背景
在歷史上,解釋氫光譜的本質曾是物理學上的一個難題。在1855年巴耳末提出巴耳末公式的經驗式,給了氫的可見光譜波長之前,沒有人能預測氫譜線的波長。 里德伯花了不到5年的時間將經驗公式擴充為里德伯公式,原始的公式在1888年提出在1890年完成。里德伯設法發展了另一個不僅可以和已知的巴耳末系吻合的經驗式,並且能預測其他未知的譜線,將不同的整數置入里德伯的經驗式可以發現和得到不同的氫光譜系列譜線。
巴爾末公式如下:
里德伯公式里德伯公式
里德伯公式(又稱 里德伯-里茲公式)(Rydberg Equation)是1889年瑞典物理學家裡德伯提出的表示氫原子譜線的經驗公式。
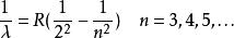
里德伯公式其中R=4/B,稱為里德伯常量,λ是譜線的波長。
里德伯公式是比巴耳末公式更加普遍地表示氫原子譜線的公式。巴耳末公式是里德伯公式在n=2的條件下的特例。里德伯公式中,對於每一個n都有n'=n+1,n+2,n+3…每種n和n'的組合都代表一條譜線。例如n=2、n'=3是波長為6563Å(即656.3nm);的Hα線,n=2、n'=4是波長為4861Å(486.1nm);的Hβ線。對於每一組n相同,n'不同的無窮條譜線,都構成一個線系。每個線系的第一條譜線波長最長,是n'=n+1向n的狀態躍遷產生的譜線。隨著n'不斷增大,譜線的波長越來越短,譜線之間波長的間隔越來越小,當n'=∞時,線系終止於
里德伯公式部分線系
萊曼系(Lyman series):n=1,n'=2,3,4…,線系限91nm,位於紫外波段,是在1906年由美國物理學家萊曼發現的。
巴耳末系(Balmer series):n=2,n'=3,4,5…,線系限365nm,位於可見光波段,1885年瑞士數學教師巴耳末首先將這組線系的波長表述成巴耳末公式,因此稱為巴耳末系。其中最重要的是Hα線(波長656.3nm),是由瑞典物理學家安德斯·埃格斯特朗於1853年首先觀測到的。
帕申系(Paschen series):n=3,n'=4,5,6…,線系限821nm,位於紅外波段,是在1908年由德國物理學家帕申發現的。
布拉開系 (Brackett series):n=4,n'=5,6,7…,線系限1459nm,位於紅外波段,是在1922年由美國物理學家布拉克發現的。
蒲芬德系(Pfund series):n=5,n'=6,7,8…,線系限2280nm,位於紅外波段,是在1924年由美國物理學家蒲芬德發現的。
韓福瑞系 (Humphreys series):n=6,n'=7,8,9…,線系限3283nm,位於紅外波段,是在1953年由美國物理學家韓福瑞發現的。韓福瑞系是最後一個用人名命名的線系。對於n=4,n'=7以上的譜系、n=5,n'=7以上的譜系、n=6,n'=7的譜線都是由韓福瑞發現的。
拓展的里德伯公式
里德伯公式-
其中R是該種元素的里德伯常量,Z是該種元素的核電荷數。
里德伯公式只是一個經驗公式,里德伯未能深入探究這一公式所蘊涵的物理意義。直到1913年丹麥物理學家尼爾斯·玻爾創立了玻爾模型,里德伯公式的物理含義才得到合理的解釋。

