基本信息
萬有引力定律是艾薩克·牛頓在1687年於《自然哲學的數學原理》上發表的。牛頓的普適萬有引力定律表示如下:任意兩個質點通過連心線方向上的力相互吸引。該引力的的大小與它們的質量乘積成正比,與它們距離的平方成反比,與兩物體的化學本質或物理狀態以及中介物質無關。萬有引力定律是解釋物體之間的相互作用的引力的定律。是物體(質點)間由於它們的引力質量而引起的相互吸引力所遵循的規律
概述
萬有引力(Gravitation)又名重力(Gravity)或重力相互作用(中國大陸常簡稱為引力,台灣在物理學場合下多稱為重力)。
在物理學上,萬有引力或重力是指具有質量的物體之間加速靠近的趨勢。萬有引力即重力相互作用是自然界的四大基本相互作用之一,另外三種相互作用分別是電磁相互作用、弱相互作用及強相互作用。萬有引力是上述相互作用中作用力最微弱的,但是在超距上萬有引力仍然具有吸引力的作用。
在經典力學中,萬有引力被認為來源於重力的力的作用。(Gravity即重力亦通常被用作gravitation即萬有引力的同義詞)。在廣義相對論上,萬有引力來源於存在質量對時空的扭曲,而不是一種力的作用。在量子重力中,引力微子被假定為重力的傳送媒介。
在地球上重力的吸引作用賦予物體重量並使它們向地面下落。此外,萬有引力是太陽和地球等天體之所以存在的原因;沒有萬有引力天體將無法相互吸引形成天體系統,而我們所知的生命形式也將不會出現。萬有引力同時也使地球和其它天體按照它們自身的軌道圍繞太陽運轉,月球按照自身的軌道圍繞地球運轉,形成潮汐,以及其它我們所觀察到的各種各樣的自然現象。
萬有引力理論的歷史
在古代和中世紀,萬有引力被認為是位置的一種性質,而不是物質的性質。
從公元前4世紀的希臘哲學家亞里士多德(Aristotle)起,歷史上對萬有引力就有著眾多的猜想或解釋。亞里士多德認
引力定律為沒有起因就沒有結果,因此沒有力的作用的運動是不存在的。他推斷在水晶球模型中,所有物體都有朝它們正確的位置靠近的趨勢,並且物體按他們自身的重量的比例向地球的中心墜落。在公元628年,印度天文學家婆羅摩笈多(Brahmagupta)首先認識到重力是一種吸引力的作用。他解釋說:“物體向地球墜落是因為地球對物體自然地吸引,就如同水自然地流動一般”(bodies fall towards theearth as it is in the nature of theearth to attract bodies,just as it is in the nature of water to flow)。他用了一個梵語術語“gruhtvaakarshan”代表重力,在發音上,與英語中的“gravity”相像,並且都表示同一個意思“吸引力”。婆羅摩笈多亦堅持阿里亞哈塔(Aryabhata)於公元499年提出的以萬有引力維持的太陽為中心的太陽系觀點。因此,他理解到了太陽和地球之間存在著一種吸引力的作用。
從17世紀起,科學家把萬有引力看作是物質的一個屬性。一個物體吸引另一個物體的力量大小,視物體所含物質的多少和隔開它們的距離而定,這種力量是相互作用的。哥白尼(Nicolaus Copernicus)認為萬有引力是物質集聚的一種方式,萬有引力的中心是一個幾何性質的點。
1600年威廉·吉爾伯特(William Gilbert)提出磁力可能是維持太陽系存在的原理。他構想萬有引力就是地球這塊龐大磁石作用於周圍物體的磁力,而且遍及整個太陽系,成為宇宙的外膜。吉爾伯特證明,磁石對一塊鐵的吸力大小視磁石的大小而定,磁石越大,對鐵塊的吸力也越大。而且吸引是互相作用的,磁石吸鐵,鐵也同樣吸引磁石。他的研究為近代引力觀念提供了一個模型。萬有引力的中心並不是什麼幾何點,而是具體的一堆物質,它的力量隨著物質數量的增加而增加。
克卜勒(Johannes Kepler)發展了吉爾伯特的萬有引力觀念,他假定萬有引力是和磁力類似的東西,是同性物體之
引力定律間的一種相互感應,這種力視物體的大小而定。
在這些基礎上,英國數學家艾薩克·牛頓爵士(SirIsaacNewton)於1687年發表了著名的《原理》一書,第一次假定了萬有引力定律。他寫道:“我推斷這種使行星圍繞既定軌道運動的力一定與它們與繞軸轉動中心的距離平方成反比;而依此將使月球圍繞她的軌道運動的力與地表的重力進行比較之後,發現它們的結果是如此的接近。”(I deduced that the forces which keep the planets in their orbs must be reciprocally as the squares of their distances from the centers about which they revolve;and there by compared the force requisite to keep the Moon in her orb with force of gravit yat the surface of the Earth;and found them answer pretty nearly.)絕大多數現代非相對論性萬有引力的計算都賴以牛頓當年的工作。
牛頓萬有引力定律
在1687年,牛頓在他的《自然哲學的數學原理》一書中發表了萬有引力定律。牛頓的萬
引力定律有引力定律的陳述如下:宇宙中每個質點都以一種力吸引其它各個質點。這種力與各質點的質量的乘積成正比,與它們之間距離的平方成反比。(every particle in the universe attracts every other particle with aforce that is directly proportional to the product of their masses and inversely proportional to the square of the distance between them.)如果這些質點具有質量m1、m2,並且在它們之間具有距離r(它們質心的連線長度),它們之間以萬有引力相互作用的量值如下:
引力定律F= G是被稱為萬有引力常數(重力常數)的普遍常數。
注1:只有當兩個物體之間的距離遠大於物體的幾何尺寸時,物體可以近似看作質點,這個公式才是適用的。否則應當把物體分割為足夠小的質點,兩兩之間計算引力,而後進行積分。
注2:對於物體內質點所受到的系統引力同樣不適用此公式,但是可以利用它作為基礎公式,利用微分與積分計算出內部引力公式,類如均勻球體內引力公式是可以推到出來的,結果如下
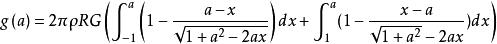
模型地球引力圖
引力定律計算結果為:
引力定律以上是根據以上公式把地球按不同密度與半徑的球體疊加後的引力模型圖
引力定律核心區與地幔那個引力最強,由地球發展相關,暫時無法確認,模型可能不同於實際,至少峰值取不會沒有過渡,總體上引力分布呈雙正太的啞鈴形分布,一個是密度的基本正太分布,另一個是距離對於力的大小的正太分布,密度趨於標準正太,而引力趨於偏正太分布,內引力與內反引力同時存在,而反引力卻近似於線性,反引力是奇函式,計算時很容易混為一體,它們在地表數值是相等的,而在核心區,反引力卻趨於零。有萬有作用力對於球形自身產生的反引力為g=g0*x/R,它不足以對抗引力本身
地球引力最強的地方是地核,最弱的地方是各層的過度層分別在幾個過渡層間,地球表面引力沒有達到其標準值,只有標準值的0.99左右,這是由其密度分布決定的,核心區引力最強,它有核心的核,電等力去平衡的,並非人們想像中得為零。。。。
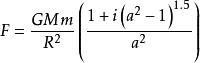
萬有引力推廣公式
綜合內引力與球外引力公式,我們大體上確認萬有引力的普遍公式為:a=r/R
引力定律當a>1時公式變成複函數形式
引力定律虛部為法向引力分量,通常我們感知是實部引力分量。如果我們對於引力積分,會得到一個勢能變化量,把實部加虛部能量變化量後,總能量不會超過mc^2,由此我們能夠計算出地球引力場與引力輻射場的分界半徑Lmax,
大約3.4185億公里光約需要19分鐘的距離,此半徑以外地球引力場表現為能量輻射場,這也是地球引力輻射半徑,范艾倫輻射帶有關聯,應該是電磁輻射,通過計算引力輻射半徑依然不同於引力輻射,這個巧合似乎對於此公式有一些印證,但是它依然只是只是雷同,按此推理范艾倫輻射帶屬於另一類強作用力基於此種類型的結果,因為所以有質量的粒子均不可能達到光速,所以這個理論距離會縮短,這個半徑以外的物體不會受到引力牽引作用。。。半徑以內的任何有作用的物體,最終還會回歸地球. 不過如此推理需要驗證才能最終定論。
如果結論被驗證,我們同理可以計算庫倫力的引力場半徑,也就是電磁輻射半徑,它的形成機制是同一的。
愛因斯坦萬有引力理論
牛頓的萬有引力的概念和量化一直持續到了20世紀初,直到相對論證明了其在超距作用上的觀點站不住腳了之後。在廣義相對論中,誕生於德國的物理學家阿爾伯特·愛因斯坦(Albert·Einstein)對萬有引力進行了全新的解釋。愛因斯坦認為:存在的物質對四元時空的扭曲,產生了牛頓以某些吸引力為原因解釋的所謂天體按照測量出的彎曲軌道運行的宇宙。
相關內容
地心引力
各個行星天體,包括地球,都具有其自身的萬有引力特性,特別是在水平面上所測量出的萬有引力特性。地球表面的重力加速度被表示為g,近似地等於9.81m/s²或者32.2ft/s²。這表明,如果忽視空氣阻力的影響,在地表附近正在自由落體的物體速度每秒將增加9.81m/s(大約22mph)。因此,一個從靜止開始下落的物體在一秒後的速度將達到9.81m/s,第二秒將達到19.62m/s,以後的情況也將依此類推。地球同時也受到下落的物體等值反向的力的作用,意味著地球也將加速向物體運動。但是,由於地球巨大的質量,這個加速度小到難以察覺。
引力定律自由落體方程組
在一般情況下,物體因不變的重力持續作用而運動時,一組動力學方程組可描述它運動的軌道。例如,牛頓萬有引力定律給出了一個簡單的方程F=mg,其中m代表物體的質量。當物體自由落體向地球的距離可以以我們日常用到的距離衡量時,這個猜想是合理的;但若用於對大距離譬如宇宙飛船的軌道進行計算時,這將導致極大的誤差。
萬有引力和天文學
牛頓的萬有引力定律的發現和套用被用於計算和了解我們的太陽系內各個行星的詳細信息、太陽的質量、恆星間的距離,甚至被用於推測暗物質理論。儘管人類還沒有去過太陽和其它星球,我們都可以知道它們的質量。這些都是通過萬有引力定律研究得出的。在空間中任何物體都按照一定的軌道圍繞某些大質量物體運轉,它們之間的萬有引力保持著它們的軌道。行星圍繞恆星運轉,恆星圍繞星系中心運轉,星系圍繞星團中心運轉,星團圍繞超星系團運轉。
萬有引力和基本相互作用
在上個世紀,另外三大基本相互作用:強相互作用、弱相互作用和電磁相互作用的產生機制已經通過載力粒子的觀念加以解決。現在人們正在嘗試將載力粒子、相對論與萬有引力聯合成為一個統一的整體。因此,重力相互作用是如何與其它三個基本作用互相影響的是一個未決問題。
引力定律重力和萬有引力
必須特別注意的是,在某些文獻中,萬有引力(gravitation)在本質上並不等於重力(gravity)。萬有引力所描述的現象並不依賴於其它特殊的原因。一些理論認為有可能萬有引力的存在不取決於力的作用;依照於廣義相對論,這的確是正確的。普遍上“重力”和“萬有引力”可以互換使用,或者以“重力”特別代表地球產生的吸引力,用“萬有引力”代表普遍意義上的物質間的相互吸引力。在專業使用上,“萬有引力”是指物體加速靠近另一個物體的趨勢,“重力”則是某些理論用於解釋導致這種加速行為的“力”。
在17世紀艾薩克·牛頓闡明他的萬有引力定律前,大多數人對重力並不了解。儘管牛頓萬有引力定律已被愛因斯坦的廣義相對論上更進一步的解釋所取代,但由於牛頓的理論非常簡明,且在一般情況下所得結果的準確性與廣義相對論並無差別,因此在許多日常實際套用中仍廣泛使用。雖然科學界對大多數重力的性質已經了解,但萬有引力的形成原因仍是一個未決的問題,因而重力研究還是科學上的一個重要課題。
套用
1856年修建的愛荷華州迪比克散彈塔極大數量的機械發明的正常運行在某種程度
上依賴於重力而實現。例如,高度差可以提供有用的液壓,這是靜脈滴注和水塔的運作原理。利用水的重力勢能發電的水力發電裝置亦可以這種能量將電車推上斜坡。同樣,纜繩上懸掛的重物可通過滑輪使纜繩及纜繩位於滑輪另一邊的那一部分持續地繃緊。
還有更多的例子:比如說熔鉛,當鉛水從散彈塔的頂端灌入後,會變成一顆顆如雨點一般散落的鉛彈——首先被分離成為多個小液滴,形成熔融狀態的球體,之後逐漸凝固為固體,並在被眾多相同的熔融石的共同作用下,最終在自由落體中冷卻形成球形或近球形。重力驅動時鐘由重力勢能提供運行的能量,擺鐘則依賴於重力來校準時間。人造衛星的正常運行則是運用牛頓《原理》計算的結果。
牛頓定律的局限性
當牛頓非凡的工作使萬有引力定律能夠為數學公式所表示後,他仍然不滿於公式中所隱含的“超距作用”觀點。他從來沒有在他的文字中“賦予產生這種能力的原因”。在其它情況下,他使用運動的現象來解釋物體受到不同力的作用的原因,但是對於重力這種情況,他卻無法用實驗方法來確認運動產生了重力。此外,他甚至還拒絕對這個由地面產生的力的起因提出假設,而這一
引力定律切都違背了科學證據的原則。
牛頓對重力的發現埋葬了“哲學家至今仍在愚蠢地試圖探索自然”(philosopher shave hitherto attempted these archof nature invain)這句所謂的真理,就同他深信著的“有各種因素”使得“各種迄今未知的原因”是所有“自然現象”的基礎。這些基本的現象至今仍在研究中,而且,雖然存在著許多種的假設,最終答案仍然沒有找出。雖然愛因斯坦的假設的確比牛頓的假設更能精確地解釋確定案例中萬有引力的作用效果,他也從來沒有在他的理論中為這種能力賦予一個原因。在愛因斯坦的方程式中,“物質告訴空間怎么扭曲,空間告訴物質怎么移動”(matter tells space how to curve,and space tells matter how to move),但是這個完全異於牛頓世界的新的思想,也不能使愛因斯坦所賦予“產生這種能力的原因”比萬有引力定律使牛頓所賦予的原因更能使空間產生扭曲。
牛頓自己說:我還沒有能力去從現象中發現產生這些重力特性的原因,而且我無法臆測……我所解釋的定律和豐富的天體運動的計算已經足夠於說明重力的確存在並能產生效果。一個物體可以不通過任何介質穿過真空間的距離對另一個物體產生作用,在此之上它們的活動和力可以傳送自對方,這對於我來說簡直就是一個天大的謬論。因此,我相信,任何有足夠的哲學思維能力的人都不會沉溺於此。
如果科學最終能夠發現重力產生的原因的話,牛頓的希望也將最終被實現。
可供參考的理論
歷史上的各種理論
1.亞里士多德重力理論
2.尼可拉·特斯拉(Nikola Tesla)宣布但是從未發表的重力動力學理論;部分原因是因為理論的細節(如果有的話)並沒有透露,並沒有得到物理學家們的重視。
3.感應重力(Induced Gravity),由安德烈·薩哈羅夫(Andrei Sakharov)提出,認為廣義相對論可能起源於量子場論。
雷薩吉萬有引力理論(LeSage's Theoryof Gravitation)(也叫做雷薩吉重力理論),由喬治-劉易斯·雷薩吉(Georges Louis LeSage)提出,以一種充滿整個宇宙輕的氣體的流動來解釋這種現象。
4.Nordström萬有引力理論(Nordström's Theoryof Gravitation),廣義相對論的早期競爭者。
5.懷特黑德萬有引力理論,(Whitehead's Theoryof Gravitation)廣義相對論的另一個早期競爭者。
引力定律最近的各種理論
1.布蘭斯·迪克(Brans·Dicke)有關重力的理論(Brans Dicketheory)。
2.Rosen有關重力的理論(Rosen BimetricTheory)。
3.在修正牛頓引力理論(Modified Newtonian Dynamics,MOND)中,莫德采·米爾格若姆(Mordehai Milgrom)提出在微小加速運動上對牛頓第二定律的修正。
4.新近提出的且被高度爭論的程式物理學(Process Physics)理論試圖處理(address)重力問題。
5.自建宇宙理論(SelfCreation Cosmology)將布蘭斯·迪克理論修正為允許創造質量。
6.頗具諷刺性的智慧型落體(Intelligent Falling)理論。
註解
註解1:提議75,定理35:p.956-I.Bernard Cohen和安妮Whitman,譯者:艾薩克・牛頓,Principia:自然哲學的數學原則。在之前由對牛頓的Principia的一個指南,由I.Bernard Cohen。加州大學新聞1999國際標準書號0-520-08816-6國際標準書號0-520-08817-4
註解2:最大Born(1924),愛因斯坦的相對論(1962年多弗編輯,呼叫348張名單提供水星、金星和地球近日點的歲差的桌被觀察的和故意的價值。)
參考書目
^模板:援引書
Template:援引書
Template:援引書
Template:援引書
Jefimenko、OlegD.,“因果關係、電磁感應和萬有引力:對電磁式和引力場的理論的一種不同的方法”。StarCity[西維吉尼亞]:Electret科學Co.,c1992。國際標準書號0917406095
Heaviside、腳踏鐵槌,“重心和電磁式比喻"(英文)。電工1893年
2.維基百科

