歷史
(History)
1. 1927年,Fréchet(1927)首先給出這一分布的定義。
2. 1933年,Rosin和Rammler在研究碎末的分布時,第一次套用了韋伯分布(Rosin, P.; Rammler, E. (1933), "The Laws Governing the Fineness of Powdered Coal", Journal of the Institute of Fuel 7: 29 - 36.)。
3. 1951年,瑞典工程師、數學家Waloddi Weibull(1887-1979)詳細解釋了這一分布,於是,該分布便以他的名字命名為Weibull Distribution。
定義
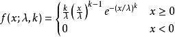
從機率論和統計學角度看,Weibull Distribution是連續性的機率分布,其機率密度為:
韋布爾分布其中,x是隨機變數,λ>0是比例參數(scale parameter),k>0是形狀參數(shape parameter)。顯然,它的累積分布函式是擴展的指數分布函式,而且,Weibull distribution與很多分布都有關係。如,當k=1,它是指數分布;k=2且時,是Rayleigh distribution(瑞利分布)。
性質
(Properties)
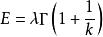
均值(mean)
韋布爾分布,其中,Г是伽馬(gamma)函式。
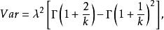
方差(variance)
韋布爾分布偏度(skewness)
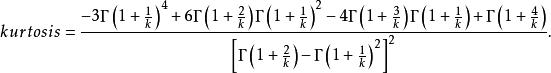
韋布爾分布峰度(kurtosis)
韋布爾分布套用
工業製造
研究生產過程和運輸時間關係。
極值理論
預測天氣
可靠性和失效分析
雷達系統
對接受到的雜波信號的依分布建模。
擬合度
無線通信技術中,相對指數衰減頻道模型,Weibull衰減模型對衰減頻道建模有較好的擬合度。
量化壽險模型的重複索賠
預測技術變革
風速
由於曲線形狀與現實狀況很匹配,被用來描述風速的分布。

