定義
定義1
依分布收斂
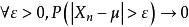
依分布收斂 稱隨機變數序列 依分布收斂(convergence in distribution)於隨機變數X,如果對 的任意連續點x抄,都有
依分布收斂 定義2
依分布收斂
依分布收斂
依分布收斂 弱收斂 設 是一個分布函式列,如果存在一個分布函式 自,使得在 的每一個連續點上有
依分布收斂
依分布收斂
依分布收斂 成立,則稱 弱收斂於 互,並記為
依分布收斂
依分布收斂
依分布收斂
依分布收斂
依分布收斂
依分布收斂
依分布收斂
依分布收斂
依分布收斂 依分布收斂 設 為隨機變數序列, 是對應的分布函式列動,如果存在一個具有分布函式 的隨機變數 ,使得 則稱 依分布收斂於 ,並記作 。
我們必須指出,只有分布函式序列收斂到一個分布函式時,我們才說它是依分布收斂的,這一說明是必要的,因為分布函式序列可能收斂到一個函式,而這個函式不一定是一個分布函式。
實例分析
依分布收斂
依分布收斂
依分布收斂 例1 (均勻樣本的最大值) 設 是獨立同分布的隨機變數,且都服從(0,1)區間上的均勻分布,令 問 是否依分布收斂、收斂於什麼?
依分布收斂
依分布收斂
依分布收斂
依分布收斂 分析: 我們估計當 時 趨於1,事實上,由於 恆小於1,所以對任意 都有
依分布收斂
依分布收斂
依分布收斂 又因為 獨立同分布,所以
依分布收斂
依分布收斂
依分布收斂
依分布收斂 當 時趨於0,故 依機率收斂於1,然而,若令 ,則有
依分布收斂 上式整理得
依分布收斂
依分布收斂 這就說明隨機變數 依分布收斂於某參數為1的指數型隨機變數。
注意,儘管我們定義的是隨機變數序列依分布收斂,其實質卻是累積分布函式而非隨機變數的收斂性,因此依分布收斂與依機率收斂、殆必收斂有著本質區別,不過,另兩種收斂都分別蘊含依分布收斂。
依分布收斂
依分布收斂
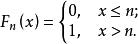
依分布收斂 例2 考慮具有退化分布的隨機變數序列 若它的分布列為 這時 ,顯然,對任意的x∈R,有
依分布收斂
依分布收斂 這表明序列 不收斂到一個分布函式。
相關定理
定理1
依分布收斂 如果隨機變數序列 依機率收斂於隨機變數X,則該序列也依分布收斂於X。
定理2
依分布收斂
依分布收斂
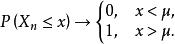
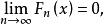
依分布收斂 隨機變數序列 依機率收斂於常數 若且唯若該序列依分布收斂於 ,即,
依分布收斂 等價於
依分布收斂 
