定義
基爾霍夫第二方程組基爾霍夫第二定律是指在一環形電路中,總電動勢與總電流和電阻之積相等。
注意
要計算電路元件電壓時,只要注意“電路中任一環型電路之總電位差(電壓)之和為零”。(電源和元件之電位差符號相反) 所以這個定律其實指的是能量守衡。本定律的英文名稱為“Kirchhoff's voltage law”。也有譯作基爾霍夫電壓定律。
解釋
霍夫第二定律,即基爾霍夫電壓定律(Kirchhoff's voltage law,簡稱KVL)任一集總參數電路中的任一迴路,在任一瞬間沿此迴路的各段電壓的代數和恆為零,即電壓的參考方向與迴路的繞行方向相同時,該電壓在式中取正號,否則取負號。

方程組
根據基爾霍夫第二定律,對電路中各迴路都可以列出形如上圖(基爾霍夫第二方程組圖)的方程式,這些方程式統稱為基爾霍夫第二方程組,或迴路電壓方程組。基爾霍夫第二定律的正確性也是顯而易見的。恆定電流場中的電場是恆定電場(或稱庫侖電場),遵從靜電場的環路定理如圖示一:
圖示一若取某閉合電路就是繞行環路L,則環路定理表示,沿該閉合電路一周電勢降落的代數和一定等於零。如果某閉合電路中有若干個電阻和若干個電源,沿電流方向每經過一個電阻,電勢就下降一個Ii Ri ,經過了所有的電阻,電勢共下降了;沿電流的方向每經過一個電源, 電勢卻升高了ei,相當於電勢下降了-ei,經過了所有的電源,電勢共下降了-。根據環路定理,沿閉合電路一周電勢降落的總量為零, 即如圖示二。
圖示二將上式整理後,就得到基爾霍夫第二方程組如上圖(基爾霍夫第二方程組圖)。
電場與電勢
在靜電學裡,電勢定義為電場的負線積分:
;
其中,
是電勢,
是電場,
是從參考位置到位置
的路徑,
是這路徑的微小線元素。
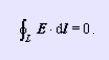
那么,基爾霍夫電壓定律可以等價表達為:
;
其中,
是積分的閉合迴路。
這方程乃是法拉第電磁感應定律對於一個特殊狀況的簡化版本。假設通過閉合迴路
的磁通量為常數,則這方程成立。這方程指明,電場沿著閉合迴路
的線積分為零。將這線積分切割為幾段支路,就可以分別計算每一段支路的電壓。
理論限制
磁場
由於含時電流會產生含時磁場,通過閉合迴路
的磁通量是時間的函式,根據法拉第電磁感應定律,會有電動勢
出現於閉合迴路
。所以,電場沿著閉合迴路
的線積分不等於零。這是因為電流會將能量傳遞給磁場;反之亦然,磁場亦會將能量傳遞給電流。
電感器
對於含有電感器的電路,必需將基爾霍夫電壓定律加以修正。由於含時電流的作用,電路的每一個電感器都會產生對應的電動勢
。必需將這電動勢納入基爾霍夫電壓定律,才能求得正確答案。
能量守恆
基爾霍夫電壓定律是能量守恆定律在電路中的體現。
兩條法則
相等
流入任何直流電路結點,也叫分支點的總電流總是等於流出這個結點的總電流。舉一個例子來解釋上述說法。有四個帶電導體(a,b,c,和d)流入結點(黑點),同時有兩個導體(e和f)流出。並行的直流電相加,這樣,流入這個結點的總電流為a+b+c+d,流出這個結點的電流為e+f。這些總電流根據基爾霍夫第一定律應該是相等的。
總是零
基爾霍夫第二定律是就電壓而言的。舉一個例子來講述這條定律。電壓為a的電源以及五個電勢差為b,c,d,e,和f的無源元件連成了一個電路。因為這五個無源元件是串列連線的,它們的總電勢差即為五個電勢差之和。根據基爾霍夫第二定律,無源元件集上的總電壓總是等於電源的電壓,並且與其反方向。所以,這個電路上所有元件的電勢差之和(包括電源)總是零。
套用
列出
列出基爾霍夫第二方程組。按照以下幾點約定基爾霍夫第二方程組容易列出:
1. 對各迴路設定一繞行方向,作為該迴路電勢降落的標定方向;
2. 當支路上電流的標定方向與繞行方向一致時,該支路上電阻的電勢降落前取加號,否則取減號;
3. 當電源電動勢的方向與繞行方向一致時,該電源電動勢前取加號,否則取減號。
對於如上圖(基爾霍夫第二方程組圖)所示的迴路,設定繞行方向為順時針方向,我們可立即列出下面的基爾霍夫第二方程式如圖示三。
圖示三例題
圖示四
圖示五
圖示六
