋的一片汪洋大海地表沒有礦藏,所以這個引力最大的位置就是南極查爾斯王子山脈南部的魯克爾山北部的特大磁鐵礦上。至於地球上哪裡引力最弱,這個從上面推導中可以看出,只有地球表面才有“引力最弱的地方”這個概念,那就是赤道海洋表面,然而這個引力最小點的位置隨著月球的潮汐引力而不斷移動著,繞著地球不斷的跑。如果把問題放寬到整個地球,那么引力最弱的地方在地心,那裡的引力為0 。地球引力可能會消失。英國《觀察家報》報導:科學家發現,保護我們免受外太空致命輻射傷害的地球磁場正迅速減弱,甚至可能消失,預示南北極即將易位。屆時,平常無法觸及大氣層的強大輻射爆發將令地球急劇升溫,造成災難。是南北兩極移位的先兆,巴黎地球物理研究所科學家於洛更發現,最近兩極附近的磁場消失速度特別驚人,明確顯示兩極即將易位,南極變北極,北極變南極。相關研究
地球磁場可能會消失
據愛丁堡英國地質勘探局湯姆森博士稱,此前地球磁場已曾多次消失,是南北兩極易位的先兆,大概每22萬年便會出現一次,但最近已有近100萬年沒有發生,所以隨時會再出現。
於洛根據人造衛星過去廿年錄得的磁場變化數據,發現在地下深層產生地球引力的熔流,在接近南北極位置出現巨大旋渦,並以加強磁場逆轉的方向轉動,因而削弱現有磁場,最終將導致兩極易位。
推導公式
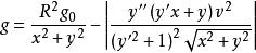
可以把地球引力分布看成連續函式,由於曲線運動存在向心力,運動是引力必須減去向心力在引力方向上的分量
由曲線曲率公式可以計算出這個分量
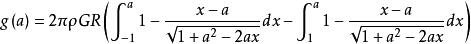
地球引力[科學術語]計算結果為:k=0.996719699333472為短長軸比,ω=7.292115*10^-5,go=9.78049,R為長軸,β為緯度
地球引力[科學術語]以下是360度引力,重力分布對照圖:重力公式此處未給出,引力自旋效應,重力自旋效應是不同的概念,此處是引力效應分布。。。。
本公式是橢球體理論地球引力模型,當然實際可能存在誤差
地球引力[科學術語]計算公式
地球引力[科學術語]積分結果為:
地球引力[科學術語]a=x/R
實際引力必須乘以實際相對密度來調整.以下是調整後的模型引力圖
地球引力[科學術語]磁場消失的影響和應對
地球引力其間磁場會出現短暫消失,屆時將造成的破壞現時仍難以預料。不過最少人類射到太空的人造衛星都會因電磁紊亂而毀壞;靠偵測磁場變化本能而遷 徙的候鳥和移居動物亦會不知所措。而對人類來說,太陽粒子風暴擾亂大氣層,將令高層大氣升溫,為氣候帶來無法預知的轉變。這將在何時發生亦難以估計。據分析古代熔岩得出的結果顯示,在過往同類事件中,磁場減弱的情況可以延續數千年。但同時有其他研究員卻稱,兩極易位有時只需數周。而更可怕的是,人類暫時都沒有解決或應對方法。地質學家及古生物學家發現,地球古代生物之突變與地磁反極有密切關係。例如中生代恐龍之突然出現及消滅,新生代哺乳動物之突然出現,以及有些有孔蟲在幾百萬年前之突然全部滅種,都與地磁反極之時間完全符合。雖然詳細之情形還不大清楚,但在地磁反極發生過程中,一定有一段時期是無地球磁場的,而此種沒有地球磁場的情況可能對生物之演化有極大影響,使其消滅或突變。
地球偶極子主磁場並不固定,根據百多年來的紀錄並理論上的分析,我們發現主磁場會漸漸減少,以至完全消失。然後變成相反的極位,即磁北極變成磁南極,磁南極變成磁北了!這種南北極周期性的變換,可由岩磁研究之結果中得到證明。目前的資料顯示,地球主磁場平均每22萬年反極一次,而最近之反極系發生在70萬年前,這表示第一次地球主磁場之反極似乎早就該來臨了。如果考慮地球的自轉等因素,兩極引力強,赤道引力最弱,這也是為什麼衛星發射中心的緯度都很低的原因.。不加證明,我們可以給出一個定理,就是地球引力是連續變化的,這是顯然的。然後,地心的引力為0,無窮遠處引力為0,因此可以證明存在一個地球引力最大值的地方,這個位置在哪裡呢,在萬有引力除去自轉離心力作用最大得地方,就是兩極的金屬礦上。北極是冰雪覆蓋的一片汪洋大海地表沒有礦藏,所以這個引力最大的位置就是南極 查爾斯王子山脈南部的魯克爾山北部的特大磁鐵礦上。
擺脫引力
地球引力自古以來,人類就用種種美麗的飛天神話和傳說來寄託遨遊環宇的夢想。人類為什麼不能飛離地面呢?是缺少一對翅膀么?但是,許多勇敢者模仿鳥類用人造翅膀飛行的嘗試都失敗了。理論研究證明,由於生理上的局限,人類永遠不可能用肌肉的力量在空中支持自身的重量。1686年,牛頓揭開了這團迷霧。他在這年發表的《自然哲學數學原理》一書中指出,任何兩個物體間都有相互吸引力,由此創建了萬有引力定律,即引力的大小跟它們的質量成正比,跟它們之間的距離的平方成反比。由於人與地球質量相差太懸殊,所以人總是被地球強大的引力所束縛而不能離開地面。現在問題已經明朗了,要離開地面,就要克服地球引力。但如何才能克服地球引力呢?要使一個物體離開地球,必須沿著地球引力相反的方向(即向上)對它加力,使它作加速運動,當它達到一定速度時停止加力,它就能以慣性一直向前脫離地球。這個速度可通過地球的質量和物體與地心的距離計算出來。物體在地球表面上(即距離為地球的半徑)飛行時,這個速度為11.2千米/秒,叫做脫離速度或逃逸速度——是速度戰勝了引力。
地球引力物體達到11.2千米/秒的運動速度時能擺脫地球引力的束縛,在擺脫地球束縛的過程中,物體在地球引力的作用下並不是直線飛離地球,而是按拋物線飛行。脫離地球引力以後在太陽引力作用下繞太陽運行,若要擺脫太陽引力的束縛飛出太陽系,物體的運動速度必須達到16.7千米/秒。那時將按雙曲線軌跡飛離地球,而相對太陽來說它將沿拋物線飛離太陽。人類的航天活動,並不是一味地要飛離地球,當前的套用太空飛行器,需要繞地球飛行,即讓太空飛行器作圓周運動。我們知道,物體作曲線運動時會產生離心力。因此,要讓太空飛行器作圓周運動,必須始終有一個與離心力大小相等、方向相反的力作用在太空飛行器上。在這裡,我們正好可以利用地球的引力。因為地球對物體的引力,正好與物體作曲線運動的離心力方向相反。經過計算,在地面上,物體的運動速度達到7.9千米/秒時,它所產生的離心力,正好與地球對它的引力相等。這個速度被稱為環繞速度。上述使物體繞地球作圓周運動的速度被稱為第一宇宙速度;擺脫地球引力束縛,飛離地球的速度叫第二宇宙速度;而擺脫太陽引力束縛,飛出太陽系的速度叫第三宇宙度。根據萬有引力定律,兩個物體之間引力的大小與它們的距離平方成反比。因此,物體離地球中心的距離不同,其環繞速度(第一宇宙速度)和脫離速度(第二宇宙速度)有不同的數值。那么,太空飛行器能否在200千米以下繞地球飛行呢?理論上不僅太空飛行器可以,而且汽車、火車和飛機,都能以慣性繞地球運行。但實際上不僅汽車、火車、和飛機不行,太空飛行器也不可能,因為那裡有較濃密的大氣,大氣阻力會降低太空飛行器的運行速度。速度降低意味著離心力減小,太空飛行器就會在地球引力作用下,沿螺旋線軌跡落向地球。若要維持宇宙速度,則需要攜帶大量燃料來產生動力,以連續的動力來克服空氣阻力。不靠慣性飛行,而靠動力飛行,這就與航空器沒有區別了。而且,如果太空飛行器高速在稠密大氣層中飛行,氣動加熱帶來的一系列問題是非常難以解決的。為解決這些問題,勢必大大增加太空飛行器的質量,這就又要求運載火箭有更高的運載能力,從而使成本極大地增加。
引力套用
亮點
引力能的前沿科學即是現引力能套用的空白區之學說與技術,本A型是仿造球體位能效應中結構重力位能、引力轉換功能的發明產品已獲國家專利授權,本文旨在將其原理公布普及,讓市場評判,需求促進技術發展,加快應對能源和環境雙重危機的技術創新。
內容
專利產品(重力降能耗槓桿)原理
a、發明槓桿結構原理:它是仿造球體重量懸空位能結構,將槓桿重力點懸空在槓桿支點之上,再用連線桿與桿桿力臂上的作用力點反向共點連線。公知普通槓桿的重力點是在重力臂的一端,其重力也就無位能可言,但發明槓桿無重力臂,重力為懸空點,所以,槓桿重力也就實現了類似球體結構位能,即實現了將槓桿上本無位能的重力因懸空而具有了位能,這就是它的結構原理。
b、發明槓桿的功能技術原理:其功能技術為力系疊加作功原理,因為重力點懸空與作用力點反向共點連線,但此力系不共線,屬工程力學中的共點力系,按力的平行四邊形法則,重力點與作用點兩力共點不共線則必有一個合力,此合力線就是槓桿力臂線,當此合力方向作用支點後,支點必有一個反作用力作用重力點與作用力共點而形成工程力學中的三力共點匯交力系,此時反映在重力點上的效果則是由共點力系與合力疊加形成的三力共點匯交力系值效果。經無數次實驗,其疊加值大小等於重力與作用力的合力再與作用力之和;其方程式:G=2(F-Fsina)+F,其合力項大小為;重力值的連線與槓桿力臂之間夾角a正弦值乘積和作用力F之差的2倍。對此方程的求證是任何人都可按專利文本說明書實驗證實的。顯然,在發明槓桿效果上,同樣是一個作用力則出現了三個力共同作功的功能技術,這就是發明槓桿可實現降能耗的技術原理,即功能原理。
重力降能耗槓桿
基本規律
公知現今巨觀引力能套用只有水電站一項,但它還是離不開水資源的支撐命運。然而水電的重力位能是由自然蒸發上升下雨攔壩形成,難道除此以外,自然界再沒有不需資源支撐束縛的重力位能形成方式可利用嗎?答案是肯定的,不但有而且人類幾千年來一直在利用它,本人經研究發現,球體易自位移原理就是經典型的物理方式將無位能重量由結構懸空而實現了位能化,特別是車輪結構套用人類幾千年受益至今,其實在車輪中早包涵了複雜的槓桿力系和引力能轉換原理,即球體位能效應原理。因此,重力降能耗槓桿只是將球體位能效應,套用於槓桿原理中,在實現仿造球體結構將無位能重力位能化的同時,又將其重力位能轉換為可用能量,它遵守了引力能本質(引力必在兩個物體之間有位能時才可轉換為可用能量原則)特性,而對重力位能的套用在現物理學中是符合能量守恆定律的,這就是本發明槓桿的基本規律。
套用
因為本發明槓桿的結構是仿造球體位能結構,而結構形成的功能技術是可將懸空重力位能轉換為可用能源,所以,它的套用範圍與普通槓桿無異,且將原來單一省力技術提升到了省力和降能耗的雙重功能,即套用範圍廣闊。但它最重要的目標是套用於能量轉換,例如最近申報國家專利的(引力能轉換髮動機)就是一種可替代現有發動機的動力產品,其功能類似太陽能汽車動力機,它不對外輸出能源,而是自產自消式的引力能轉換。如用它與發電機匹配,則是將引力能轉換的能源可對外輸出,即機電一體化為引力能轉換髮電機產品。
相關解釋
解釋一
空間 引力扭曲空間,也可以說是膨脹使空間扭曲。
牛頓被蘋果砸到,換一種說法 牛頓撞到了蘋果。
由於宇宙在不斷膨脹,可是為什麼我們沒粘在一起呢?空間,空間存在壓力使我們不會粘在一起。
這就是為什麼2個物質靠近,還會產生斥力的原因。
在太空加速運動的飛船里你會感到重力。
在墜落的電梯你感覺不到重力。
但是還有一點,我們在宇宙中,而且我們還是人類,我們無法高於人類的思想以另一種形式看我們的這個宇宙。一切都在發現,一切都在探索,永遠沒有止境。
引力是什麼?茫茫宇宙由無數個星系、星體組成,這些天體沿著各自的軌道秩序井然地運轉,組成一個和諧的宇宙大家庭,是什麼神奇的力量把這些天體組合在一起的呢?人們認為是引力。然而引力的實質是什麼呢?
早在1679年,著名科學家牛頓提出了萬有引力定律,認為天體間因有質量而有引力,並且發現了引力對一切物體的作用性質都是相同的。例如,當地球引力把任何一個物體吸引到地面時,其加速度是9.8米/秒’。很顯然,牛頓所提出的引力,實際上就是重力。但是引力是如何實現的呢?它的作用機制是什麼?萬有引力定律不能解答。
引力與電力有相似之處,如二力均與物體間距離的平方成反比,與兩物體所帶力荷(引力是質量,電力是電荷)的乘積成正比。但二力的比例係數相差懸殊,電力遠遠大於引力。例如,在氫原子中,原子核與電子間的電吸引力是它們間引力的 1040倍!二力間還存在一些其他的差別,如(兩物質的)同性電荷間存在相互排斥力,異性電荷間存在吸引力,而萬有引力卻總是吸引力。
1916年愛因斯坦廣義相對論的問世,提出了嶄新的引力場理論。他認為由引力造成的加速度,可以同由其他力造成的加速度區分開來。這個命題就是愛因斯坦的等價原理,即一個加速系統與一個引力場等效。我們構想,一個人在遠離地球的太空中乘一架升降機上升,上升的加速度為9.8米/秒·平方,由於速度變化產生了阻力,這個人雙腳會緊緊壓在升降機的底板上,就像升降機停在地球表面上不動一樣,但無法說明他所受到的是引力還是慣性。因此,牛頓所說的萬有引力,在愛因斯坦看來,根本不是什麼引力,而是時空的一種屬性。在這種成曲線的四維時空連續體中,根本不需引力.天體是按自己應有的曲線軌道運行的。
1918年愛因斯坦根據引力場理論預言有引力波存在。他認為高速運動著(加速運動)的物質會輻射引力,引力波就是這種引力的載體,就像光波是電磁力的載體一樣。引力波的速度與真空中的光速相同。例如,在太陽和地球之間就是靠引力波傳遞引力子而實現相互作用的。因此,引力波存在與否,是廣義相對論的又一個關鍵性驗證。引力波非常微弱。據計算,用一根長20米、直徑1.6米、重500噸的圓棒,以28轉/秒的轉速繞中心轉動,所產生的引力波功率只有2.2× 10的負29次方瓦;一次17000噸級核爆炸,在距中心10米處的引力波充其量也只有10的負16次方瓦/厘米·平方。因此,引力波在目前還無法直接測量。
按照愛因斯坦的理論,自然界也應存在引力波,正如電荷的運動會產生電磁波一樣,物體的運動也會產生引力波,引力波的傳播速度為光速。這是電力與引力間又一個重要的相似特性。但只有宇宙中具有巨大質量(幾倍於太陽質量)的運動天體才可能產生強烈的引力波。
最早動手檢測引力波的是美國馬里蘭大學的物理學家韋伯博士。60年代他建立了世界上第一套引力波檢測裝置:一根長153厘米、直徑61厘米、重約1.3噸的圓柱形鋁棒——後人稱之為韋伯桿,橫搭在由兩個鐵柱子支著的鋼絲上。鋁桿質量雖大,鋼絲卻幾乎無絲毫振動。韋伯推測,鋁桿若能接收到來自太空的一束強引力波,就會擺動起來,但擺動很可能是很輕微的,他估計擺動幅度可能只有原子核直徑(10的負15次方米)那么大,附近卡車開過等引起的地面震動均可能導致韋伯桿產生如此幅度的振動。為確認檢測的確實是引力波,他還在 1000公里之外的芝加哥阿崗國家實驗室安裝了一個類似的儀器。他想,假如有一個引力波掃過整個太陽系的話,則兩個儀器都會同時作出同樣的反應。1969年6月,他宣布檢測到了引力波。但後來科學家用更精確的儀器再也未檢測到,現在一般認為,韋伯的實驗結果有誤。
韋伯檢測器工作在室溫(27℃左右)環境,由於受分子熱運動噪聲的限制,最高靈敏度只能達10的負16次方量級,用來檢測引力波尚不可能。
1974年美國人泰勒領導的實驗小組,用射電望遠鏡對天空掃描,發現了離地球15000光年的一顆脈衝星發出的脈衝信號,又經過近4年的觀測,間接證實了引力波的存在。脈衝星是急速旋轉的中子星,它是一個內部停止了核燃燒而被壓得極端緊密的恆星體。它與另一個中子星一起相互繞轉,構成一個雙星體系。按照愛因斯坦的理論,這個雙星體系應能發射引力波,從而帶走一些能量,使雙星軌道慢慢縮小,周期慢慢變短。這些變化儘管都很微小,卻可以從它們發出的脈衝信號到達地球的時間精確計算出來。4年的觀測表明:雙星軌道周期總共減少了萬分之四秒。這個結果恰好與愛因斯坦的理論相符。這是人類第一次間接證實了引力波的存在。但是,這畢竟是間接證明,還不能由此得出引力波真實存在的結論。
70年代中期到80年代中期,出現了工作在低溫條件下的第二代引力波檢測器(韋伯檢測器為第一代)。如美國史丹福大學建成了低溫引力波天線裝置:天線是圓柱形的鋁棒,長3米,重4.8噸,工作在液氮溫區,靈敏度達5×10的負19次方,能檢測出振幅為1.5×10的負16次方厘米即約千分之一原子核半徑或者一百萬億分之一頭髮直徑的振動。日本東京大學平川諾平教授的引力波檢測工作也令人耳目一新。其眾多實驗均以頻率為千赫量級的高頻引力波為檢測對象,這是與科學家迄今所知道的最強天體引力波源相對應的。平川則創製了一種共振低頻引力檢測器(方形或扭擺型天線),明確以蟹狀星雲中的高速自轉脈衝中子星NP0531+21為檢測對象,該星自轉周期為33毫秒,所發引力波到達地面的強度約為10的負27次方量級。平川的引力波檢測器分別設立在東京和筑波科學城,經在低溫條件下的長時間積累,靈敏度已達10的負25次方。
在進入20世紀80年代之後,前蘇聯科學家烏恰耶夫又提出了“中微子引力論”。
地球引力傳統理論認為,中微子不帶電荷,無靜止質量,它以光速運動,幾乎不與物質發生作用,可以順利穿過地球。但是近年來發現中微子還是有靜止質量的,不過其質量極小,約10的負32次方克。科學上發現的中微子實際上有三類:電子類、μ介子類和,介子類。例如,在太陽核聚變反應中輻射的是電子類中微子,它們在到達地球前某個時候就已經變成了μ介子類或,介子類中微子了。如果一類中微子能變成另一類,它們就必須具有一定的質量了。有質量就可能對物體造成衝力。烏恰耶夫以“中微子氣”代替引力波,認為在充滿宇宙間的中微子氣中,中微子以亞光速進行著雜亂無章的運動,其中一部分總是要被天體吸收的,結果每一天體都獲得一種“脈衝力”,此脈衝力大小等於其吸收的中微子質量與其速度乘積。在日地系統中,地球向日面承受的中微子流比背日面要弱,由此產生的脈衝力恰好抵消地球繞太陽運動的離心力。宇宙間各天體運動都可以如此解釋。在這裡根本不需要吸引之力。當然,這個理論只是一種探討,並無實驗事實作依據。不過由於中微子在宇宙演化過程中起著重要作用,對它的認識還有待進一步深化。因此,烏恰耶夫的說法或許是有一定道理的。那么,引力的本質到底是什麼?是重力,引力波,還是中微子?
地球引力現在,科學家又在改進檢測器或創製新的檢測器,以求檢測到引力波。例如,美國計畫分別在東西兩岸建立臂長為3.2公里的雷射檢測器,經多次反射,總光程可達100公里,其靈敏度估計可達10的負21次方。前蘇聯科學家提出,引力既然能使空間彎曲,引力波將使空間彎曲程度發生改變,由是,電磁場就會因其存在空間的改變而改變,只要檢測到這種改變,就算檢測到了電磁波。我國科學家提出,引力波會使物質的超流態發生改變。羅馬尼亞學者則提出,引力波將使約瑟夫森結電流受到影響。這些效應均可用來檢測引力波。
解釋二
引力來源於彎曲
正是質量造成了空間的彎曲,而運動是沿著彎曲的空間進行的,這使得人們“以為”是在受某種引力支配著。實際上不是引力,而是彎曲的空間。這就是“引力”產生的原理。
解釋三
地球引力愛因斯坦認為萬有引力是物質的存在使時空發生彎曲所致。時空彎曲的理論很獨特,也很令人費解,物質的存在如何使時空發生彎曲?又如何產生引力?萬有引力來自哪裡,怎樣相互作用?成了自然之謎。
三百年來,有那么多人探索萬有引力,而今的結論竟是這么簡單——萬有引力就是質子與電子間電磁力的外延。為什麼別人就沒有想到?
百年來肯定有不少學者首先就想到過這個原由,肯定提出過假說,但是提出這個新假說與學界奉行的電子云理論、自由電子理論相悖,而無數次被迅速地否定了。
百年來,學界認為原子的核外電子是雜亂無章的電子云,而新假說是原子核吸引了電子,還有庫侖力外延,所有原子核的電磁力都延伸在外,吸引原子以外的電子。那豈不成了不可收拾的電子爭奪戰!
百年來,學界認為金屬內瀰漫著自由電子,而新假說認為萬有引力是原子核吸引了電子後還有庫侖力外延。這種力構成了地球的重力,吸引住了地球上的山川、河海、大象和人,那么對自由電子的吸引更是輕而易舉。事實上臆想中的自由電子沒有受到萬有引力的制約,於是新假說就被就地否決了。
拋棄了核外電子無規律的電子云理論,拋棄了金屬內瀰漫著自由電子的理論,注意到核外電子有規律的運動,認識到核外電子都是在一定的能級軌道規律運轉。再來看萬有引力,它就這么簡單!
萬有引力的存在也輔證了核外電子是規律有序的:萬有引力吸引著萬億噸的山川、海洋、高樓、大壩。那么,吸引散漫輕小的電子云、吸引自由雜亂的自由電子應該是輕而易舉,然而事實是萬有引力對於如此輕小的電子沒有明顯的作為,證明原子外的電子是各有歸屬的,不是散漫、自由的。那些電子云理論、自由電子理論是應該拋棄的。
大道至簡,大自然總是用最簡法則構成自身。在探索了物質核外電子有規律的運轉之後,再來看萬有引力,發現萬有引力的本源非常簡單:就是原子核對電子的吸引力——庫侖力,就是原子核(質子)與電子間電磁力的外延。
大家知道,原子是由原子核和繞核旋轉的核外電子組成,原子核(質子)帶正電荷,電子帶負電荷,正負電荷相互吸引才有這電子饒核高速旋轉。
原子核對電子的引力不會到了原子的邊緣嘎然而止,質子對電子的引力是沒有邊界的,遠遠地超出了原子、超出了物體之外,誰也沒有理由把這種無限的作用限制在一個原子範圍內。那種把原子核對電子的引力孤立在一個原子之內,認為原子間沒有相互作用、對外沒有交流是形上學的。
所有原子核的電磁力都延伸在外,所有的質子引力都向外延伸,為什麼沒有形成電子爭奪戰?這是因為相鄰原子的外電子相距較遠,引力大打折扣。再者,每個原子的核外電子都是在一定的能級軌道規律運轉,都有各自的歸屬,是十分穩定的,核心多吸引來了電子也沒有其軌道,原子也留它不住。
解釋四
雖然外延的引力沒有奪得相鄰的電子,但是質子的這種引力是實實在在的,是沒有邊界的。單個原子核的外延引力是微不足道,可萬億億個原子核的外延引力卻是天體運行的縴繩,是重力之母。
目前有兩種主流理論(但沒聽說過什麼地應力)
1.引力波,任何有質量的物質均會對外輻射引力波,就象熱物體輻射紅外線一樣,引力波能傳達引力,就象紅外線傳達熱一樣
2.中微子,中微子以亞光速在宇宙各角落進行著雜亂無章的運動,其中一部分總是要被天體吸收的,結果每一天體都獲得一種“脈衝力”(中微子具有質量)。在日地系統中,地球向日面承受的中微子流比背日面要弱(因為這中間的中微子要被太陽和地球兩者吸收,故兩個天體在連線方向上吸收的中微子要比其他方向的少),由此產生的脈衝力在地-日連線方向上也小些,故地-日會有種向彼此運動的趨勢,既我們所說的引力
參考資料:愛因斯坦理論和前蘇聯科學家烏恰耶夫理論
最強最弱
北極是冰雪覆蓋的一片汪洋大海地表沒有礦藏,所以這個引力最大的位置就是南極查爾斯王子山脈南部的魯克爾山北部的特大磁鐵礦上。至於地球上哪裡引力最弱。
磁場消失
其間磁場會出現短暫消失,屆時將造成的破壞現時仍難以預料。不過最少人類射到太空的人造衛星都會因電磁紊亂而毀壞;不加證明,我門可以給出一個定理,戰勝引力
![地球引力[科學術語] 地球引力[科學術語]](/img/3/3c3/nBnauM3X3ATNwYTM0YzMxMzM1UTM1QDN5MjM5ADMwAjMwUzL2MzL4IzLt92YucmbvRWdo5Cd0FmLzE2LvoDc0RHa.jpg)
