定義
電報方程又名傳輸線方程,是描述傳輸線上任意點電壓、電流與傳輸線一次參數之間關係的微分方程組。
發現
在溝通大西洋電纜(海底電纜)時,開爾文首先發現了長線效應:即當傳輸線長與電報信號的波長可比擬或者超過波長時,我們必須計算其波動性,這時傳輸線也稱長線,而電報信號的反射、傳輸都與低頻也有很大的不同。開爾文研究電纜中信號傳播的情況,得出了信號傳播速度減慢與電纜長度平方成正比的規律。
電報方程公式
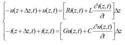
電報方程為了研究無限長傳輸線的支配方程,定義電壓 u 和電流 i 均是距離和時間的函式,即
電報方程利用基爾霍夫定律可得:
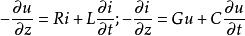
電報方程當Δz→0時,上面的方程就會變成微分方程:
電報方程上式是均勻傳輸線方程或電報方程。
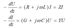
電報方程當正弦信號施加於均勻傳輸線時,電壓和電流為 。 U(z)、I(z)只與z有關,表示在傳輸線z處的電壓或電流的有效復值。電報方程則變成下列形式:
電報方程式中R、C、G、L是傳輸線的一次參數,ω是信號的角頻率,dz是傳輸線的一個微分長度。第一個方程表示信號電壓沿傳輸方向的增長率是負的。第二個方程表示電流沿傳輸方向也是不斷減小的。通過上式可知電壓的空間變化是由電流的時間變化產生的,電流的空間變化是由電壓的時間變化產生的。
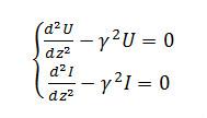
對上式加以變化,又可變為:
電報方程
電報方程式中,
電報方程
電報方程稱為傳輸線的傳輸係數,稱為衰減係數,β為相移係數。
由上式電報方程可以看出,在傳輸線上,電壓和電流是以波的形式傳播。
