簡介
昌德拉塞卡極限或音譯為錢德拉塞卡極限(以蘇布拉馬尼揚·昌德拉塞卡為名)是無自轉恆星以電子簡併壓力阻擋重力塌縮所能承受的最大質量,這個值大約是1.4倍太陽質量 ,計算的結果會依據原子核的結構和溫度而有些差異。錢德拉塞卡, eq. (36),, eq. (58),, eq. (43) 給出
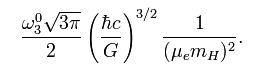
錢德拉塞卡給出公式此處, μe是電子的平均分子量,mH是氫原子的質量,而是與萊恩·恩登方程式有關的常數,在數值上,這個值大約是 (2/μe)2 • 2.85 • 1030 公斤,或是,此處的是標準的太陽質量 ,而是普朗克質量,是M的數量級極限MPl3/mH2。
“白矮星”-內部結構模型圖 對白矮星而言,電子簡併壓力是其抵抗重力的唯一力量,因此這個值也是白矮星的質量上限。主序星的質量若超過8倍的太陽質量,在演化結束前不能拋掉足夠的質量成為穩定的白矮星,因此會成為中子星或是黑洞。
中子星-內部結構模型圖 歷史推導
昌德拉塞卡(1910--1995)強德拉塞卡極限(Chandrasckhan Limit) 簡併矮星的質量上限。白矮星是一種依靠簡併電子壓力來抗衡自引力而維持穩定平衡的簡併矮星。
二十世紀三十年代﹐印度裔美國籍物理學家和天體物理學家強德拉塞卡研究了這種星的平衡和穩定性質﹐利用牛頓引力理論中的無轉動球對稱星體結構方程(見恆星球的平衡和穩定)﹐並用理想費密氣體方程作為簡併電子的物態方程﹐證明存在一個質量上限 Mc≈1.44M⊙,式中M⊙為太陽質量。
當星體的質量小於Mc時,存在穩定的平衡解;當大於Mc時,沒有穩定的平衡解。也就是說,簡併矮星的最大質量Mc就是昌德拉塞卡極限。
當星體的質量小於M 時﹐存在穩定的平衡解﹔當大於M 時﹐沒有穩定的平衡解。
1928年,一位印度研究生——薩拉瑪尼安·強德拉塞卡——乘船來英國劍橋跟英國天文學家阿瑟·愛丁頓爵士(一位廣義相對論家)學習。(據記載,在本世紀20年代初有一位記者告訴愛丁頓,說他聽說世界上只有三個人能理解廣義相對論,愛丁頓停了一 下,然後回答:“我正在想這第三個人是誰”。)在他從印度來英的旅途中,強德拉塞卡算出在耗盡所有燃料之後,多大的恆星可以繼續對抗自己的引力而維持自己。這個思想是說:當恆星變小時,物質粒子靠得非常近,而按照泡利不相容原理,它們必須有非 常不同的速度。這使得它們互相散開並企圖使恆星膨脹。一顆恆星可因引力作用和不相 容原理引起的排斥力達到平衡而保持其半徑不變,正如在它的生命的早期引力被熱所平衡一樣。
然而,強德拉塞卡意識到,不相容原理所能提供的排斥力有一個極限。恆星中的粒子的最大速度差被相對論限制為光速。這意味著,恆星變得足夠緊緻之時,由不相容原理引起的排斥力就會比引力的作用小。強德拉塞卡計算出;一個大約為太陽質量一倍半 的冷的恆星不能支持自身以抵抗自己的引力。(這質量現在稱為強德拉塞卡極限。)
蘇聯科學家列夫·達維多維奇·蘭道幾乎在同時也得到了類似的發現。 這對大質量恆星的最終歸宿具有重大的意義。如果一顆恆星的質量比強德拉塞卡極 限小,它最後會停止收縮並終於變成一顆半徑為幾千英哩和密度為每立方英寸幾百噸的 “白矮星”。白矮星是它物質中電子之間的不相容原理排斥力所支持的。我們觀察到大 量這樣的白矮星。第一顆被觀察到的是繞著夜空中最亮的恆星——天狼星轉動的那一顆。 蘭道指出,對於恆星還存在另一可能的終態。其極限質量大約也為太陽質量的一倍 或二倍,但是其體積甚至比白矮星還小得多。這些恆星是由中子和質子之間,而不是電 子之間的不相容原理排斥力所支持。所以它們被叫做中子星。它們的半徑只有10英哩左 右,密度為每立方英寸幾億噸。在中子星被第一次預言時,並沒有任何方法去觀察它。 實際上,很久以後它們才被觀察到。
另一方面,質量比強德拉塞卡極限還大的恆星在耗盡其燃料時,會出現一個很大的 問題:在某種情形下,它們會爆炸或拋出足夠的物質,使自己的質量減少到極限之下, 以避免災難性的引力坍縮。但是很難令人相信,不管恆星有多大,這總會發生。怎么知 道它必須損失重量呢?即使每個恆星都設法失去足夠多的重量以避免坍縮,如果你把更 多的質量加在白矮星或中子星上,使之超過極限將會發生什麼?它會坍縮到無限密度嗎? 愛丁頓為此感到震驚,他拒絕相信強德拉塞卡的結果。愛丁頓認為,一顆恆星不可能坍 縮成一點。這是大多數科學家的觀點:愛因斯坦自己寫了一篇論文,宣布恆星的體積不 會收縮為零。其他科學家,尤其是他以前的老師、恆星結構的主要權威——愛丁頓的敵 意使強德拉塞卡拋棄了這方面的工作,轉去研究諸如恆星團運動等其他天文學問題。然 而,他獲得1983年諾貝爾獎,至少部分原因在於他早年所做的關於冷恆星的質量極限的工作。
昌德拉塞卡指出,不相容原理不能夠阻止質量大於強德拉塞卡極限的恆星發生坍縮。
物理學
白矮星模型的半徑相對於質量圖。電子簡併壓力是依據量子力學的包立不相容原理所產生的效應。因為電子是費米子,在一個原子內不能有兩個電子有著相同的量子狀態,所以不可能讓所有的電子都在最低的能量。換言之,電子必然會占有不同的能階。當原子被壓縮時,由於電子的數量和必須占有不同的能階,所以必然會占有一定量的體積。因此電子的能量將因為壓縮而增加,電子云也必須施加壓力來壓縮電子。這就是電子簡併壓力的起源。
在非相對論的情況下,電子簡併壓力可以由狀態方程求得,形式為P=K1ρ5/3。解白矮星多方模型的流體靜力學等效方程式可以導出係數為3/2的半徑反比於質量的立方,和體積反比於質量的關係。 當白矮星模型的質量增加時,電子簡併壓力使得特有的電子能量相對於它們的靜止質量不再是微不足道的。電子的速度接近光速,因此必須考慮到狹義相對論。在強大的相對論效應下,我們發現狀態方程的形式為P=K2ρ4/3。這將使多方模型的係數成為3,這會使總質量Mlimit只與K2相關聯。
昌德拉塞卡
昌德拉塞卡薩拉馬尼安·昌德拉塞卡(1910--1995) 美國理論物理學家、天體物理學家。1910年10月19日生於今巴基斯坦的拉合爾。1930年畢業於印度馬德拉斯大學,1930~1934年在英國劍橋大學三一學院學習理論物理;1933~1937年在該校任教。1937年移居美國,在芝加哥大學葉凱士天文台工作。1938年任教授。1944年為英國皇家學會會員,1955年為美國科學院院士。1952~1971年任美國《天體物理學雜誌》主編。他在恆星內部結構理論、恆星和行星大氣的輻射轉移理論、星系動力學、電漿天體物理學、宇宙磁流體力學和相對論天體物理學等方面都有重要貢獻。 昌德拉塞卡早期從事恆星內部結構理論的研究。他利用完全簡併的電子氣體的物態方程建立白矮星模型,導出白矮星的質量上限是太陽質量的1.44倍。這就是著名的昌德拉塞卡極限。1939年,他出版《恆星結構研究引論》一書,系統論述恆星內部結構理論。1950年出版《輻射轉移》一書,總結了他在恆星和行星大氣輻射轉移理論方面的主要工作。他處理了有偏振的輻射轉移問題,並用量子力學方法計算了作為中介光譜型恆星大氣不透明度源泉的負氫離子吸收係數(見負氫離子吸收)。1943年,他出版《恆星動力學原理》一書,運用經典力學討論星團、星系等天體系統的動力學問題。六十年代,他出版《電漿物理》和《流體動力學和磁流體力學的穩定性》等專著,並從事相對論天體物理的研究。

