定義
極值分布設 為從總體F抽出的獨立同分布樣本,且
極值分布
極值分布
極值分布
極值分布如果存在常數 及 ,使 依分布收斂於G(x),則稱G(x)為一極大值分布;類似地定義極小值分布。它們統稱為 極值分布,而分布F稱為“底分布”。
極值分布
極值分布
極值分布
極值分布兩個分布函式 和 稱為是同類的,若存在常數a>0及b,使 ,並記為 。
顯然,這種關係具有自反、對稱和傳遞性。
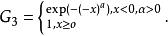
極值分布的三大類型(Fisher—Tippett Theorem):若G(x)為一連續極值分布,則G必與下列三個分布函式之一同類:
極值分布
極值分布
極值分布
極值分布分別稱為第Ⅰ、Ⅱ、Ⅲ型極值分布,也分別稱為Gumbel、Fr6cht、Weibull型極值分布。
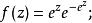
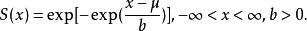
一般的Gumbel型極值分布為
極值分布相應的生存函式為
極值分布
極值分布
極值分布
極值分布當T服從威布爾分布且有密度函式式一般的Gumbel型極值分布時, 就服從 和眾數為 的一般Gumbel型極值分布。
Gumbel型極值分布
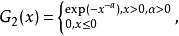
極小值分布
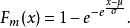
最小極值Ⅰ型分布簡稱極小值分布,其分布密度函式和分布函式分別為
極值分布及
極值分布
圖1
極值分布
極值分布式中 ——位置參數,實際上是分布的眾數; ——尺度參數,與分布的離散性有關。
極值分布
極值分布
極值分布必須注意, 和 不是分布的均值及標準差,但與它們有關,分布密度函式式的圖形見圖1。圖中曲線為 的情況,由圖可知,極小值分布為一偏態分布(右偏)。
1.標準極小值分布,
極值分布
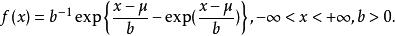
極值分布令 ,則 ,代入上述分布密度函式和分布函式式子中得到Z的密度函式及分布函式分別為
極值分布
極值分布
極值分布
極值分布上兩式稱為標準極小值分布,並且與分布參數 及 無關。
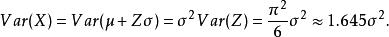
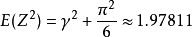
2.標準極小值分布的期望值及方差,
極值分布
極值分布令 ,代入上式得
極值分布
極值分布上式積分為一常數,稱作歐拉(Euler)常數。通常記為“ ”即
極值分布又
極值分布所以
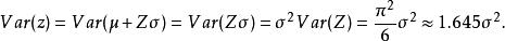
極值分布3.極小值分布的期望值及方差,
因為
極值分布所以
極值分布及
極值分布
極值分布
極值分布
極值分布
極值分布
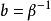
極值分布如果已知樣本的試驗數據,則可以計算總體的均值及標準差的估計值 及s,再由 和 的等式可以得到極小值分布的位置參數 及尺度參數 的估計值:
極值分布極大值分布
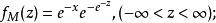
最大極值Ⅰ型漸近分布密度函式和分布函式分別為
極值分布
圖2
極值分布
極值分布
極值分布式中, ——位置參數; ——尺度參數。
極大值分布密度函式的圖形如圖2所示。
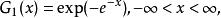
1.標準極大值分布
極值分布
極值分布令,則 ,代入最大極值Ⅰ型漸近分布密度函式和分布函式兩式中,得到
極值分布及
極值分布
極值分布上兩式稱為標準極大值分布密度函式及分布函式,它們與分布參數 無關。
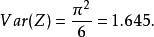
標準極大值分布的期望值及方差分別為
極值分布
極值分布
極值分布2.極大值分布的期望值和方差
極值分布
極值分布
