電子簡併壓力是由泡利不相容原理產生的。在恆星物理中,它造成了白矮星的存在。
電子簡併壓力不是“力”,它是交換相互作用(exchange interaction),但它和我們平常說的四大基本力的相互作用完全是兩碼事,它並不需要交換媒介粒子。交換相互作用只發生在全同粒子之間,本質上是一種波函式的干涉效應,不涉及任何“力”。它類似於分子熱運動,溫度升高時,分子熱運動加劇,物體體積增大,這時我們並不能認為是某種力使該物體體積增大。所以我們可以將電子簡併壓力想像為由“電子熱運動”產生的“電子氣壓”。
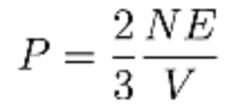
氣壓是由大量分子碰撞產生的統計性質,公式為
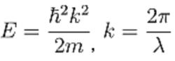
電子簡併壓力能量 E 是氣體分子的內能
電子簡併壓力簡併壓是疊加在氣壓上面的效果,壓力公式一樣,區別在於 E 是粒子的費米動能
電子簡併壓力因此電子簡併壓力為
電子簡併壓力其實電子簡併壓力是無處不在的,只是在通常情況下,這個壓力小得可以忽略。但當電子數密度( n/V)足夠高,溫度足夠低時,它就會占主導地位。在白矮星中,原子間的電磁力頂不住萬有引力的猛烈擠壓,原子的電子殼層被壓碎,形成自由電子在晶格中穿行,或者說原子核漂浮在電子海洋中的狀態。我們可以把這時的情況想像為所有原子核和電子共同形成了一個超大分子,而根據泡利不相容原理,分子軌道中的一個原子軌道只能容納兩個自旋方向相反的電子。由於軌道能級越低,電子距離原子核越近。當物質被壓縮到極大的密度時,萬有引力會竭力拉近電子與原子核之間的距離,這時低能級軌道將被電子擠滿。泡利不相容原理不容許兩個電子處在同一個狀態,相互靠近的電子將產生一種新的排斥力,阻止體積的進一步縮小。
可能與電子簡併壓力相關的解釋是海森堡測不準原理:
電子簡併壓力此處 h是狄拉克常數(約化普朗克常數),Δ x是測量時在位置上的不確定值,而Δ p動量測量不確定的標準差。
一種本質為壓力增加時就會被壓縮的材料,在內部的電子,位置測量的不確定量Δ x就會減少,因此依據測不準原理,電子動量的不確定量Δ p,將會增大。然而,無論溫度降至多低,電子一定會因為溫度而以海森堡速度運動,並貢獻出壓力。當電子由"海森堡速度"產生的壓力凌駕於熱運動之上時,電子就進入簡併狀態,這種材料就成為簡併態物質。
電子簡併壓力在恆星質量未超過錢德拉塞卡極限(1.44個太陽質量)前能阻止核心的塌縮,這就是阻止白矮星崩潰的壓力。質量超出這個極限而又沒有燃料可以進行核融合的恆星,將會因為電子提供的簡併壓力不足以抵抗萬有引力,而繼續塌縮形成中子星或黑洞。

