簡介
發散級數指不收斂的級數。一個數項級數如果不收斂,就稱為發散,此級數稱為發散級數。一個函式項級數如果在(各項的定義域內)某點不收斂,就稱在此點發散,此點稱為該級數的發散點。
發散級數記無窮級數.
發散級數
發散級數
發散級數
發散級數
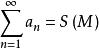
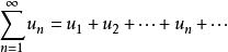
發散級數當n→時,若部分和數列{}有極限s,即則稱無窮級數收斂,且稱s為無窮級數的和,並記為
發散級數
發散級數
發散級數若數列{}極限不存在,則稱無窮級數發散。
總之,發散是收斂的否定。
級數的求和
(summ ation ofseries)
發散級數
發散級數賦予某些發散級數以“和”的法則,按照柯西的定義,收斂級數以其部分和的極限為和,這種和是有限(項的)和的直接推廣,可稱為柯西和,按照這種定義,發散級數是沒有和的,從而只是沒有實際意義的數學記號而已。然而數學的發展表明,完全排斥發散級數是不恰當的。例如,函式 1/(1+x ) 在 x=±1 時是有意義的,而在其泰勒展開式中令x=±1卻得到發散級數,這說明它應該是有“和”的。
再如連續函式的傅立葉級數可能是發散的,但其前 n 個部分和的算術平均當 n→∞ 時卻總有確定極限,這說明這些級數是可以有“和”的。在這些情況下,人們需要也可以對某些發散級數的“和"作出合理的解釋。於是出現這樣一些法則,用它可以確定任意級數有和或者沒有和,並在前一種情況下,給出求和的方法,這種法則就稱為級數的求和。
發散級數
發散級數
發散級數這種法則是很多的,如果將某個這種法則稱為 M 求和法,而按 M 求和法是有和的,並可求出和為S,則稱為 M 可和的,並記為。
級數求和主要是針對發散級數提出來的。每一種求和法都能使某些發散級數有和,同時又希望按照它,所有的收斂級數都是可和的,並且所求出的和與其柯西和相等,這樣的級數求和方法就稱為正則的。級數的正則求和法是收斂性(柯西和)概念的直接推廣,在調和分析、通近論等數學學科中有很多套用。
每一種有意義的級數求和法表面上都有很重的主觀定義色彩,但在數學內部多半都可找到它的深刻背景,像阿貝爾求和法,源於關於泰勒級數的阿貝爾極限定理;而算術平均求和法,就與傅立葉級數部分和的性態有關。

