概念
複平面上的基本概念之一。設曲線γ由參數方程z=z(t)(a≤t≤b)所確定,若對於任意的t,a≤t≤b,都存在它的鄰域(t-δ,t+δ),使得γ上與這個小區間對應的一小段(當t=a或b時,則考慮與[a,a+δ)和(b-δ,b]對應的小段)曲線可用一個收斂冪級數:
解析曲線表示(其中|t-t|<δ,c=z(t)),則稱γ是一條解析曲線。
複平面
複數平面即是z=a+bi,它對應的坐標為(a,b)。其中,a表示的是複平面內的橫坐標,b表示的是複平面內的縱坐標,表示實數 a的點都在x軸上,所以 x軸又稱為“實軸”;表示純虛數 b的點都在 y軸上,所以 y軸又稱為“虛軸”。 y軸上有且僅有一個實點即為原點"0"。
17世紀時,英國數學家瓦里士已經意識到在直線上不能找到虛數的幾何表示。
1797年,挪威的測量學家維塞爾向丹麥科學院遞交論文《方向的解析表示,特別套用於平面與球面多邊形的測定》,首先提出把複數用坐標平面上的點來表示,使全體複數與平面上的點建立了一一對應關係,形成了複平面概念。但當時沒有受到人們的重視。
1806年,日內瓦的阿工在巴黎發表的論文《虛量,它的幾何解釋》,也談到了複數的幾何表示法。他用“模”這個名詞來表示向量的長度,模這術語就源出於此。
偉大的德國數學家高斯是近代數學的奠基人之一,在歷史上影響之大,可以和阿基米德、牛頓、歐拉並列。他在1799年已經知道複數的幾何表示,在1799年、1815年、1816年對代數基本定理作出的三個證明中,都假定了複數和直角坐標平面上的點一一對應,但直到1831年他才對複平面作出詳細的說明。他說:“迄至目前為止,人們對於虛數的考慮,依然在很大的程度上把虛數歸結為一個有毛病的概念,以致給虛數蒙上一層朦朧而神奇色彩。我認為只要不把+1、-1、i 叫做正一、負一和虛一,而稱之曰向前一,反向一和側向一,那么這層朦朧而神奇的色彩即可消失。”此後,人們才接受了複平面的思想,有些人還把複平面稱為高斯平面。 利用複數的幾何表示法,複數又可以用坐標平面上的向量來表示,兩個複數相加可以按照向量加法的平行四邊形法則來進行,一個複數乘以i(或-i)相當於表示此複數的向量逆(或順)時針旋轉90。這就使得物理上的許多向量:力、速度、加速度等等,都可以藉助於複數來進行計算,使複數成為物理學和其他自然科學的重要工具。
參數方程
參數方程和函式很相似:它們都是由一些在指定的集的數,稱為參數或自變數,以決定因變數的結果。例如在運動學,參數通常是“時間”,而方程的結果是速度、位置等。
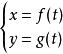
一般地,在平面直角坐標系中,如果曲線上任意一點的坐標x、y都是某個變數t的函式:
解析曲線並且對於t的每一個允許的取值,由方程組確定的點(x, y)都在這條曲線上,那么這個方程就叫做曲線的參數方程,聯繫變數x、y的變數t叫做參變數,簡稱參數。相對而言,直接給出點坐標間關係的方程叫普通方程。
參數是參變數的簡稱。它是研究運動等一類問題中產生的。質點運動時,它的位置必然與時間有關係,也就是說,質的坐標x,y與時間t之間有函式關係x=f(t),y=g(t),這兩個函式式中的變數t,相對於表示質點的幾何位置的變數x,y來說,就是一個“參與的變數”。這類實際問題中的參變數,被抽象到數學中,就成了參數。我們所學的參數方程中的參數,其任務在於溝通變數x,y及一些常量之間的聯繫,為研究曲線的形狀和性質提供方便。
用參數方程描述運動規律時,常常比用普通方程更為直接簡便。對於解決求最大射程、最大高度、飛行時間或軌跡等一系列問題都比較理想。有些重要但較複雜的曲線(例如圓的漸開線),建立它們的普通方程比較困難,甚至不可能,列出的方程既複雜又不易理解,如圓的漸開線的普通方程。
根據方程畫出曲線十分費時;而利用參數方程把兩個變數x,y間接地聯繫起來,常常比較容易,方程簡單明確,且畫圖也不太困難。
冪級數
冪級數,是數學分析當中重要概念之一,是指在級數的每一項均為與級數項序號n相對應的以常數倍的(x-a)的n次方(n是從0開始計數的整數,a為常數)。冪級數是數學分析中的重要概念,被作為基礎內容套用到了實變函式、複變函數等眾多領域當中。
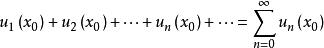
解析曲線設是定義在某區間I上的函式列,則表達式
解析曲線(1)
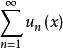
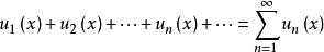
稱為定義在區間I上函式項級數。
解析曲線
解析曲線
解析曲線如果式(1)上的各項都是定義在區間上的冪函式,函式項級數 (2)
解析曲線
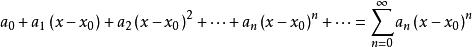
解析曲線稱作冪級數,其中為常數,稱為冪級數的係數。
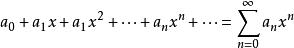
解析曲線特別的,當=0時,冪級數式(2)變為
解析曲線(3)
解析曲線
解析曲線對於定義在區間I上的函式項級數,取定,就變成數項級數
解析曲線(4)
解析曲線
解析曲線數項級數式(4)可能收斂,也可能發散。如果數項級數式(4)是收斂的,稱為函式項級數(1)的收斂點;如果數項級數式(4)是發散的,稱為函式項級數(1)的發散點。函式項級數式(1)的所有收斂點的集合稱為其收斂域,所有發散點的集合稱為其發散域。
對於收斂域上的每一個數x,函式項級數(1)都是一個收斂的常數項級數,因而有一確定的和。因此,在收斂域上函式項級數的和是x的函式,稱為函式項級數的和函式,記作s(x),通常寫成
解析曲線
解析曲線或。
