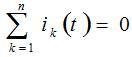
定義信息
定義:在給定溫度下,對於給定波長,所有物體的比輻射率與吸收率的比值相同,且等於該溫度和波長下理想黑體的比輻射率。
所屬學科:大氣科學(一級學科) ;大氣物理學(二級學科)
本內容由全國科學技術名詞審定委員會審定公布
基爾霍夫定律是德國物理學家基爾霍夫提出的。基爾霍夫定律是電路理論中最基本也是最重要的定律之一。它概括了電路中電流和電壓分別遵循的基本規律。它包括基爾霍夫電流定律(KCL)和基爾霍夫電壓定律(KVL)。
基爾霍夫定律發現背景
基爾霍夫定律基爾霍夫定律是求解複雜電路的電學基本定律。從19世紀40年代,由於電氣技術發展的十分迅速,電路變得愈來愈複雜。某些電路呈現出網路形狀,並且網路中還存在一些由3條或3條以上支路形成的交點(節點)。這種複雜電路不是串、並聯電路的公式所能解決的,剛從德國哥尼斯堡大學畢業,年僅21歲的基爾霍夫在他的第1篇論文中提出了適用於這種網路狀電路計算的兩個定律,即著名的基爾霍夫定律。該定律能夠迅速地求解任何複雜電路,從而成功地解決了這個阻礙電氣技術發展的難題。基爾霍夫定律建立在電荷守恆定律、歐姆定律及電壓環路定理的基礎之上,在穩恆電流條件下嚴格成立。當基爾霍夫第一、第二方程組聯合使用時,可正確迅速地計算出電路中各支路的電流值。由於似穩電流(低頻交流電)具有的電磁波長遠大於電路的尺度,所以它在電路中每一瞬間的電流與電壓均能在足夠好的程度上滿足基爾霍夫定律。因此,基爾霍夫定律的套用範圍亦可擴展到交流電路之中。
基本概念
基爾霍夫定律1、支路:
(1)每個元件就是一條支路,如圖ab、bd;
(2)串聯的元件我們視它為一條支路,如圖aec;(3)流入等於流出的電流的支路。2、節點:
(1)支路與支路的連線點;(2)兩條以上的支路的連線點,如圖a,b,c,d;(3)廣義節點(任意閉合面)。
3、迴路:
(1)閉合的支路,如abda,bcdb;(2)閉合節點的集合。
4、網孔:
(1)其內部不包含任何支路的迴路如abcea;(2)網孔一定是迴路,但迴路不一定是網孔如abcda
主要內容
基爾霍夫第一定律
第一定律又稱基爾霍夫電流定律,簡記為KCL,是電流的連續性在集總參數電路上的體現,其物理背景是電荷守恆公理。基爾霍夫電流定律是確定電路中任意節點處各支路電流之間關係的定律,因此又稱為節點電流定律,它的內容為:在任一瞬時,流向某一結點的電流之和恆等於由該結點流出的電流之和,即:
基爾霍夫定律在直流的情況下,則有:
基爾霍夫定律通常把上兩式稱為節點電流方程,或稱為KCL方程。
它的另一種表示為
基爾霍夫定律在列寫節點電流方程時,各電流變數前的正、負號取決於各電流的參考方向對該節點的關係(是“流入”還是“流出”);而各電流值的正、負則反映了該電流的實際方向與參考方向的關係(是相同還是相反)。
通常規定,對參考方向背離(流出)節點的電流取正號,而對參考方向指向(流入)節點的電流取負號。
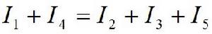
KCL的套用圖KCL的套用所示為某電路中的節點 ,連線在節點的支路共有五條,在所選定的參考方向下有:
基爾霍夫定律KCL定律不僅適用於電路中的節點,還可以推廣套用於電路中的任一假設的封閉面。即在任一瞬間,通過電路中任一假設封閉面的電流代數和為零。
KCL的推廣圖KCL的推廣所示為某電路中的一部分,選擇封閉面如圖中虛線所示,在所選定的參考方向下有:
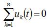
基爾霍夫定律基爾霍夫第二定律
第二定律又稱基爾霍夫電壓定律,簡記為KVL,是電場為位場時電位的單值性在集總參數電路上的體現,其物理背景是能量守恆公理。基爾霍夫電壓定律是確定電路中任意迴路內各電壓之間關係的定律,因此又稱為迴路電壓定律,它的內容為:在任一瞬間,沿電路中的任一迴路繞行一周,在該迴路上電動勢之和恆等於各電阻上的電壓降之和,即:
基爾霍夫定律在直流的情況下,則有:
基爾霍夫定律通常把上兩式稱為迴路電壓方程,簡稱為KVL方程。
KVL定律是描述電路中組成任一迴路上各支路(或各元件)電壓之間的約束關係,沿選定的迴路方向繞行所經過的電路電位的升高之和等於電路電位的下降之和。
迴路的“繞行方向”是任意選定的,一般以虛線表示。在列寫迴路電壓方程時通常規定,對於電壓或電流的參考方向與迴路“繞行方向”相同時,取正號,參考方向與迴路“繞行方向”相反時取負號。
KVL的套用圖KVL的套用所示為某電路中的一個迴路ABCDA,各支路的電壓在所選擇的參考方向下為u1、u2、u3、u4,因此,在選定的迴路“繞行方向”下有:u1+u2=u3+u4。
KVL定律不僅適用於電路中的具體迴路,還可以推廣套用於電路中的任一假想的迴路。即在任一瞬間,沿迴路繞行方向,電路中假想的迴路中各段電壓的代數和為零。
KVL的推廣圖KVL的推廣所示為某電路中的一部分,路徑a、f 、c 、b 並未構成迴路,選定圖中所示的迴路“繞行方向”,對假象的迴路afcba列寫KVL方程有:u4+uab=u5,則:uab=u5-u4。
由此可見:電路中a、b兩點的電壓uab,等於以a為原點、以b為終點,沿任一路徑繞行方向上各段電壓的代數和。其中,a、b可以是某一元件或一條支路的兩端,也可以是電路中的任意兩點。
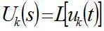
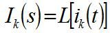
KCL的復頻域形式
從電路理論中已經知道,對於電路中的任一個節點A或割集C,其時域形式的KCL方程為
基爾霍夫定律
基爾霍夫定律式中,
基爾霍夫定律KVL的復頻域形式
對於電路中任一個迴路,其時域形式的KVL方程為
基爾霍夫定律
基爾霍夫定律
基爾霍夫定律相關套用
基爾霍夫定律基爾霍夫電流定律(KCL)描述了電路中各支路的電流之間的關係,基爾霍夫電壓定律(KVL)描述了電路中各支路電壓之間的關係,它們都與電路元件的性質無關,而只取決於電路的連線方式。所以我們把這種約束關係稱為連線方式約束或拓撲約束,而把根據它們寫出來的方程分別稱為KCL約束方程和KVL約束方程。
基爾霍夫定律是怎么推導出來的
基爾霍夫定律基爾霍夫定律的實質是穩恆電流情況下的電荷守恆定律
其中推導過程中推出的重要方程是電流的連續性方程
即SJ*dS=-dq/dt(第一個S是閉合曲面的積分號,J是電流密度矢量,*是矢量的點乘,dS是被積閉合曲面的面積元,dq/dt是閉合曲面內電量隨時間的變化率)
意思是說電流場的電流線是有頭有尾的,凡是電流線發出的地方,該處的正電荷的電量隨時間減少,電流線匯聚的地方,該處的正電荷的電量隨時間增加
對穩恆電流,電流密度不隨時間變化,必有SJ*dS=-dq/dt=0,這就是穩恆電流的閉合性,同時也是基爾霍夫定律的推導基礎
相關詞條
電工學詞語
電工學知識
| 伴隨新技術革命和教學改革的不斷深入,當前套用電工學迅速發展,由於電工學的套用領域不斷擴大,電工學的知識也必不可少。 |

