定義
發散[數學分析術語]
發散[數學分析術語]在數學分析中,與收斂(convergence)相對的概念就是 發散(divergence)。 發散級數(英語:Divergent Series)指(按柯西意義下)不收斂的級數。如級數 和 ,也就是說該級數的部分和序列沒有一個有窮極限。
如果一個級數是收斂的,這個級數的項一定會趨於零。因此,任何一個項不趨於零的級數都是發散的。不過,收斂是比這更強的要求:不是每個項趨於零的級數都收斂。其中一個反例是調和級數
發散[數學分析術語]調和級數的發散性被中世紀數學家奧里斯姆所證明。
可和法
在實際的數學研究以及物理、天文等其它學科的套用中,經常會自然地涉及各種發散級數,所以數學家們便試圖給這類發散級數客觀地指派一個實或復的值,定義為相應級數的和,並在這種意義之下研究所涉及的發散級數。每一種定義都被稱為一個 可和法,也被理解為一類級數到實數或複數的一個映射,通常也是一個線性泛函,例如阿貝爾可和法、切薩羅可和法與波萊爾可和法等。
可和法通常保持收斂級數的收斂值,而對某些發散級數,這種可和法和能額外定義出相應級數的和。例如切薩羅可和法將格蘭迪級數
發散[數學分析術語]可和到1/2。大部分可和法與相應冪級數的解析延拓相關,每個適當的可和法試圖描述的是序列趨於無窮時的平均表現,這種意義下也可以理解為無窮序列的均值。
歷史
19世紀前,歐拉以及其他數學家廣泛地套用發散級數,但經常引出令人困惑與矛盾的結果。其中,主要的問題是歐拉的思想,即每個發散級數都應有一個自然的和,而無需事先定義發散級數的和的含義。柯西最終給出了(收斂)級數的和的嚴格定義,從這過後的一段時間,發散級數基本被排除在數學之外了。直到1886年,它們才在龐加萊關於漸進級數的工作中再次出現。在1890年,切薩羅意識到可以對一類發散級數的和給出嚴格定義,從而定義了切薩羅和。(這並不是第一次套用到切薩羅和,弗羅貝尼烏斯在1880年曾經使用過;切薩羅關鍵的貢獻並不是發現了這個可和法,而是由於他認為“應當給出發散級數和的精確定義”的思想。)在切薩羅的論文發表的後一年,其他的一些數學家陸續給出了發散級數和的其他定義,不過這些定義並不總是相容的:不同的定義可能對相同的發散級數給出不同的和。所以,當提及發散級數的和時,需要具體指明所使用的是哪個可和法,儘管大部分常用的可和法某種意義上是彼此相容的。
關於發散級數求和的可和法定理
我們說可和法M是正則的,是指它對每個收斂級數求的和,均與其原本柯西意義下的和一致。這類結果被稱為M的阿貝爾型定理,它以阿貝爾定理為原型。更有趣,並且通常也更微妙的是這個結果的部分逆,被稱為陶伯型定理,它以陶伯證明的一個定理為原型。這裡所謂的部分逆,準確的說是若M可和級數Σ,並且Σ滿足一些附加條件,則Σ本來就是收斂的。但要是沒有任何附加條件,這種結果說的便是M只可和收斂級數(這使其作為發散級數的可和法而言是無用的)。
收斂級數映射到它的和的函式是線性的,從而根據哈恩-巴拿赫定理可以推出,這個函式能擴張成可和任意部分和有界的級數的可和法,這個事實一般並不怎么有用,因為這樣的擴張許多都是互不相容的,並且也由於這種運算元的存在性證明訴諸於選擇公理或它的等價形式,例如佐恩引理,所以它們還都是非構造的。
發散級數這一分支,作為分析學的領域,本質上關心的是明確而且自然的技巧,例如阿貝爾可和法、切薩羅可和法、波萊爾可和法以及相關對象。維納陶伯型定理的出現標誌著這一分支步入了新的階段,它引出了傅立葉分析中巴拿赫代數與可和法間出乎意料的聯繫。
發散級數的求和作為數值技巧也與插值法和序列變換相關,這類技巧的例子有:帕德近似、Levin類序列變換以及與量子力學中高階微擾論的重整化技巧相關的依序映射。
傳統意義下的可和法
常規收斂和絕對收斂是級數在傳統意義下的兩個可和法,這裡只是出於完整性的考慮才加以討論;嚴格來說,它們並不算是發散級數的可和法,這是因為只有當這些可和法失效時,我們才說一個級數發散。大部分發散級數的可和法都是這兩個可和法在更大一類序列上的延拓。
級數的和
柯西對級數a+a+ ...的和的經典定義為部分和序列a+ ... +a的極限。通過兩個實數之間加法運算的定義,再依據數學歸納法,我們不難自然地定義出有限個實數間的加法。但是有限個實數間的加法有定義並不意味著我們能直接地導出級數的和的定義,因為此時我們並沒有定義無限項相加的概念,只有藉助極限進行額外定義才能明確級數的和的概念。
絕對收斂
給定收斂到s的收斂級數a,倘若任意置換級數a的項得到級數a′後,a′收斂也總是收斂到s,則稱級數a是絕對收斂的。在這個定義之下可以證明,一個級數收斂若且唯若取它每一項絕對值後得到的新級數在經典意義下收斂。有些地方會將後者作為絕對收斂的定義,但由於不涉及絕對值的概念,所以前者的定義更有一般性。
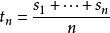
Nørlund平均
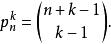
概述
取從p起的正項序列p,並且滿足
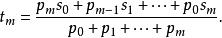
發散[數學分析術語]我們用序列p變換序列s,給出加權平均,也就是取
發散[數學分析術語]當m趨於無窮時,t的極限倘若存在,則稱其為s的 Nørlund平均或者 Nørlund和 N(s),相應的可和法稱為 Nørlund可和法。
Nørlund可和法是全正則、線性、穩定的。令人驚訝的是,任意兩個Nørlund可和法都是相容的。
切薩羅可和法
最特別的Nørlund可和法是切薩羅可和法。
發散[數學分析術語]
發散[數學分析術語]
發散[數學分析術語]
發散[數學分析術語]
發散[數學分析術語]考慮級數 ,記 為它的部分和,再記 。如果 ,則稱這個級數的切薩羅和為 。這顯然是一個Nørlund可和法。
作為推廣,取p為
發散[數學分析術語]我們定義 N(s)為切薩羅和C(s),k不必總為整數。當k≥ 0時,切薩羅和也是Nørlund和,從而是全正則、線性、穩定並且兩兩相容的。其中C是常規的和,C是經典的切薩羅和。進一步的,若h>k,則C強於C。
阿貝爾型可和法
假定λ= {λ,λ,λ,...}是嚴格遞增趨於無窮的序列,並且λ≥ 0。倘若
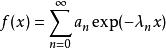
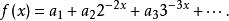
發散[數學分析術語]對每個實數x>0收斂,則定義其 阿貝爾型平均\ 阿貝爾型可和法A為
發散[數學分析術語]更一般地說,如果級數f只對大的x收斂,但能解析延拓到每個正的實x上,那么依舊能以上述方式定義出相應的可和法。
這類級數也被稱為廣義狄利克雷級數;在物理套用中,這被稱為熱核正則化方法。
阿貝爾型可和法是正則、線性的,但不穩定,並且兩個不同的阿貝爾型可和法也不總是相容的。不過,其中一些可和法是非常重要的。
阿貝爾可和法
如果取λ=n,我們便得到了 阿貝爾可和法。並且
發散[數學分析術語]其中z=exp(−x)。因此當x右趨於0時,f(x)的極限恰為z左趨於1時,冪級數f(z)的極限。所以阿貝爾和A(s)也可以定義為
發散[數學分析術語]阿貝爾可和法某種意義上非常有趣,因為它和每個切薩羅可和法相容且更有力,即總有A(s) =C(s),只要後者有定義。阿貝爾和是正則、線性、穩定的,並且與切薩羅可和法相容。
林德勒夫可和法
如果取λ=nlog(n),我們便得到了 林德勒夫可和法(指標從1算起),有
發散[數學分析術語]於是L(s)或者說 林德勒夫和,是x右趨於0時f(x)的極限。林德勒夫和是非常有力的可和法,倘若套用在有正收斂半徑的冪級數上,那么在這個冪級數的米塔-列夫勒星形域上處處都是可和的。
準確的說,如果g(z)是在原點解析的解析函式,從而有相應正收斂半徑的麥克勞林級數,並且在其米塔-列夫勒星形域上總有L(G(z)) =g(z)。進一步的,L(G(z))在這個星形域的每個緊集上一致收斂到g(z)。
解析延拓
有一些可和法涉及了對相關函式的解析延拓的討論。
冪級數的解析延拓
如果Σax對小的復x收斂,並且能沿著某條路徑從x=0延拓到x=1,則可以把級數的和定義為延拓後的函式在x=1處的值。這個值可能會依賴於路徑的選取。
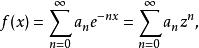
歐拉可和法
歐拉可和法本質上是解析延拓的精確形式。如果一個冪級數對小的復z收斂,並且能從半徑為−1/(q+1)的圓解析地延拓到半徑為1的圓上,而且在z=1處連續,則此處的值被稱為級數a+....的歐拉和或是(E,q)和。歐拉在解析延拓被定義前普遍地套用這個概念,並且給出了冪級數解析延拓的精確形式。
歐拉變換的操作能被重複上好幾次,它本質上等價於考慮冪級數在z=1處的解析延拓。
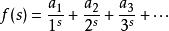
狄利克雷級數的解析延拓
考慮狄利克雷級數
發散[數學分析術語]解析延拓到 s=0處的值,如果存在便是唯一的,將其定義為相應級數的和便給出了一個可和法。這個可和法有時會被混同於zeta函式的正則化。
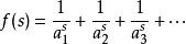
zeta函式的正則化
如果級數
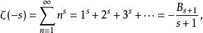
發散[數學分析術語](對於正的a)對大的實s收斂,並且能沿著實線解析地延拓到s=−1,則它在s=−1處的值被稱為級數a+a+...的zeta正則和,這種廣義和是非線性的。在套用中,a有時會是有緊分解的自伴運算元A的特徵值,從而f(s)是A的跡。例如,若A有特徵值 1, 2, 3, ... 則f(s)是黎曼zeta函式,ζ(s)在s=−1處的值是−112,這為發散級數1 + 2 + 3 + 4 + …指派了相應的和。其它的s處的值,也能以此被理解為定義了相應的廣義和,像是ζ(0) = 1 + 1 + 1 + ... = −12、ζ(−2) = 1 + 4 + 9 + ... = 0。一般而言,
發散[數學分析術語]其中B是伯努利數。
