簡史
紅移這個主題的發展開始於19世紀對波動力學現象的探索,因而連結到了都卜勒效應。稍後,因為克里斯琴·安德烈·都卜勒在1842年對這種現象提出了物理學上的解釋,而被稱為都卜勒效應。他的假說在1845年被荷蘭的科學家ChristophHendrikDiederikBuysBallot用聲波做實驗而獲得證實。都卜勒預言這種現象可以套用在所有的波上,並且指出恆星的顏色不同可能是由於它們相對於地球的運動速度不同而引起的。後來這個推論被否認。恆星呈現不同的顏色是因為溫度不同,而不是運動速度不同。
都卜勒紅移是法國物理學家斐索在1848年首先發現的,他指出恆星譜線位置的移動是由於都卜勒效應,因此也稱為“都卜勒-斐索效應”。1868年,英國天文學家威廉·哈金斯首次次測出了恆星相對於地球的運動速度。
在1871年,利用太陽的自轉測出在可見光太陽光譜的夫朗和斐譜線在紅光有0.1Å的位移。在1901年,AristarkhBelopolsky在實驗室中利用轉動的鏡片證明了可見光的紅移。
在1912年開始的觀測,VestoSlipher發現絕大多數的螺鏇星雲都有不可忽視的紅移。然後,埃德溫·哈勃發現這些星雲(現在知道是星系)的紅移和距離有關聯性,也就是哈柏定律。這些觀察在今天被認為是造成宇宙膨脹大霹靂理論的強而有力證據。
機制原理
一個光子在真空中傳播可以有幾種不同的紅移機制,每一種機制都能產生類似都卜勒紅移的現象,意謂著z是與波長無關的。這些機制分別使用伽利略、洛倫茲、或相對論轉換在各個參考架構之間來比較。
| 紅移型式 | 轉換的架構 | 所在度規 |
| 都卜勒紅移 | 伽利略轉換 | 歐幾里得度規 |
| 相對論的都卜勒 | 洛倫茲轉換 | 閔可夫斯基度規 |
| 宇宙論的紅移 | 廣義相對論轉換 | FRW度規 |
| 重力紅移 | 廣義相對論轉換 | 史瓦西度規 |
都卜勒效應
如果一個光源是遠離觀測者而去,那么會發生紅移(z>0),當然,如果光源是朝向觀測者移動,便會產生藍移(z<0)。這對所有的電磁波都適用,而且可以用都卜勒效應解釋。當然的結果是,這種形式的紅移被稱為都卜勒紅移。
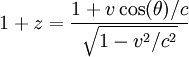
都卜勒公式相對論的都卜勒效應更完整的都卜勒紅移需要考慮相對論的效應,特別是在速度接近光速的情況下。簡單的說,物體的運動接近光速時需要將狹義相對論介紹的時間擴張因素羅倫茲轉換因子γ引入古典的都卜勒公式中,改正後的形式如下:
這種現象最早是在1938年赫伯特E艾凡斯和GR.史迪威進行的實驗中被觀察到的,稱為艾凡斯-史迪威實驗。
由於羅倫茲因子只與速度的量值有關,這使得紅移與相對論的相關只獨立的與來源的運動取向有關。在對照時,古典這一部分的形式只與來源的運動投影在視線方向上的分量有關,因此在不同的方向上會得到不同的結果。同樣的,一個運動方向與觀測者之間有θ的角度(正對著觀測者時角度為0),完整的相對論的都卜勒效應形式為:
完整的相對論的都卜勒效應形式而正對著觀測者的運動物體(θ=0°),公式可以簡化為:
公式可以簡化為在特殊的狀況下,運動源與測器成直角(θ=90°),相對性的紅移為橫向紅移,被測量到的紅移,會使觀測者認為物體沒有移動。即時來源是朝向觀測者運動,如果有橫向的分量,那么在這個方向上的速度可以擴張到抵消預期中的藍移,而且如果速度更高的還會使接近的來源呈現紅移。
膨脹的宇宙
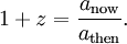
在20世紀初期,史立佛、哈勃和其他人,首度測量到銀河系之外星系的紅移和藍移,它們起初很單純的解釋是都卜勒效應造成的紅移和藍移,但是稍後哈柏發現距離和紅移之間有著粗略的關聯性,距離越遠紅移的量也越大。理論學者幾乎立刻意識到這些觀察到的紅移可以用另一個不同的機制來解釋,哈柏定律就是紅移和距離之間互動作用的關聯性,需要使用廣義相對論空間尺度擴張的宇宙論模型來解釋。結果是,光子在通過擴張的空間時被延展,產生了宇宙學紅移。這與都卜勒效應所描述的因速度增加所產生的紅移不同(這是羅倫茲轉換),在光源和觀測者之間不是因為動量和能量的轉換,取代的是光子因為經過膨脹的空間使波長增加而紅移。這種效應在現代的宇宙論模型中被解釋為可以觀測到與時間相關聯的宇宙尺度因次(a),如下的形式:
如下的形式這種型態的紅移稱為宇宙學紅移或哈勃紅移。如果宇宙是收縮而不是膨脹,我們將觀測到星系以相同比例的藍移取代紅移。這些星系不是以實際的速度遠離觀測者而去,取代的是在其間的空間延展,這造成了大尺度下宇宙論原則所需要的各向同性的現象。在宇宙學紅移z<0.1的情況下,時空擴展的作用對星系所造成的獨特效應與被觀察到的紅移,相對於都卜勒效應的紅移和藍移是極微小的。實際的速度和空間膨脹的之間的區別在膨脹的橡皮板宇宙有清楚的說明,一般的宇宙學也曾經描述過類似的空間擴展。如果以滾珠軸承來代表兩個物體,以有彈性的橡皮墊代表時空,都卜勒效應是軸承橫越過橡皮墊產生的獨特運動,宇宙學紅移則是橡皮墊向下沉陷的柱狀體的沉陷量。(很明顯的在模型上會有維度的問題,當軸承滾動時應該是在橡皮墊上,而如果兩個物體的距離夠遠時宇宙學紅移的速度會大於都卜勒效應的速度。)
由中子星造成的重力紅移的圖解表示儘管速度是由分別由都卜勒紅移和宇宙學紅移共同造成的,天文學家(特別是專業的)有時會以“退行速度”來取代在膨脹宇宙中遙遠的星系的紅移,即使很明顯的只是視覺上的退行。影響所及,在大眾化的講述中經常會以“都卜勒紅移”而不是“宇宙學紅移”來描述受到時空擴張影響下的星系運動,而不會注意到在使用相對論的場合下計算的“宇宙學退行速度”不會與都卜勒效應的速度相同。明確的說,都卜勒紅移只適用於狹義相對論,因此v>c是不可能的;而相對的,在宇宙學紅移中v>c是可能的,因為空間會使物體(例如,從地球觀察類星體)遠離的速度超過光速。更精確的,“遙遠的星系退行”的觀點和“空間在星系之間擴展”的觀點可以通過坐標系統的轉換來連繫。要精確的表達必須要使用數學的羅伯遜-沃克度量。
重力紅移
在廣義相對論的理論中,重力會造成時間的膨脹,這就是所謂的重力紅移或是愛因斯坦位移。這個作用的理論推導從愛因斯坦方程式的施瓦氏解,以一顆光子在不帶電、不轉動、球對稱質量的重力場運動,產生的紅移:
產生的紅移此處
·G是重力常數,
·M是創造出重力場的質量,
·r是觀測者的徑向坐標(這類似於傳統中由中心至觀測者的距離,但實際是施瓦氏坐標)
·c是光速。
重力紅移的結果可以從狹義相對論和等效原理導出,並不需要完整的廣義相對論。
在地球上這種效應非常小,但是經由莫士包耳效應依然可以測量出來,並且在Pound-Rebkaexperiment中首次得到驗證。然而,在黑洞附近就很顯著,當一個物體接近事件視界時,紅移將變成無限大,他也是在宇宙微波背景輻射中造成大角度尺度溫度擾動的主要角色。
成因新解
對紅移現象的公認解釋為:速度造成紅移,當一列火車向我們賓士而來時,它的汽笛聲尖銳刺耳,因為火車的高速運動使聲波波長被壓縮,能量密度增加。相反,當火車離開我們飛馳而去時,它的汽笛聲則低沉幽緩,簡稱都卜勒效應,光波的紅移道理類同。
把光波的紅移和聲波的都卜勒效應等同看待無疑是一種“以太”依賴症,潛意識裡還是把光波視為依靠某種介質傳播,就像聲波傳播依靠空氣、水等一樣。
造成紅移現象的本質原因是“重力場差”,相對運動速度的確能夠引起紅移或藍移,但相對運動速度只是產生“重力場差”的一種情形。
天文觀測數據表明,紅移現象遠遠多於藍移,這似乎與大爆炸理論能夠聯繫起來,但如果大爆炸理論成立,宇宙怎么會在大範圍上密度均勻呢?而且,近100多億年宇宙史(也許更長),暗能量早就應該煙消雲散了,怎么還依然存在並驅動星系外移?如果說它還沒有消散完全,那么如此強大的能量,宇宙當初為什麼能夠聚攏成一點呢?
天體的紅移現象多不是由於速度引起的,而是直接的“重力場差”造成的,需要特別說明的是這裡用“重力場差”而不是重力場,原因在於它造成紅移是雙向的,如地球上能夠測到太陽光線的紅移,從太陽上測量來自地球的光線,也會發現紅移。太陽和地球之間的重力場的場差造成了它們之間的光線紅移。同理,行星之間由於存在重力場差,也會互相產生紅移。
客觀實際存在各種複雜情況,以下分別論述:
1.從金星向地球方向發射一枚火箭,使之成為圍繞太陽鏇轉的“行星”,如果這枚火箭不能超越地球的公轉軌道,那么,儘管火箭是朝向地球運動的,火箭發出的光從地球上測量仍然會產生紅移,紅移大小取決於火箭最終形成的公轉軌道與地球公轉軌道的重力場差。如果增大火箭的能量,使其軌道位於地球和火星之間,那么,在火箭掠過地球軌道前,火箭發出的光從地球上測量就會產生藍移,藍移大小同樣取決於火箭公轉軌道與地球公轉軌道的重力場差,只是這時的重力場差為負值。但,如果火箭掠過了地球軌道,則重力場差變為正值,來自火箭的光線又變成紅移。
2.如果從金星發射的火箭有足夠大的能量,能夠飛出太陽系,這種情況更複雜一些,首先要把地球和太陽視為一個整體,把火箭放在銀河系重心形成的重力場裡,計算重力場差產生紅移或是藍移的大小,然後附加太陽產生的重力場差的紅移效應,由於銀河重心產生的重力場差和太陽產生的重力場差在方向上並不會一致,它們二者是矢量疊加。
宇宙中星體或物體的相對運動,根本原因是它們處在不同的重力場中,這個重力場不能認為是可視空間中的某個星體引起的,而是整個宇宙重力場的疊加結果,也可以認為成相對運動的物體處在不完全相同的空間裡,一些理論中描述的那種互相看不見的多維空間是不存在的,各種空間是融合的,一個處於某種狀態的質點,它只能占據該空間點的一部分。假設在某片空曠的宇宙空間裡,有兩個相對靜止的物體,在不考慮它們之間的重力場差時,可以認為它們處在同一空間。而如果這兩個物體是處在某個重力場的不同位置,則它們是處在不完全相同的空間裡,假設此時有一種魔力將它們突然移到同一處,那么,二者依然是處於不同的空間裡(重力場背景里),物體間的相對運動速度本質上都是由於它們處在不同的空間裡而產生的。所以,如果兩個相對靜止的物體,給其中一個突然加速,我們可以把它理解成被加速的物體被突然置於不同的重力場背景中(或者說不同的空間裡)。光的紅移現象都是由於光進入不同重力場環境造成的。
天文觀測到的紅移遠遠多餘藍移的原因在於:宇宙中任何星體都可以把自身視為宇宙重心而不動,如同黑洞,其它星體圍繞本重心分布和運動,從一個星體觀察整個宇宙,越是遙遠的星體,重力場差越大,所以,紅移也越大,直至無限大而無法觀測到,極其遙遠的星體發出的光會融入空間而化為平靜。
觀測方法
紅移在天文觀測中可以測量到紅移,因為原子的發射光譜和吸收光譜,與在地球上的實驗室內的分光儀校準好的光譜比較時,是非常的明顯。當從同一個天體上測量到各種不同的吸收和發射譜線時,z被發現是一個常數。雖然來自遙遠天體的譜線可能會被污染,並且有輕微的變寬,但並不能夠用熱力學或機械的行為來解釋。基於這些和其他的理由,公眾的輿論已經將天文學上觀測到的紅移認定是三種類似的都卜勒紅移之一,而沒有任何一種假說能如此的振振有詞。
光譜學,用在測量上,比只要簡單的通過特定的濾光器來測定天體亮度的光度學要困難。當測光時,可以利用所有的數據(例如,哈柏深空視場和哈柏超深空視場),天文學家依靠的是紅移測光的技術,由於濾光器在某些波長的範圍內非常靈敏,依靠這樣的技術可以假定許多光譜的本質隱藏在光源之內,觀測誤差可以δz=0.5為級距來排序,並且比分光鏡的更為可靠許多。然而,光度學無法考慮到紅移的定性描述。例如,一個與太陽相似的光譜,但紅移z=1,最為明亮的是在紅外線的區域,而非以黃-綠為尖峰的黑體光譜,並且光的強度在經過濾光器時將減少二級(1+z)。
在本地群的觀測
使用SOHO衛星的LASCOC1攝影機觀測到的太陽日冕。這張圖片是以鐵XIV的5308Å譜線經都普勒儀觀察日冕中的電漿接近與遠離衛星的速度,轉移成不同色碼的一幅假色圖。在附近的目標(在我們的銀河系內的天體)觀測到的紅移幾乎都與相對於視線方向上的速度有關。觀察這樣的紅移和藍移,讓天文學家可以測量速度和分光星的參考質量。這種方法是英國天文學家威廉·哈金斯在1868年最先採用的。相同的,從光譜儀中對單獨的一顆恆星所測得的微量的紅移和藍移是天文學家檢測是否有行星系環繞著恆星的診斷和測量的方法之一。對紅移更精確的測量被套用於日震學上,藉以精確的測量太陽光球的運動。紅移也被套用於第一次的行星自轉速率的測量、星際雲的速度、星系的自轉,還有吸積的動力學呈現在中子星和黑洞的都卜勒和重力紅移。
另外,還有各種不同輻射和吸收的溫度造成的都卜勒致寬-對單一的吸收或輻射譜線造成的紅移和藍移的效應。測量來自不同方向的氫線21公分波的擴展和轉移,天文學家能測量出星際氣體的退行速度,揭露出我們銀河系的自轉曲線。相同的測量也被套用在其他的星系,例如仙女座星系。做為一種診斷的工具,紅移測量在天文學的分光學中是最重要的工具之一。
外星系的觀察
紅移宇宙中合於哈勃定律的天體距離越遠就有越大的紅移,因此被觀測到有最大紅移,對應於最遙遠的距離也有最長的回應時間的天體是宇宙微波背景輻射,紅移的數值高達z=1089(z=0相當於現在的時間),在宇宙年齡為137億年的狀態下,相當於大爆炸之後379000年的時間。核心像點光源的類星體是“紅移”(z>0.1)最高的天體,是在望遠鏡改善之前,除了星系之外還能被發現的其他高紅移天體。被發現紅移最高的類星體是z=6.4,被證實紅移最高的星系是z=7.0在尚未經確認的報告中顯示,透過重力透鏡觀測到的遙遠星系集團有紅移高達z=10的星系。
對比本星系群遙遠,但仍在室女座星系團附近,距離為10億秒差距左右的星系,紅移與星系的距離是近似成比例的,這種關係最早是由哈柏發現的,也就是眾所皆知的哈勃定律。星系紅移最早是VestoSlipher大約在1912年發現的,而哈柏結合了Slipher的測量成為度量天體距離的另一種方法-哈柏定律。在建基於廣義相對論下被廣泛接受的宇宙模型中,紅移是空間擴展的主要結果:這意味著遙遠的星系都離我們而去,光離開星系越久,空間的擴展也越多,所以光也就被延伸越多,紅移的值也就越大,所以越遠的看起來就移動的越快。哈柏定律一樣適用哥白尼原則,由於我們通常不知道天體有多明亮,測量紅移會比直接測量距離容易,所以使用哈柏定律就可以得知天體大略的距離。
星系之間的和星系團的重力互動作用在正常的哈柏圖上導致值得注意的消散,星系的本動速度和在宇宙中的維理天體的迷蹤質量相疊加,這種作用導致在附近的星系(像仙女座星系)顯示出藍移的現象,並且向共同的重心接近,同時星系團的紅移圖像上帝的手指在作用使本動速度的消散大致成球型的分布。這個增加的組合給了宇宙學家一個單獨測量質量的質光比(以太陽的質量和光為單位的星系的質量與光度比值),是尋找暗物質的重要工具。
對更遙遠的星系,目前的距離和紅移之間的關連性變得更為複雜。當你看見一個遙遠的星系,也就是看見相當久遠之前的星系,而那時的宇宙和現在是不同的。在那些早期的時刻,我們期待在俇展的速率上有所不同,原因至少有二個:
星系之間相互的重力吸引會減緩宇宙的擴張行動
可能存在的宇宙常數或第五元素與可能會改變宇宙擴張的速率。
最近的觀測卻建議宇宙的擴張不僅沒有如同第一點的預測減速,反而在加速中。這是廣泛的,雖然不是相當普遍的,相信這是因為有暗物質在控制著宇宙的發展。這樣的宇宙常數暗示宇宙的最後命運不是大擠壓,反而可預見宇宙將長久存在。(可是在宇宙內多數的物理程式仍然朝向熱死亡。)
擴張的宇宙是大霹靂理論的中心預言,如果往前追溯,理論預測"奇點"的存在,而那時的宇宙有無限大的密度;廣義相對論的理論,大霹靂的理論依據,將不再能適用。最有可能取代的理論據信是尚未成熟的量子重力學,能在密度變得無窮大之前繼續適用。
紅移巡天
2度視場星系紅移巡天資料在先進的自動化望遠鏡和改良的光譜儀合作之下,以一定數量星空的紅移當成宇宙的投影,通過紅移與角度位置數據的結合,紅移巡天圖可以顯示天空中一定範圍內物質的立體分布狀態。這些觀測被用來研究宇宙的宇宙的大尺度結構,長城、許多廣達5億光年的超星系團,紅移巡天的檢測提供了戲劇性的大尺度構造的例子。
第一次紅移巡天是CfA紅移巡天,開始於1977年,至1982年完成最初的資料蒐集。最近的有2度視場星系紅移巡天,測量宇宙在一個部份的大尺度結構,量測了22萬個星系的z值,最後的結果已經在2003年6月釋出。(除了描繪星系在大尺度的模型,2度視場也可以估計微中子質量的上限。)其他值得重視的研究還有史隆數位巡天(SDSS),在2005年仍在繼續進行中,目標瞄準在觀測一億個天體。SDSS已經觀測到紅移高達0.4的星系和紅移超過z=6的類星體。深度2紅移巡天使用凱克望遠鏡和新的“DEIMOS”光譜儀,是深度1計畫的延續。深度2是設計來研究紅移0.7或更高的黯淡星系,因此可以填補SDSS和2df計畫的不足。
沃爾夫效應
在輻射轉換和物理光學的主題中會總結電磁輻射中波長和頻率轉換可能發生的現象和互動作
2MASS紅移巡天用導致位移的結果。在這些情況下位移和物理上對應的能量轉移到物質或其他的光子,而不是歸結於參考坐標系的轉變之間。這些轉移可以歸結於凝聚作用(參見沃爾夫效應)或是來自於基本粒子、微粒物質、或來自波動的電介質媒介被充電,導致電磁輻射的散射。當這些現象對應於“紅移”或“藍移”的現象時,是物理的電磁輻射場本身的互動作用或是介入(干預)的物質來自參考坐標系效應的現象。在天文物理,質-光互動作用的結果在輻射場的能量的遷移上通常是紅化而不是紅移,而這個項目通常是保留在前面的效應中討論的。
在許多情況下散射會導致輻射的紅化,因為熵會使光子趨向最低能量而減少高能的光子(總能量守恆)。除了在小心控制的情況下,散射不會在同一個變化中橫跨整個光譜,換言之,任何一個波長上計算得到的z只是一個對應于波長的函式,而且,來自介質的隨機散射通常可能發生在任何的角度上,而z又是一個散射角的函式。如果多次的散射發生,或是散射的粒子在相對的運動中,那么通常都會造成譜線的畸變。
在恆星際天文學,可見光譜會因為穿過星際物質的散射過程出現星際紅化—類似於在日出或日落時大氣層造成太陽光偏紅和天空是藍色的瑞利散射。這種明顯的轉移成紅色的現象,是因為譜線中的紅色部分沒有被轉移成其他的波長,以及額外的黯淡和畸變結合,這些現象使光子在視線中出現或消失。

