簡介
等效原理等效原理:引力的最基本的物理性質。
在任何一個時空點上都可以選取適當的參考系,使一切物質的運動方程中不再含有引力項,即引力可以局部地消除。如果認為這種消除了引力的參考系是慣性系,那么,等效原理告訴我們,在任何一個時空點,一定存在局部慣性系。伽利略最早注意到,不同物體沿斜面的下滑運動是一樣的,即引力加速度與物體的組成無關。牛頓根據單擺周期的測量發現,周期只與擺長有關,而與擺錘的質量和材料無關。這些結果都表明,任何物體的引力質量與慣性質量之比都是一樣的。十九世紀末,匈牙利物理學家厄缶作了更精確的實驗,把精度提高到10。二十世紀六十年代以來,這個實驗的精度又逐步提高到10和10。根據這個性質,只要選擇適當的參考系,在所有力學方程中,引力與慣性力都可相互抵消掉。這個性質稱為弱等效原理。再進一步推廣,在這參考系中,力學方程和一切運動方程中的引力作用都被抵消掉,這就是等效原理,或稱為強等效原理。
地位
當代對等效原理的檢測等效原理(或等價原理),尤其是強等效原理,在廣義相對論的引力理論中居於一個極重要的地位,它的重要性首先是被愛因斯坦分別在1911年的《關於引力對光傳播的影響》及1916年的《廣義相對論的基礎》中被提出來。
1907年,愛因斯坦撰寫了關於狹義相對論的長篇文章《關於相對性原理和由此得出的結論》,在這篇文章中愛因斯坦第一次提到了等效原理,此後,愛因斯坦關於等效原理的思想又不斷發展。他以慣性質量和引力質量成正比的自然規律作為等效原理的根據,提出在無限小的體積中均勻的引力場完全可以代替加速運動的參照系。愛因斯坦並且提出了封閉箱的說法:在一封閉箱中的觀察者,不管用什麼方法也無法確定他究竟是靜止於一個引力場中,還是處在沒有引力場卻在作加速運動的空間中,這是解釋等效原理最常用的說法,而慣性質量與引力質量相等是等效原理一個自然的推論。
由於等效原理能夠使我們在加速運動現象中找到狹義相對論的“慣性系”,因此,這個原理的存在,使狹義相對論的定律能夠被推廣到非慣性運動中,使狹義相對論與廣義相對論聯繫起來。
通過等效原理,我們可以推導出:越大的加速度,就會使有質量的物體受到越大的重力(引力),那么達不到光速就是因為我們在那之前會受到無窮大阻力,也同樣可以推導出,接近光速的超快速度會使時間變慢,在大引力場中就同樣會使時間變慢,以至於在黑洞中時間停止。
等效原理和協變性原理直接導致了廣義相對論的出現,廣義相對論已在很多實驗和觀測上取得成功。 當然,廣義相對論並非最終的真理(就像牛頓力學一樣),但是廣義相對論仍被科學界認為是至今少有的完美的成功的理論。
等效原理共有兩個不同程度的表述:弱等效原理及強等效原理。
對此原理,愛因斯坦曾如是說:“我為它的存在感到極為驚奇,並且猜想其中必有一把可以更深入了解慣性和引力的鑰匙。”
弱等效原理
實驗斷定
弱等效原理原是指觀測者不能在局部的區域內分辨出由加速度所產生的慣性力或由物體所產生的引力,而它是由引力質量與慣性質量成正比例這一事實推演出來,這個關係首先是由伽利略及牛頓用一系列的實驗斷定出來。
伽利略及牛頓的實驗
早在17世紀,伽利略已利用物體從斜面滾下不同的距離所需要的時間,去證明物體於地球上的自由下落的加速度是一個常量;另外,伽利略亦發現單擺的周期只與擺長有關,而與擺錘的質料無關。稍後的牛頓則做了兩個等長而同形狀的單擺,其中一個的擺錘是用金做的;而另一個擺錘用等重的銀、鉛、玻璃、沙等不同物料製成。而牛頓在多次實驗均未能觀察到它們之間的周期差異。
從牛頓力學來說,質量本身被付予兩種不同的意義:一個從動力學方程式(牛頓第二定律)引入: f=ma
是指慣性質量,代表著物體運動的慣性,即是物體抵抗運動變化的程度;另一方面,從牛頓萬有引力定律:
牛頓萬有引力定律:可知是代表物體引力大小的一個參數,稱作引力質量。至此可從定量分析去理解兩種不同物理量的關係:從斜面的落體運動分析,可知
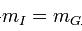
兩種不同物理量的關係由於實驗結果是:自由下落的加速度是一個常量,所以:
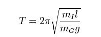
實驗結果但這個實驗的精確度不及單擺那么高,從小幅單擺的分析可知:
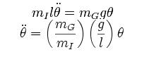
小幅單擺的分析結果則周期則表示為:
周期表示由於實驗的結果是:單擺的周期只與擺長有關,而與擺錘的質料無關;所以牛頓以
單擺的周期只與擺長有關的精確度於1680年接受了
結論的結論。在牛頓之後,厄阜於1890年25年間,以鉑為基準用八種不同的材料去進行攏扭實驗,去測量引力質量與慣性質量的比例與1的偏離,從實驗的精確度,厄阜的結論是:
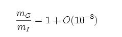
厄阜的結論到了1962年,迪克改進了厄阜攏扭實驗之精確度至10 − 11;到了1971年,布拉金斯基及潘洛夫等人又將實驗之精確度推至10 − 12。此外還有別的科學家用實驗測定了原子和原子核的結合能所對應的引力質量與慣性質量之比,亦沒有發現對1之偏離(雖精確度不及厄阜攏扭實驗)。因此,在目前的精確度甚高之下,可證實:從兩種質量的觀念上來說,他們是本質不同的物理量;但如果兩者的值之比例對一切物體相同,在實用上可把他們當同一個量來對待(即是物體的質量),這就是引力質量與慣性質量成正比例;在適當的單位制下,即令比例常數成為1,引力質量與慣性質量相等。
到了1962年,迪克改進了厄阜攏扭實驗之精確度至10 − 11;到了1971年,布拉金斯基及潘洛夫等人又將實驗之精確度推至10 − 12。此外還有別的科學家用實驗測定了原子和原子核的結合能所對應的引力質量與慣性質量之比,亦沒有發現對1之偏離(雖精確度不及厄阜攏扭實驗)。因此,在目前的精確度甚高之下,可證實:
證實結論從兩種質量的觀念上來說,他們是本質不同的物理量;但如果兩者的值之比例對一切物體相同,在實用上可把他們當同一個量來對待(即是物體的質量),這就是引力質量與慣性質量成正比例;在適當的單位制下,即令比例常數成為1,引力質量與慣性質量相等。
愛因斯坦的思想實驗
自牛頓至愛因斯坦的200餘年間,人們對引力質量及慣性質量相等的事只是當成偶然的事件,並沒有深刻去研究,直至愛因斯坦完成狹義相對論後,要處理引力理論和相對性原理的調和問題,方始注意。愛因斯坦曾說:引力場中一切物體都具有同一的加速度,這條定律也可表述為慣性質量同引力質量相等,它當時就使我認識到它的全部重要性。我為它的存在感到極為驚奇,並且猜想其中必有一把可以更深入了解慣性和引力的鑰匙。
愛因斯坦用一個假想實驗來說明:在遙遠的宇宙深處(慣性參考系),有一個密封的太空船在 + z方向向上加速,其加速度為9.8ms − 2,假設密封的太空船內有一個太空人及一個鉛球,該太空人在太空船內拿起一塊鉛球,他感受到鉛球有重量;不單如此,他自己亦感受到自身有重量,他認為這有兩個可能性:一是太空船在太空中正在 + z方向向上(相對於太空人)加速,雖然附近沒有任何星球或重力場,太空人仍會感覺到因鉛球及自身的慣性關係有下墜的傾向,這就是慣性力。另一個可能性是太空船可能停在一顆行星上,其引力場強度是9.8Nkg − 1,它利用萬有引力來拉扯著鉛球及自己,使他感到鉛球及自己的重量。
另一個假想實驗是:在大廈內的升降機不幸地斷了鋼索,升降機正以加速度9.8ms − 2向下加速,假設升降機槽無限長,升降機內有乘客及一個鉛球,裡面的乘客可觀察到鉛球及自己會浮在半空,即是“失重”。他認為這有兩個可能性:一是升降機在升降機槽中正在 − z方向向上(相對於升降機槽)加速,乘客及鉛球正跟著升降機加速。另一個可能性是升降機可能在遙遠的宇宙深處,其引力場強度是0Nkg − 1,沒有萬有引力來拉扯著鉛球及自己,使他感受不到鉛球及自己的重量;由於乘客認為沒有任何力施加在自己及鉛球上,所以加速度為0ms − 2,是慣性參考系。現在可從定量的分析去討論上述兩種情況,從第一個假想實驗可知:
第一個假想實驗公式由於:
公式所以法向反作用力相同,密封太空船內的太空人不可能分辨出重力所做成的重量或由慣性做出的“重量”。由第二個假想實驗可知:
第二個假想實驗公式由於:
公式及法向反作用力R=0(任何物體沒有與升降機接觸),升降機內的乘客不可能分辨出加速度所抵消的引力場強度(假慣性參考系)或由真正為零的引力場強度及加速度(真慣性參考系)。由此可見,無論任何動力學方法,只要有:
公式是不能分辨引力場強度及加速度的動力學效應;甚或至是慣性參考系和非慣性參考系的動力學效應都是不能分辨,其中的兩類觀察者都是能用各自的方式去正碓描述事實,所以這兩種分析方法是等效的,這就是弱等效原理。
強等效原理
強等效原理是指在時空區域的一點內的引力場可用相應的局域慣性參考系去描述,而狹義相對論在其局域慣性參考系中完全成立。
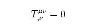
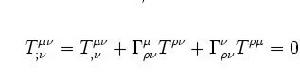
弱等效原理並不能推演出強等效原理,而只是弱等效原理的一個抽象結果。利用廣義相對論幾何方式(時空度規張量、時空曲率張量)去描述引力(引力場強度、引力勢)的基礎即在此原理之上。由於引力場本身是與引力場源的距離有關,形成了引力場在時空分布中並不均勻,是不能用一個全域的加速參考系去描述,即是用一個全域的加速參考系去抵消各時空點上的引力。但每一點的引力場是有一個相應的引力場強度,可用有一個與之相等的加速度(相對於靜止的觀察者)的局域的加速參考系,亦即是局域慣性參考系(相對於加速的觀察者)去描述,即是用一個局域的加速參考系去抵消各相應的時空點上的引力,然後將各個局域慣性參考系的關係統合起來(即是曲率和能動張量的關係),就可對全域的時空作抽述(例如運動定律)。例如在狹義相對論中成立的能量-動量守恆定律有以下的形式:
動量守恆定律的形式在廣義相對論中有以下的形式:
廣義相對論中的形式後兩項可看作加速度或引力場對守恆定律的影響。
實驗驗證
等效原理的實驗驗證
16世紀伽利略在義大利進行了著名的比薩斜塔實驗。數百年來,物理學家進行了眾多實驗對等效原理進行檢驗。1971年,執行阿波羅15號登月任務的太空人大衛·斯科特在月球上當著電視攝像機的面,將錘子和羽毛同時扔出,兩樣東西同時掉到了月球表面。他喊到:“你們知道嗎?伽利略先生是正確的。”
當代測量雷射從月球反射回到地球的時間得到的結果是等效原理在10-12的精度上成立。法國計畫在2010年發射MICROSCOPE衛星,測量精度可達10-15。義大利計畫發射伽利略·伽利雷衛星(GG)將在10-17的精度上對等效原理進行檢驗。史丹福大學和一個國際研究小組合作的等效原理衛星檢測(STEP)計畫測量精度將達到10-18。

