簡介
基爾霍夫電流定律基爾霍夫(電路)定律是求解複雜電路的電學基本定律。在19世紀40年代,由於電氣技術發展的十分迅速,電路變得愈來愈複雜。某些電路呈現出網路形狀,並且網路中還存在一些由3條或3條以上支路形成的交點 (節點)。這種複雜電路不是串、並聯電路的公式所能解決的,剛從德國哥尼斯堡大學畢業,年僅21歲的基爾霍夫(Gustav Robert Kirchhoff,1824~1887),1845年,在他的第1篇論文中提出了適用於這種網路狀電路計算的兩個定律,即著名的基爾霍夫定律。該定律能夠迅速地求解任何複雜電路,從而成功地解決了這個阻礙電氣技術發展的難題。
基爾霍夫定律包括基爾霍夫第一定律和基爾霍夫第二定律,其中基爾霍夫第一定律即為基爾霍夫電流定律,簡稱KCL;基爾霍夫第二定律則稱為基爾霍夫電壓定律,簡稱KVL。
理論及計算
定義
基爾霍夫電流定律表明:
•所有進入某節點的電流的總和等於所有離開這節點的電流的總和。
或者,更詳細描述為:
•假設進入某節點的電流為正值,離開這節點的電流為負值,則所有涉及這節點的電流的代數和等於零。
以方程表達,對於電路的任意節點滿足:
基爾霍夫電流定律其中, i 是第 k 個進入或離開這節點的電流,是流過與這節點相連線的第 k 個支路的電流,可以是實數或複數。[4]
推導
由於累積的電荷(單位為庫侖)是電流(單位為安培)與時間(單位為秒)的乘積,從電荷守恆定律可以推導出這條定律。其實質是穩恆電流的連續性方程,即根據電荷守恆定律,流向節點的電流之和等於流出節點的電流之和。
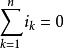
思考電路的某節點,跟這節點相連線有 n 個支路。假設進入這節點的電流為正值,離開這節點的電流為負值,則經過這節點的總電流 i 等於流過支路 k 的電流 i的代數和:
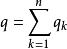
基爾霍夫電流定律將這方程積分於時間,可以得到累積於這節點的電荷的方程:
基爾霍夫電流定律
基爾霍夫電流定律
基爾霍夫電流定律其中,是累積於這節點的總電荷,是流過支路 k的電荷,t 是檢驗時間,t 是積分時間變數。
假設 q>0 ,則正電荷會累積於節點;否則,負電荷會累積於節點。根據電荷守恆定律,q 是個常數,不能夠隨著時間演進而改變。由於這節點是個導體,不能儲存任何電荷。所以,q=0 、i=0 ,基爾霍夫電流定律成立:
基爾霍夫電流定律含時電荷密度
從上述推導可以看到,只有當電荷量為常數時,基爾霍夫電流定律才會成立。通常,這不是個問題,因為靜電力相斥作用,會阻止任何正電荷或負電荷隨時間演進而累積於節點,大多時候,節點的淨電荷是零。
不過,電容器的兩塊導板可能會允許正電荷或負電荷的累積。這是因為電容器的兩塊導板之間的空隙,會阻止分別累積於兩塊導板的異性電荷相遇,從而互相抵消。對於這狀況,流向其中任何一塊導板的電流總和等於電荷累積的速率,而不是零。但是,若將位移電流納入考慮,則基爾霍夫電流定律依然有效。只有當套用基爾霍夫電流定律於電容器內部的導板時,才需要這樣思考。若套用於電路分析(circuit analysis)時,電容器可以視為一個整體元件,淨電荷是零,所以原先的電流定律仍適用。
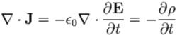
由更技術性的層面來說,取散度於麥克斯韋修正的安培定律,然後與高斯定律相結合,即可得到基爾霍夫電流定律:
基爾霍夫電流定律
基爾霍夫電流定律其中,J 是電流密度, 是電常數,E 是電場,ρ 是電荷密度。
這是電荷守恆的微分方程。以積分的形式表述,從封閉表面流出的電流等於在這封閉表面內部的電荷 Q 的流失率:
基爾霍夫電流定律基爾霍夫電流定律等價於電流的散度是零的論述。對於不含時電荷密度,該定律成立。對於含時電荷密度,則必需將位移電流納入考慮。
適用範圍
基爾霍夫定律建立在電荷守恆定律、歐姆定律及電壓環路定理的基礎之上,在穩恆電流條件下嚴格成立。當基爾霍夫第一、第二方程組聯合使用時,可正確迅速地計算出電路中各支路的電流值。由於似穩電流(低頻交流電) 具有的電磁波長遠大於電路的尺度,所以它在電路中每一瞬間的電流與電壓均能在足夠好的程度上滿足基爾霍夫定律。因此,基爾霍夫定律的套用範圍亦可擴展到交流電路之中。
科學家修正基爾霍夫電流定律
雖然物理定律不是隨便就可以推翻的,但是它們有時也需要修正。美國伊利諾斯大學電子和計算機工程教授米爾頓·馮和小尼克·侯隆亞克等研究人員通過開發出的三連線埠電晶體雷射器(three-port transistor laser),對基爾霍夫電流定律進行了修正。
伊利諾斯大學研究人員通過使用量子阱修改基區和諧振器的外形,把電晶體的工作方式由自發發射轉變為受激發射。電晶體複合工藝的改變使器件特性發生了變化,使其具有一種基本的、潛在的接近雷射器閾值的可用的非線性特性。三連線埠電晶體雷射器通過把電輸入信號轉變為兩個輸出信號——一個電信號和一個光信號,從而提供了新的信號混合和開關能力,把電晶體和雷射器的功能結合了起來。
但是,新增加的光輸出第三連線埠帶來了意想不到的難題,即在兩種能量輸出形式並存的情況下如何運用電荷守恆定律和能量守恆定律。
馮教授表示:“我們對此感到困惑。它是如何工作的?它是否違背了基爾霍夫定律?定律又如何適用於光子或光信號輸出的?”
侯隆亞克教授說:“光信號與電信號相連和相關,但在電晶體雷射器中光信號和電信號的關係則被解除。基爾霍夫定律照顧到了電荷平衡,卻沒有照顧到能量平衡。由此帶來的問題是,如何將該定律適用於所有情況,並以電路的語言將其表達出來。”
最終,三連線埠電晶體雷射器所表現的特性促使研究人員對基爾霍夫定律進行了再檢驗和修正,以使其能適用於解釋電子和光子,從而有效地將電流定律擴展為電流—能量定律。在2010年5月10日的《套用物理雜誌》網路版上,研究人員發表了有關的模型和支持數據。馮教授表示,過去的定律僅與從給定節點流出的電子相關,從不涉及能量守恆的問題。他說:“這是我們首次看到能量是如何參與到守恆過程中的。”
基於修正定律的計算機模型與從三連線埠電晶體雷射器收集的數據相符,可非常精確地預測出積體電路的頻寬、速度和其他特性。通過研究三連線埠電晶體雷射器中電子、光子和半導體的行為,研究人員將可開發出該器件在高速信號處理、積體電路、光通信及超級計算中的多種套用。

