定義
洛倫茲變換研究歷史
洛倫茲變換由麥克斯韋方程組可以得到電磁波的波動方程,由波動方程解出真空中的光速是一個常數。按照經典力學的時空觀,這個結論應當只在某個特定的絕對靜止的慣性參考系中成立,這個參考系就是以太。其它參考系中測量到的光速是以太中光速與觀察者所在參考系相對以太參考系的速度的矢量疊加。然而1887年的邁克耳孫-莫雷實驗測量不到地球相對於以太參考系的運動速度。1904年,洛倫茲提出了洛倫茲變換用於解釋邁克耳孫-莫雷實驗。根據他的構想,觀察者相對於以太以一定速度運動時,以太(即空間介質)長度在運動方向上發生收縮,抵消了不同方向上的光速差異,這樣就解釋了邁克耳孫-莫雷實驗的零結果。
1905年以前已經發現一些電磁現象與經典物理概念相牴觸,它們是:①邁克耳孫–莫雷實驗沒有觀測到地球相對於以太的運動。②運動物體的電磁感應現象表現出相對性——是磁體運動還是導體運動其效果一樣。③電子的慣性質量隨電子運動速度的增加而變大。此外,電磁規律(麥克斯韋方程組)在伽利略變換下不是不變的,即是說電磁定律不滿足牛頓力學中的伽利略相對性原理。修改和發展牛頓理論使之能夠圓滿解釋上述新現象成為19世紀末、20世紀初的當務之急。以H.洛倫茲為代表的許多物理學家在牛頓力學的框架內通過引入各種假設來對牛頓理論進行修補,最後引導出了許多新的與實驗結果相符合的方程式,如時間變慢和長度收縮假說、質速關係式和質能關係式,甚至得到了洛倫茲變換。所有這些公式中全都包含了真空光速。如果只為解釋已有的新現象,上述這些公式已經足夠,但這些公式分別來自不同的假說或不同的模型,而不是共同出自同一個物理理論。而且,使用牛頓絕對時空觀來對洛倫茲變換以及所含的真空光速進行解釋時卻遇到了概念上的困難。這種不協調的狀況預示著舊的物理觀念即將向新的物理觀念的轉變。在洛倫茲理論中,變換所引入的量僅僅是數學上的輔助手段,並不包含相對論的時空觀。愛因斯坦洞察到解決這種不協調狀況的關鍵是同時性的定義,而牛頓時空理論(或伽利略變換)中的時間沒有辦法在現實世界中實現。為使用光信號對鍾,愛因斯坦假定了單向光速是個常數且與光源的運動無關(光速不變原理)。愛因斯坦以觀察到的事實為依據,把伽利略相對性原理直接推廣為狹義相對性原理,立足於這兩條基本原理,著眼於修正運動、時間、空間等基本概念,重新導出洛倫茲變換,並賦予洛倫茲變換嶄新的物理內容。在狹義相對論中,洛倫茲變換是最基本的關係式,狹義相對論的運動學結論和時空性質,如同時性的相對性、長度收縮、時間延緩、速度變換公式、相對論都卜勒效應等都可以從洛倫茲變換中直接得出。如果速度v比光速с小很多,而且被觀察的物體的運動速度也比光速小很多,則洛倫茲變換就與伽利略變換近似一樣。對於日常的力學現象,使用伽利略變換就可以了。然而,對於運動物體的電磁現象,雖然物體的運動速度比光速小很多,但由於電磁相互作用的傳播速度是光速,所以仍必須使用洛倫茲變換。
數學形式
洛倫茲提出洛倫茲變換是基於以太存在的前提的,然而以太被證實是不存在的,根據光速不變原理,相對於任何慣性參考系,光速都具有相同的數值。愛因斯坦據此提出了狹義相對論。在狹義相對論中,空間和時間並不相互獨立,而是一個統一的四維時空整體,不同慣性參考系之間的變換關係式與洛倫茲變換在數學表達式上是一致的,即:
其中x、y、z、t分別是慣性坐標系S下的坐標和時間,x'、y'、z'、t'分別是慣性坐標系S'下的坐標和時間。v是S'坐標系相對於S坐標系的運動速度,方向沿X軸。
由狹義相對性原理,只需在上述洛倫茲變換中把v變成-v,x'、y'、z'、t'分別與x、y、z、t互換,就得到洛倫茲變換的反變換式:
洛倫茲變換是高速運動的巨觀物體在不同慣性參考系之間進行坐標和時間變換的基本規律。當相對速度v遠小於光速c時,洛倫茲變換退化為經典力學中的伽利略變換:
x'=x-ut y'=y z'=z t'=t
所以,狹義相對論與經典力學並不矛盾,狹義相對論將經典力學擴展到了巨觀物體在一切運動速度下的普遍情況,經典力學只是相對論在低速時(v遠小於c)的近似情況。一般在處理運動速度不太高的物體時(如天體力學中計算行星的運行軌道),不需考慮到相對論效應,因為用相對論進行處理時計算往往變得非常繁瑣,而結果與經典情況相差不大。當處理高速運動的物體時,比如高能加速器中的電子,則必須要考慮相對論效應對結果帶來的修正。
解釋
在相對論以前,亨德里克·洛倫茲從存在絕對靜止以太的觀念出發,考慮物體運動發生收縮的物質過程得出洛倫茲變換。在洛倫茲理論中,變換所引入的量僅僅看作是數學上的輔助手段,並不包含相對論的時空觀。愛因斯坦與洛倫茲不同,以觀察到的事實為依據,立足於兩條基本原理:相對性原理和光速不變原理,著眼於修改運動、時間、空間等基本概念,重新導出洛倫茲變換,並賦予洛倫茲變換嶄新的物理內容。在狹義相對論中,洛倫茲變換是最基本的關係式,狹義相對論的運動學結論和時空性質,如同時性的相對性、長度收縮、時間延緩、速度變換公式、相對論、都卜勒效應等都可以從洛倫茲變換中直接得出。提出背景
19世紀後期建立了麥克斯韋方程組,標誌著經典電動力學取得了巨大成功。然而麥克斯韋方程組在經典力學的伽利略變換下並不是協變的。
由麥克斯韋方程組可以得到電磁波的波動方程,由波動方程解出真空中的光速是一個常數。按照經典力學的時空觀,這個結論應當只在某個特定的慣性參照系中成立,這個參照系就是以太。其它參照系中測量到的光速是以太中光速與觀察者所在參照系相對以太參照系的速度的矢量疊加。然而1887年的邁克耳孫-莫雷實驗測量不到地球相對於以太參照系的運動速度。1904年,洛倫茲提出了洛倫茲變換用於解釋邁克耳孫-莫雷實驗的結果。根據他的構想,觀察者相對於以太以一定速度運動時,長度在運動方向上發生收縮,抵消了不同方向上由於光速差異,這樣就解釋了邁克耳孫-莫雷實驗的零結果。
洛倫茲變換是狹義相對論的數學基矗它是人類創造的數學符號(概念)之間的邏輯聯繫的推演結果,並不涉及所包含的概念與經驗客體之間的關係。作為數學推演的結果,它幾乎是“完美的”,然而將它不恰當的用來規定客觀世界的演變時,客觀世界就被扭曲成奇形怪狀。這種數學推演可以是多途徑的,多結果的。愛因斯坦先生在《狹義與廣義相對論淺說》一書中提出了他的推演方法。下面的推演方法——鏇轉時空坐標法,可以得到兩種結果。作為一種智力遊戲,或曰腦力操,介紹給讀者,願你度過一段愉快的思考時間。
按照愛因斯坦相對論,當我們用虛量來代替通常的時間坐標後,時間坐標的作用就與三個空間坐標(x,y,z)的作用完全一樣地進入自然界定律中,在形式上,這四個坐標就與歐幾里得幾何學中的三個空間坐標完全相當,愛因斯坦的時空幾何公式看來就跟歐幾里得幾何公式一樣美好。由此,我們能得到狹義相對論中兩個伽利略坐標系之間時空量值的變換方程——洛倫茲變換。
狹義相對論
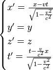
狹義相對論中兩個作相對勻速運動的慣性參照系(S和S')之間的坐標變換,若S系的坐標軸為x、y 和z,S'系的坐標軸為 x'、y'和z'。為了簡單, 讓x、y和z 軸分別平行於x'、y'和z'軸, S'系相對於S系以不變速度υ沿x軸的正方向運動,當t=t'=0時, S和S'系的原點互相重合。同一個物理事件在 S系和S'系中的時空坐標由下列關係式相聯繫 
y'=y
z'=z
其中с是真空中的光速。這個關係式稱為洛倫茲變換。它反映了空間和時間的密切聯繫,是狹義相對論中最基本的關係。由這個式子可以導出狹義相對論的許多重要結果,例如長度收縮、時間變慢、同時性的相對性和速度相加定律等等。如果速度υ比光速с小很多,而且被觀察的物體的運動速度也比光速小很多,那么洛倫茲變換就與伽利略變換近似一樣。因而,對於日常的力學現象,使用伽利略變換就可以了。然而,對於運動物體的電磁現象,雖然物體的運動速度比光速小很多,但由於電磁相互作用的傳播速度是光速,所以仍必須使用洛倫茲變換。
初等數學推導
基本公理
狹義相對性原理:一切物理定律(力學定律、電磁學定律以及其他相互作用的動力學定律)在所有慣性系中均有效;或者說,一切物理定律的方程式在洛倫茲變換下保持數學形式不變。
光速不變原理:單向光速是個常數且與光源的運動無關。換言之,在所有慣性系中,真空中的光速不變。
推導過程
洛倫茲變換可以由狹義相對性原理和光速不變原理推導出來。下面根據這兩個基本原理,推導坐標的變換式。
構想有兩個慣性坐標系S系、S'系,S'系的原點O'相對S系的原點O以速率v沿X軸正方向運動。任意一事件在S系、S'系中的時空坐標分別為(x,y,z,t)、(x',y',z',t')。t、t'分別是S系和S'系時刻。兩慣性坐標系重合時,分別開始計時.
若x=0,則x'+vt'=0。這是變換須滿足的一個必要條件,故猜測任意一事件的坐標從S'繫到S系的變換為
x=γ(x'+vt')
式中引入了常數γ,命名為洛倫茲因子。
引入相對性原理,即不同慣性系的物理方程的形式應相同。故上述事件坐標從S繫到S'系的變換為
x'=γ(x-vt)
y與y'、z與z'的變換可以直接得出,即
y'=y(3)
z'=z(4)
把(2)代入(1),解t'得
t'=γt+(1-γ2)x/γv(5)
在上面推導的基礎上,引入光速不變原理,以尋求γ的取值。
由重合的原點O(O')發出一束沿X軸正方向的光,設光束的波前坐標為(X,Y,Z,T)、(X',Y',Z',T')。根據光速不變原理,有
X=cT(6)
X'=cT'(7)
相對論的光速不變原理得出:坐標值X等於光速c乘時刻T,坐標值X'等於光速c乘時刻T'。(1)(2)相乘得
xx'=γ2(xx'-x'vt+xvt'-v2tt')(8)
以波前這一事件作為對象,則(8)寫成
XX'=γ2(XX'-X'VT+XVT'-V2TT')(9)
(6)(7)代入(9),化簡得洛倫茲因子
γ=(1-(v/c)2)-1/2(10)
(10)代入(5),化簡得
t'=γ(t-vx/c2)(11)
把(2)、(3)、(4)、(11)放在一起,即S繫到S'系的洛倫茲變換
x'=γ(x-vt),
y'=y,
z'=z,
t'=γ(t-vx/c2)
根據相對性原理,由(12)得S'繫到S系的洛倫茲變換
x=γ(x'+vt'),
y=y',
z=z',
t=γ(t'+vx'/c2)(13)
洛倫茲變換結合動量定理和質量守恆定律,可以得出狹義相對論的所有結論。
愛因斯坦在1905年提出的狹義相對論(一種新的平直時空理論),出發點是兩條基本假設:狹義相對性原理和光速不變原理。理論的核心方程式是洛倫茲變換。狹義相對論預言了牛頓經典物理學所沒有的一些新效應(相對論效應),如時間膨脹、長度收縮、橫向都卜勒效應、質速關係、質能關係等,它們已經獲得大量實驗的直接證明。狹義相對論已經成為現代物理理論的基礎之一:一切微觀物理理論(如基本粒子理論)和巨觀引力理論(如廣義相對論)都滿足狹義相對論的要求。這些相對論性的動力學理論已經被許多高精度實驗所證實。
洛倫茲簡介
洛倫茲亨德里克·洛倫茲(HendrikAntoonLorentz),1853年7月18日出生於荷蘭阿納姆附近。
1870年考入萊頓大學學習數學和物理學。
1875年獲得博士學位。25歲起任萊頓大學理論物理學教授。
1880年洛倫茲以很高的精度測定了熱功當量,得到的結果是426.2kg*m/kcal。
1881年他根據霍耳效應解釋了磁致鏇光現象,推導出羅蘭磁致鏇光方程與麥克斯韋鏇光方程等價。洛倫茲最重要的貢獻是補充和發展了經典電磁理論
1896年創立了經典電子論,很好地解釋了物質中的一系列電磁現象以及物質在電磁場中運動的一些效應。
1896年洛倫茲的學生塞曼發現了原子光譜在磁場中的分裂現象,即塞曼效應。隨後洛倫茲利用經典電磁理論解釋了正常塞曼效應。
由於在磁光效應方面的發現,洛倫茲與塞曼共同獲得1902年的諾貝爾物理學獎。除此之外,洛倫茲還確定了電子在磁場中所受的力,即“洛倫茲力”。
1904年為解釋邁克耳孫-莫雷實驗的結果,洛倫茲提出了洛倫茲變換和質量與速度關係式,使麥克斯韋方程組從一個慣性系變換到另一個慣性系時能夠保持不變,為愛因斯坦創立狹義相對論奠定了基礎。
1928年2月4日,洛倫茲在哈勒姆逝世。在葬禮當天,荷蘭全國電訊、電話中止3分鐘,以哀悼位享有盛譽的科學家。愛因斯坦在悼詞中稱洛倫茲是“我們時代最偉大、最高尚的人。”為紀念洛倫茲的貢獻,荷蘭政府決定從1945年起把每年他的生日那天定為“洛倫茲節”。

