人物簡介
能斯特瓦爾特·赫爾曼·能斯特(Walther Hermann Nernst),1864年6月25日生於西普魯士的布里森,1941年11月18日卒於齊貝勒(Zibelle),德國物理化學家。1887年畢業於維爾茨堡大學,並獲博士學位,在那裡,他認識了阿侖尼烏斯,並把他推薦給奧斯特瓦爾德當助手。第二年,他得出了電極電勢與溶液濃度的關係式,即能斯特方程。
能斯特是一位法官的兒子。他誕生地點離哥白尼誕生地僅20英里。1887年獲維爾茨堡大學博士學位,後來當了奧斯特瓦爾德的助手。1889年他作為一個25歲的青年在物理化學上初露頭角,他將熱力學原理套用到了電池上。這是自伏打在將近一個世紀以前發明電池以來,第一次有人能對電池產生電勢作出合理解釋。他推導出一個簡單公式,通常稱之為能斯特方程。這個方程將電池的電勢同電池的各個性質聯繫起來。能斯特的解釋已為其他更好的解釋所代替,但他的方程沿用至今。
任教生涯
能斯特能斯特自1890年起成為格廷根大學的化學教授,1904年任柏林大學物理化學教授,後來被任命為那裡的實驗物理研究所所長(1924—1933)。1933年他因不受納粹的歡迎退休回到鄉間別墅莊園,並死在那裡。
他先後在哥廷根大學和柏林大學任教,他的研究成果很多,主要有:發明了聞名於世的白熾燈(能斯特燈),建議用鉑氫電極為零電位電報、能斯特方程、能斯特熱定理(即熱力學第三定律),低溫下固體比熱測定等,因而獲1920年諾貝爾化學獎。
他把成績的取得歸功於導師奧斯特瓦爾德的培養,因而自己也毫無保留地把知識傳給學生,先後有三位諾貝爾物理獎獲得者(米利肯1923,安德森1936年,格拉澤1960年)。師徒五代相傳是諾貝爾獎史上空前的。由於納粹迫害,能斯特於1933年離職,1941年11月18日在德逝世,終年77歲,1951年,他的骨灰移葬哥廷根大學。
人物歷史
能斯特能斯特生於西普魯士(WestPrussia)的貝利森(Briesen)(今波蘭境內的萬布熱伊諾(Wąbrzeźno))。他在蘇黎世大學、柏林大學及卡爾·弗朗岑斯大學學習數學與物理學,去萊比錫工作了一段時間後,他在哥廷根成立了物理化學與電化學研究所。1897年,能斯特發明了能斯特燈,一種使用白熾陶瓷棒的電燈,是碳絲燈的替代品和白熾燈的前身。能斯特研究過滲透壓及電化學,1905年,他確立了他稱之為“新熱定理”的定理,也就是後來的熱力學第三定律,這條定律描述了物質接近絕對零度時的表現。
他榮獲1920年的諾貝爾化學獎,這是對他的熱化學研究成果的肯定。他於1924年出任柏林物理化學研究所主任,並擔任此職位至1933年退休,接著開始研究電聲學和天體物理學。
能斯特於1930年與貝希斯坦(C.Bechstein)及西門子公司合作開發了一種叫“新貝希斯坦之翼”("Neo-Bechstein-Flügel")的電子琴,這是世界上第一台電鋼琴。當中用無線電放大器取代了發聲板。該電子琴使用了電磁感應器以產生電子調解及放大的聲音,跟電吉他是一樣的。
1891年任哥丁根大學物理化學教授。1905年任柏林大學教授。1925年起擔任柏林大學原子物理研究院院長。1932年被選為倫敦皇家學會會員。由於納粹政權的迫害,1933年退職,在農村度過了他的晚年。1941年11月18日在柏林逝世。被葬於馬克斯·普朗克墓附近。
研究方面
能斯特能斯特的研究主要在熱力學方面。1889年,他提出溶解壓假說,從熱力學導出了電極勢與溶液濃度的關係式,即電化學中著名的能斯特方程。同年,還引入溶度積這個重要概念,用來解釋沉澱反應。
泵吸循環期間與氧分壓的關係
他用量子理論的觀點研究低溫現象的研究,得出了光化學的"原子鏈式反應"理論。1906年,根據對低溫現象的研究,得出了熱力學第三定律,人們稱之為"能斯特熱定理",這個定理有效地解決了計算平衡常數問題和許多工業生產難題。因此獲得了1920年諾貝爾化學獎。
此外,還研製出含氧化鋯及其氧化物發光劑的白熾電燈;設計出用指示劑測定介電常數、離子水化度和酸鹼度的方法;發展了分解和接觸電勢、鈀電極性狀和神經刺激理論。
能斯特的主要著作有:《新熱定律的理論與實驗基礎》等。
方程
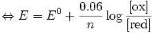
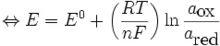
在電化學中,能斯特(Nernst)方程用來計算電極上相對於標準電勢(E0)來說的指定氧化還原對的平衡電壓(E)。能斯特方程只能在氧化還原對中兩種物質同時存在時才有意義。
能斯特在常溫下(25°C=298.15K),有以下關係式:
能斯特
能斯特能斯特能斯特因此,能斯特方程可以被簡化為:
能斯特能斯特在25°C:
能斯特
能斯特能斯特
R是理想氣體常數,等於8.314570J.K-1.mol-1。
T是溫度,單位開。
a是氧化型和還原型化學物質的活度(活度=濃度*活度係數),其中[ox]代表氧化型,[red]代表還原型。
F是法拉第常數,1F等於96485C.mol-1。
n是半反應式的電子轉移數,單位mol。
方程歷史
能斯特方程命名於它的提出者德國化學家能斯特(WaltherNernst)。沃爾特.H.能斯特(WaltherH.Nernst)(1864-1941),1920年諾貝爾化學獎獲得者,以表彰他在熱化學方面的工作。他對化學熱力學的貢獻是建立起聯繫化學能和原電池電極電位關係的方程式。
能斯特燈
他發明的能斯特燈,又稱能斯特發光體,是一種帶一條稀土金屬氧化物燈絲的固體輻射器,對紅外線光譜學十分重要。持續的歐姆加熱使得燈絲在導電時發光。發光體於2至14微米波長下操作效果最理想。矽碳棒和能斯特燈所發出的光不是單色光,發射的是連續的紅外光帶。
第三定律
化學熱力學,主要是吉布斯和范特霍夫(J.H.vantHoff)在19世紀後半期建立起來的;這一領域後來由德國化學家W·能斯特於1906年提出的熱力學第三定律而得到發展。
1906年,他的主要工作是在熱力學方面,企圖從測定比熱和反應熱來預測化學反應過程的結果。如果反應是吸熱的,那么所吸熱量將隨溫度下降而下降,達到絕對零度時吸熱量將變為零。能斯特假定在絕對零度時這種減少發生的速度也變為零。作為其結果引出了能斯特熱定理,它表明如果反應在絕對零度時在純粹的結晶固體之間發生,那么熵就沒有變化。
若以稍許不同的形式加以敘述,這個定理現在通稱為熱力學第三定律。它和“絕對零度不可能通過有限的步驟達到”這一說法是等價的。這時候可以計算熵的絕對值(和平衡常數的值),而不能計算熵的變化。現在大家知道這是粒子的量子統計力學的結果。由於他在熱力學方面的工作,能斯特獲得了1920年諾貝爾化學獎。
第三定律的提出是試圖由熱力學數據尋求計算化學平衡常數K的值。化學反應的驅動力,即各種物質的親和力,總是調節著初始產物與最終產物間的平衡。大家已經知道,親和力不等於反應熱,而等於可逆反應中得到的最大有效功。這個量也叫熱力勢,吉布斯用△G表示,它是隨溫度而變的,如果知道了反應體系的焓,△H的變化,便可計算出熱力勢。從熱力學第一定律和第二定律就可以看出這種聯繫。熱力學第一定律是著名的能量守恆定律,它挫敗了建立永動機的企圖。熱力學第二定律指出了封閉系統中能量轉變發生的方向並給出了熱機效率的極限值。
但是這兩個定律還不足以計算熱力勢的絕對值。為了計算熱力勢的絕對值,就必須了解在任何給定溫度下的△G與△H的關係。能斯特原理僅給出了溫度高於絕對零度時的關係式。
基於少量實驗數據,正如能斯特所說的“好像由於僥倖所致”,他便提出了大膽的理論,即[△H—△G]/T的極限值,在T=0的情況保??攣*0;式中T是絕對溫度。分數是表示熵的變化,即利用這種關係的某一化學體系的性能。能斯特原理還意味著所有過程的發生,在絕對零度下並不引起熵的變化。這並不排除在T=0的情況下熵本身也許是負無窮大的可能性,如果在稍高的溫度下得到一極限值的話。普朗克(M.Planck)於1911年補充了這一定律。他假設情況不是這樣並作了如下論斷:對於每一化學組成為均相的固體或液體來說,它在絕對零度下的熵為零。
要檢驗這一定律的有效性是不容易的。能斯特不得不親自收集大部分必需的數據,他提出的熱定理使人們有可能全面地測定比熱、轉變點和平衡。遺憾的是,在相當長的時間內他使用了某種程度的不合理方法,因而雖然事實上支持他的理論數據逐漸積累起來了,但是他花了很長的時間才證明他的理論。量子理論的套用,對他的理論的最後驗證起了決定性的作用。後來情況很清楚,通過形成能斯特原理和能斯特全面地測定了低溫下的比熱,他對化學的發展作出了具有根本性重要意義的貢獻。因而1921年授予他1920年的諾貝爾化學獎金,以“承認他在熱化學方面的成就。”
著作
1、WaltherNernst,《Reasoningoftheoreticalchemistry:Ninepapers(1889-1921)》(Ger.,BegründungderTheoretischenChemie:NeunAbhandlungen,1889-1921).FrankfurtamMain:VerlagHarriDeutsch,c.2003.ISBN3-8171-3290-5
2、WaltherNernst,《ThetheoreticalandexperimentalbasesoftheNewHeatTheorem》(Ger.,DietheoretischenundexperimentellenGrundlagendesneuenWärmesatzes).Halle[Ger.]W.Knapp,1918[tr.1926].[ed.,thisisalistofthermodynamicalpapersfromthephysico-chemicalinstituteoftheUniversityofBerlin(1906-1916);TranlationavailablebyGuyBarr(LCCN27002575)])
3、WaltherNernst,《TheoreticalchemistryfromthestandpointofAvogadro'sruleandthermodynamics》(Ger.,TheoretischeChemievomStandpunktederAvogadroschenRegelundderThermodynamik).Stuttgart,F.Enke,1893[5thediton,1923].LCCNpo28000417


