概述
原子莫塞萊定律是一個描述從原子發射出來的X-射線性質的經驗定律。在量子力學的發展歷史裡,亨利·莫塞萊建立的莫塞萊定律占有很重要的角色。這定律證實了玻爾模型的原子核在數量方面的概念:給予每一種元素其原子序數,與原子核的單位電荷數目成正比(後來的實驗發現原子序數就是原子核的質子數量)。在這定律之前,原子序數只是一個元素在周期表內的位置,並沒有直接地牽扯到任何可測量的物理量一些元素的K-α和K-βX-射線發射譜線的相片紀錄。每一個發射譜線強度最大的兩條線分別是K-α和K-β線。
歷史
套用1910年代的X-射線衍射科技,亨利·莫塞萊發現一個元素的X-射線譜內,強度最高的短波長譜線,與元素的原子序數有關。他辨明這條譜線為K-α譜線,並且發現這關係可以用一個簡單的公式表達,後來稱為莫塞萊定律:原子的K、L、M電子層,和它們最多能夠容納的電子數目。
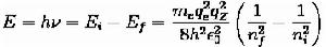
公式其中,是頻率,主譜線或K殼層X-射線發射譜線的頻率,和是依不同種類的譜線而設定的常數。
莫塞萊本人選擇不用,而採用標準里德伯格式來表達。根據里德伯公式,K-α譜線的是乘以里德伯頻率。L-α譜線的是乘以里德伯頻率,
莫塞萊的值是一個一般性實驗常數,專門用來配合K-α躍遷譜線或L-α躍遷譜線(後面系列譜線的強度比較弱,頻率比較低,修正的值比較大)。莫塞萊計算出L-α躍遷的整個項目是,與實驗數據的配合相當接近。K-α譜線的配合更接近,其值是
本來,莫塞萊很可能會因為莫塞萊定律的重大貢獻而得到諾貝爾物理獎。1914年,第一次世界大戰爆發,莫塞萊自願入伍從軍。很不幸地,1915年,戰死於加里波利之戰,年僅27歲。
論證
1913年,從點繪X-射線頻率的平方根對原子序數的曲線,莫塞萊找到了他的經驗公式。同年,尼爾斯·玻爾也發表了玻爾模型。很快地,於1914年,莫塞萊發覺,假若能再加入一些關於原子結構的合理的額外假設,就可以用玻爾模型來解釋他的公式。可是,在莫塞萊找到他的公式那時,他和玻爾都無法給出假設的形式。
用玻爾模型解釋,十九世紀經驗導引出來的里德伯公式,描述了氫原子的電子從一個能級移至另一個能級的躍遷行為。在這同時,一個光子被發射出來。從這幾個能級的數值,我們可以求出來氫原子發射的光子的頻率。
公式根據玻爾模型,假設最初能級大於最終能級,氫原子發射的光子的頻率乘以普朗克常數,等於最初能級減去最終能級的差值。採用普朗克單位制,經過一番運算,可以得到里德伯公式的玻爾形式,稱為玻爾公式。
重要性
莫塞萊公式不只建立了原子序是一個可測量的實驗數值,而且還給予了原子序一個物理意義,那就是,原子序是原子核的單位電荷數目(後來的科學家發覺是質子數目)。因為莫塞萊對於X-射線的研究成果,在周期表,可以依照原子序來排列各個元素,而不是依照原子量。這個新的排列方法使得鎳元素()與鈷元素( )的排列位置相互對易。
這研究成果也使得科學家能夠計算出譜線的數值方面的預測,核對半量子的玻爾模型。根據玻爾模型,從一個能級躍遷到另一個能級的能量差值,可以用來計算,在周期表內,從鋁元素到金元素的X-射線譜線;而且這些計算確實地相依於原子序。這事實使得盧瑟福/玻爾派的原子論得到廣泛的接受。後來發展成功的量子理論基本上也得回了玻爾公式的譜線能量。莫塞萊定律被併入整個量子力學的原子觀。在一個K殼層電子被彈出後,單獨剩餘在K殼層的另一個電子所扮演的角色,可以用薛丁格方程給予完整地合理解釋。
正文
反映各元素X射線標識譜規律的實驗定律。英國物理學家H.G.J.莫塞萊系統地研究了許多種元素的X射線標識譜(見X射線譜),發現譜線頻率的二次方根與該元素在元素周期表中排列的順序號成線性關係。
莫塞萊把各元素的Kα線系和Lβ線系的頻率表達為

式中R是里德伯常數,Z是原子序數,σ是禁止因子,с是光速。他發現各元素σK和σL分別都近似等於1和7.4。對於其他線系則不再適用。
莫塞萊利用上述規律,並用實驗測出的X射線標識譜線的頻率來確定元素在周期表上排列的序號Z,發現只在Co-Ni,Ar-K,Te-I等相鄰元素處與原來按原子量大小排列的次序不符。改動後能使周期表上元素的化學、物理性質的周期性規律更符合實際。因此莫塞萊把按X射線譜排列的序號稱為原子序數,認為這正是元素原子核所帶的正電荷數,也是決定元素化學、物理性質的最主要因素。
後來,把莫塞萊定律推廣到原子光譜中,用來描述光譜項值的二次方根與原子序數的線性關係,由此而畫出的圖稱莫塞萊圖。
量子力學理論證明,描述各元素X射線標識譜規律的莫塞萊定律只是一種近似的規律。但它曾對確定原子序數,預言當時還未發現的元素、研究等電子離子序列光譜,研究原子結構都有過重要的促進作用。

