太陽質量是天文學上用於測量恆星、星團或星系等大型天體的質量單位,它的大小等於太陽的總質量。太陽質量也可以用年的長度、地球和太陽的距離天文單位和萬有引力常數的形式呈現。太陽質量
天文學上, 太陽質量是用於測量恆星或如星系類大型天體的質量單位。它的大小等於太陽的總質量, 大約1.989*10^30 千克。用單位符號即可表示為:太陽質量是地球質量的33萬倍。
太陽的密度
太陽質量太陽質量的變化
太陽每時每刻都在穩定地向宇宙空間發射能量,其中只有約22億分之一的能量,主要以輻射形式來到地球,成為地球上光和熱的主要來源。太陽的核心不停地發生著氫核聚變成為氦核的熱核反應,每秒鐘燒掉6億多噸氫核燃料,在聚變為氦時,實際消耗的氫核約400萬噸。太陽的巨大能量就是這樣產生的。
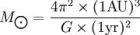
太陽質量的計算
由於公轉時,萬有引力提供公轉所需的向心力,因此G*M*m/(r^2)=m*(2Pi/T)^2*r。很顯然,解方程時行星質量m消去了。解得太陽質量M=4*(Pi)^2*r^3/(G*T^2)如今,天文單位和萬有引力常數的數值都已經被精確的測量,然而,還是不太常用太陽質量來表示太陽系的其他行星或聯星的質量;只在大質量天體的測量上使用(參見高斯引力常數)。今天,使用行星際雷達已經測出很準確的天文單位和"G",但是太陽質量在習俗中仍然繼續被當成天文學歷史上未解的謎題來探究。
如把地球的公轉周期1年和日地距離1.5億公里化成國際標準單位後代入即可算出太陽質量。
太陽的質量占整個太陽系質量的99.8%。

