點列
點列的弱收斂
弱收斂定義1 設X為賦范線性空間,x,x∈X,若對 有
弱收斂
弱收斂則稱{x} 弱收斂於x,記作w- .
弱收斂
弱收斂註:設X為賦范線性空間,x,x∈X,當 時,稱{x} 強收斂於x,記作s- .
性質
1.由點列強收斂可推出其弱收斂。
證明:由
弱收斂可證。並且強極限存在時必等於其弱極限,反之卻不然。
弱收斂2.設X為賦范線性空間,x,x∈X,則w- ,若且唯若
弱收斂(1)
(2)存在X*上一個稠密集Y,使得
弱收斂3.設X為一致凸的賦范線性空間,則X中的點列{x}強收斂於x的充要條件是{x}弱收斂於x,且有
弱收斂運算元列
運算元列的弱收斂
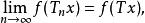
弱收斂定義2 設X、Y均為賦范線性空間,T∈B(X→Y),若對 有
弱收斂
弱收斂則稱{T}按 弱運算元拓撲收斂於T,記作w- .
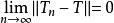
弱收斂註:1.設X、Y均為賦范線性空間,T∈B(X→Y),當 時,稱{T} 一致 收斂於T;
弱收斂2.設X、Y均為賦范線性空間,T∈B(X→Y),若對 有
弱收斂
弱收斂則稱{T}按 強運算元拓撲 收斂於T,記作s- .
性質
一致收斂蘊含了強運算元拓撲收斂,強運算元拓撲收斂蘊含了弱運算元拓撲收斂。
泛函列
泛函列的弱收斂
弱收斂定義3 設X為賦范線性空間,X*為其對偶空間,f,f ∈X*,若對 有
弱收斂則稱{f} 弱 收斂於T.
弱收斂
弱收斂註:1.設X為賦范線性空間,X*為其對偶空間,f,f ∈X*,當 時,稱{f} 強收斂於f,記作s- ;
弱收斂2.設X為賦范線性空間,X*為其對偶空間,f,f ∈X*,若對 有
弱收斂
弱收斂則稱{f} 弱* 收斂於f,記作w*- .
性質
當X為自反空間時,{f}弱收斂與{f}弱*收斂等價。
設X為Banach空間,f,f ∈X*,則{f}弱*收斂於f,若且唯若
1.當X為自反空間時,{f}弱收斂與{f}弱*收斂等價。
2.設X為Banach空間,f,f ∈X*,則{f}弱*收斂於f,若且唯若
(1)
弱收斂(2)存在X上的稠密集X,使得
弱收斂