極限思想
簡介
極限的思想是近代數學的一種重要思想,數學分析就是以極限概念為基礎、極限理論(包括級數)為主要工具來研究函式的一門學科。
所謂極限的思想,是指“用極限概念分析問題和解決問題的一種數學思想”。
用極限思想解決問題的一般步驟可概括為:
對於被考察的未知量,先設法正確地構思一個與它的變化有關的另外一個變數,確認此變數通過無限變化過程的’影響‘趨勢性結果就是非常精密的約等於所求的未知量;用極限原理就可以計算得到被考察的未知量的結果。
極限思想是微積分的基本思想,是數學分析中的一系列重要概念,如函式的連續性、導數(為0得到極大值)以及定積分等等都是藉助於極限來定義的。如果要問:“數學分析是一門什麼學科?”那么可以概括地說:“數學分析就是用極限思想來研究函式的一門學科,並且計算結果誤差小到難於想像,因此可以忽略不計。
極限的產生與發展
(1)由來
與一切科學的思想方法一樣,極限思想也是社會實踐的大腦抽象思維的產物。極限的思想可以追溯到古代,例如,祖國劉徽的割圓術就是建立在直觀圖形研究的基礎上的一種原始的可靠的“不斷靠近”的極限思想的套用;古希臘人的窮竭法也蘊含了極限思想,但由於希臘人“對’無限‘的恐懼”,他們避免明顯地人為“取極限”,而是藉助於間接證法——歸謬法來完成了有關的證明。
到了16世紀,荷蘭數學家斯泰文在考察三角形重心的過程中,改進了古希臘人的窮竭法,他藉助幾何直觀,大膽地運用極限思想思考問題,放棄了歸繆法的證明。如此,他就在無意中“指出了把極限方法發展成為一個實用概念的方向”。
(2)發展
極限思想的進一步發展是與微積分的建立緊密相聯繫的。16世紀的歐洲處於資本主義萌芽時期,生產力得到極大的發展,生產和技術中遇到大量的問題,開始人們只用初等數學的方法已無法解決,要求數學突破’只研究常量‘的傳統範圍,而尋找能夠提供能描述和研究運動、變化過程的新工具,是促進’極限‘思維發展、建立微積分的社會背景。
極限[數學術語]起初牛頓和萊布尼茨以無窮小概念為基礎建立了微積分,後來因遇到邏輯困難,所以在他們的晚期都不同程度地接受了極限思想。牛頓用’路程的改變數ΔS‘與’時間的改變數Δt‘之比 “ ” 表示運動物體的平均速度,讓Δt無限趨近於零,得到物體的瞬時速度,並由此引出導數概念和微分學理論。他意識到極限概念的重要性,試圖以極限概念作為微積分的基礎,他說:“兩個量和量之比,如果在有限時間內不斷趨於相等,且在這一時間終止前互相靠近,使得其差小於任意給定的差,則最終就成為相等”。但牛頓的極限觀念也是建立在幾何直觀上的,因而他無法得出極限的嚴格表述。牛頓所運用的極限概念,只是接近於下列直觀性的語言描述:“如果當n無限增大時,a無限地接近於常數A,那么就說a以A為極限。
正因為當時缺乏嚴格的極限定義,微積分理論才受到人們對於科學理論的懷疑與攻擊,例如,在物理學的’瞬時速度‘概念,究竟Δt(變化量)是否等於零?如果說是零,(因為真理如果被無限擴大其適用範圍也會變為錯誤):怎么能用它去作除法呢?(其實變化量不可能為0)。但是人們認為,如果它不是零,計算機和函式變形時又怎么能把包含著它的那些“微小的量”項去掉呢?當時人們不理解,想完全沒有一點點誤差地進行變數的計算而導致人們認為發生悖論,這就是數學史上所說的無窮小悖論產生的原因。英國哲學家、大主教貝克萊對微積分的攻擊最為激烈,他說微積分的推導是“分明的詭辯”。科學發展的歷史和成功表明他的觀點是錯的。
貝克萊之所以激烈地攻擊微積分,一方面是為宗教服務,另一方面也由於當時的微積分缺乏牢固的理論基礎,和變通的解決辦法,連名人牛頓也無法擺脫‘極限概念’中的混亂。這個事實表明,弄清“極限”概念,它是一個動態的量的無限變化過程,微小的變數趨勢方向上當然可以極為精密地近似等於某一個常量。這是建立嚴格的微積分理論的思想基礎,有著認識論上的科學研究的工具的重大意義。
(3)完善
極限思想的完善,與微積分的嚴格化的密切聯繫。在很長一段時間裡,微積分理論基礎的問題,許多人都曾嘗試“徹底滿意”地解決,但都未能如願以償。這是因為數學的研究對象已從常量擴展到變數,而人們習慣於用不變化的常量去思維,分析問題。對“變數”特有的概念理解還不十分清楚;對“變數數學”和“常量數學”的區別和聯繫還缺乏了解;對“有限”和“無限”的對立統一關係還不明確。這樣,人們使用習慣的處理常量數學的傳統思想方法,思想僵化,就不能適應‘變數數學’的新發展。古代的人們習慣用舊概念常量就說明不了這種 [“零”與“無限靠近零的非零數值”之間可以人為的微小距離跳躍到相等的相互轉化]的科學性結論的辯證關係。
到了18世紀,羅賓斯、達朗貝爾與羅依里埃等人先後明確地表示必須將極限作為微積分的基礎概念,並且都對極限作出過,各自的定義。其中達朗貝爾的定義是:“一個量是另一個量的極限,假如第二個量比任意給定的值更為接近第一個量”,其描述的內涵接近於‘極限的正確定義;然而,這些人的定義都無法擺脫對幾何直觀的依賴。觀點也只能如此,因為19世紀以前的算術和幾何概念,大部分都是建立在幾何量的概念上的。其實,“具象化”不是思維落後的代名詞,對於幾何直觀的研究不是思維落後的代名詞,因為在今天仍然是可以用函式’映射‘為圖形,來研究較為複雜的趨勢問題。如果有趨勢則極限概念能夠成立。例如“具象化”圖形代替函式可綁架直觀地證明某一個沒有規律可描述的向用戶久攻不下的命題不能成立;(或另外一個函式卻能夠成立), 再分別作具體的“符號方式”的數學證明。
極限[數學術語]首先用極限概念給出‘導數’的正確定義的是捷克數學家波爾查諾,他把函式f(x)的導數定義為差商 的極限f'(x),他強調指出f'(x)不是兩個零的商。波爾查諾的思想是有價值的,但關於‘極限的本質’他仍未描述清楚。
到了19世紀,法國數學家柯西在前人工作的基礎上,比較完整地闡述了“極限概念”及其理論,他在《分析教程》中指出:“當一個變數逐次所取的值無限趨於一個定值,最終使變數的值和該定值之差要多小就多小,這個定值就叫做所有其他值的極限值,特別地,當一個變數的數值(絕對值)無限地減小使之收斂到極限0,就說這個變數成為無窮小。”
柯西把無窮小視為“以0為極限的變數”,這就正確地確立了“無窮小”概念為“似零不是零去卻可以人為用等於0處理”的辦法,這就是說,在變數的變化過程中,它的值實際上不等於零,但它變化的趨向是向“零”,可以無限地接近於零。那么人們就可以用“等於0”來處理,是不會產生錯誤結果的。
柯西試圖消除極限概念中的幾何直觀,(但是“幾何直觀”不是消極的東西,我們研究函式時也可以可以發揮想像力——“動態趨勢的變數圖像,假設被放大到巨大的天文倍數以後,我們也會永遠不能看到變數值‘重合於0”,所以用不等式表示會更加“明確”)作出極限的明確定義,然後去完成牛頓的願望。但柯西的敘述中還存在描述性的詞語,如“無限趨近”、“要多小就多小”比較通俗易懂的描述,對於概念的理解比較容易,因此其定義還保留著幾何和物理的直觀痕跡,一分為二,直觀痕跡比較多也會有好處,但是結合下面的抽象定義可更加容易理解‘極限’的概念。
為了排除極限概念中的直觀痕跡,維爾斯特拉斯提出了極限的靜態的抽象定義,給微積分提供了嚴格的理論基礎。所謂x→x,就是指:“如果對任何ε>0,總存在自然數N,使得當n>N時,不等式|x-x|<ε恆成立”。
這個定義,藉助不等式,通過ε和N之間的關係,定量地、具體地刻劃了兩個“無限過程”之間的聯繫。因此,這樣的定義應該是目前比較嚴格的定義,可作為科學論證的基礎,至今仍在數學分析書籍中使用。在該定義中,涉及到的僅僅是‘數及其大小關係’,此外只是用給定、存在、任何等詞語,已經擺脫了“趨近”一詞,不再求助於運動的直觀。(但是理解’極限‘概念不能夠拋棄‘運動趨勢’去理解, 否則容易導致’把常量概念不科學地進入到微積分’領域裡)
常量可理解為‘不變化的量’。微積分問世以前,人們習慣於用靜態圖像研究數學對象,自從解析幾何和微積分問世以後,考慮‘變化量’的運動思維方式進入了數學領域,人們就有數學工具對物理量等等事物變化過程進行動態研究。之後,維爾斯特拉斯,建立的ε-N語言,則用靜態的定義描述變數的變化趨勢。這種“靜態——動態——靜態”的螺旋式的上升演變,反映了數學發展的辯證規律。
極限思想的思維功能
極限思想在現代數學乃至物理學等學科中,有著廣泛的套用,這是由它本身固有的思維功能所決定的。極限思想揭示了變數與常量、無限與有限的對立統一關係,是唯物辯證法的對立統一規律在數學領域中的套用。藉助極限思想,人們可以從有限認識無限,從“不變”認識“變”,從“直線構成形”認識“曲線構成形”,從量變去認識質變,從近似認識精確。
“無限”與’有限‘概念本質不同,但是二者又有聯繫,“無限”是大腦抽象思維的概念,存在於大腦里。“有限”是客觀實際存在的千變萬化的事物的“量”的映射,符合客觀實際規律的“無限”屬於整體,按公理,整體大於局部思維。
“變”與“不變”反映了事物運動變化,與相對靜止,兩種不同狀態,但它們在一定條件下又可相互轉化,這種轉化是“數學科學的有力槓桿之一”。例如,物理學,求變速直線運動的瞬時速度,用初等方法無法解決,困難在於變速直線運動的瞬時速度是變數不是常量。為此,人們先在小的時間間隔範圍內用“勻速”計算方法代替“變速”狀態的計算,求其平均速度,把較小的時間內的瞬時速度定義為求“速度的極限”,是藉助了極限的思想方法,從“不變”形式來尋找“某一時刻變”的“極限”的精密結果。
曲線形與直線形圖像有著本質的差異,但在一定條件下也可相互轉化,正如恩格斯所說:“直線和曲線在微分中終於等同起來了”。善於利用這種對立統一關係,是處理數學問題的重要手段之一。用直線構成的圖形的面積易求;但是求曲線組成的圖形的面積,用初等數學是不能準確地解決的。古人劉徽用“”圓內接多邊形逼近圓面積”;人們用“變形為矩形的面積”來逼近曲邊梯形的面積,等等,都是藉助於極限的思想方法,從直線形來起步認識曲線形問題的解答。
無限逼近“真實值”(結論完全沒有誤差)思想,在數學研究工作中起著重要作用。例如對任何一個圓內接正多邊形來說,當它邊數加倍後,得到圓面積的近似答案還是圓內接正多邊形的面積。人們不斷地讓其邊數加倍增加,經過無限過程之後,多邊形就“變”成一個與真實的圓面積相差不大的“假圓”,每一步“邊數增加的變化”都可以使用原來的‘常量公式累計,得到越來越靠近真實值的“圓面積”,圓的邊上的‘越來越多的新的小的三角形底邊,變形中的數不清的三角形正反互補得到的矩形,其長邊的總和的極限等於“圓周長的一半”與半徑的乘積計算得到圓面積(就是極限概念的套用),趨勢極限,愈來愈逼近圓面積。這就是藉助於極限的思想方法,化繁為簡’解決求圓面積問題,其他問題思維方法一樣。
用極限概念解決問題時,首先用傳統思維,用‘低等數學思維的常量思維建立某一個函式(計算公式),再想辦法進行圖像總的面積不變的變形,然後把某一個對應的變數的極限求出,就可以解決問題了。這種“恆等”轉化中尋找極限數值,是數學套用於實際變數計算的重要訣竅。前面所講到的“部分和”、“平均速度”、“圓內接正多邊形面積方法”,分別是相應的“無窮級數之趨近數值”、“瞬時速度”、“求圓面積”的最為精確的近似值的辦法,用極限思想,可得到相應的無比精確的結論值。這都是藉助於極限的思想方法,人們用‘無限地逼近’也可以實現精密計算結果’,用此新方法——微積分的極限思維,可滿意地解決‘直接用常量辦法計算有變化量的函式但無現成公式可用,所以計算結果誤差大’的問題。
建立的概念
極限的思想方法貫穿於數學分析課程的始終。可以說數學分析中的幾乎所有的概念都離不開極限。在幾乎所有的數學分析著作中,都是先介紹函式理論和極限的思想方法,然後利用極限的思想方法給出連續函式、導數、定積分、級數的斂散性、多元函式的偏導數,廣義積分的斂散性、重積分和曲線積分與曲面積分的概念。如:
(1)函式在 點連續的定義,是當自變數的增量趨於零時,函式值的增量趨於零的極限。
(2)函式在 點導數的定義,是函式值的增量 與自變數的增量 之比 ,當 時的極限。
(3)函式在 點上的定積分的定義,是當分割的細度趨於零時,積分和式的極限。
(4)數項級數的斂散性是用部分和數列 的極限來定義的。
(5)廣義積分是定積分其中 為,任意大於 的實數當 時的極限,等等。
解決問題的極限思想
’極限思想’方法,是數學分析乃至全部高等數學必不可少的一種重要方法,也是‘數學分析’與在‘初等數學’的基礎上有承前啟後連貫性的、進一步的思維的發展。數學分析之所以能解決許多初等數學無法解決的問題(例如求瞬時速度、曲線弧長、曲邊形面積、曲面體的體積等問題),正是由於其採用了‘極限’的‘無限逼近’的思想方法,才能夠得到無比精確的計算答案。
人們通過考察某些函式的一連串數不清的越來越精密的近似值的趨向,趨勢,可以科學地把那個量的極準確值確定下來,這需要運用極限的概念和以上的極限思想方法。要相信, 用極限的思想方法是有科學性的,因為可以通過極限的函式計算方法得到極為準確的結論。
數列極限
定義
可定義某一個數列{x}的收斂:
極限[數學術語]
極限[數學術語]設{x}為一個無窮實數數列的集合。如果存在實數a,對於任意正數ε (不論其多么小),都∃N>0,使不等式|x-a|<ε在n∈(N,+∞)上恆成立,那么就稱常數a是數列{x} 的極限,或稱數列{x} 收斂於a。記作 或 。
如果上述條件不成立,即存在某個正數ε,無論正整數N為多少,都存在某個n>N,使得|x-a|≥a,就說數列{x}不收斂於a。如果{x}不收斂於任何常數,就稱{x}發散。
對定義的理解:
極限[數學術語]1、 ε的任意性 定義中ε的作用在於衡量數列通項 與常數a的接近程度。ε越小,表示接近得越近;而正數ε可以任意地變小,說明x與常數a可以接近到任何不斷地靠近的程度。但是,儘管ε有其任意性,但一經給出,就被暫時地確定下來,以便靠它用函式規律來求出N;
又因為ε是任意小的正數,所以ε/2 、3ε 、ε 等也都在任意小的正數範圍,因此可用它們的數值近似代替ε。同時,正由於ε是任意小的正數,我們可以限定ε小於一個某一個確定的正數。
2、 N的相應性 一般來說,N隨ε的變小而變大,因此常把N寫作N(ε),以強調N對ε的變化而變化的依賴性。但這並不意味著N是由ε唯一確定的:(比如若n>N使|x-a|<ε成立,那么顯然n>N+1、n>2N等也使|x-a|<ε成立)。重要的是N的存在性,而不在於其值的大小。
極限[數學術語]3、從 幾何意義上看,“當n>N時,均有不等式|x-a|<ε成立”意味著:所有下標大於N的 都落在(a-ε,a+ε)內;而在(a-ε,a+ε)之外,數列{x} 中的項至多只有N個(有限個)。換句話說,如果存在某 ε>0,使數列{x} 中有無窮多個項落在(a-ε,a+ε) 之外,則{x} 一定不以a為極限。
注意幾何意義中:1、在區間(a-ε,a+ε)之外至多只有N個(有限個)點;2、所有其他的點x,x,...(無限個)都落在該鄰域之內。這兩個條件缺一不可,如果一個數列能達到這兩個要求,則數列收斂於a;而如果一個數列收斂於a,則這兩個條件都能滿足。換句話說,如果只知道區間(a-ε,a+ε)之內有{x}的無數項,不能保證(a-ε,a+ε)之外只有有限項,是無法得出{x}收斂於a的,在做判斷題的時候尤其要注意這一點。
性質
1、 唯一性:若數列的極限存在,則極限值是唯一的,且它的任何子列的極限與原數列的相等。
2、 有界性:如果一個數列’收斂‘(有極限),那么這個數列一定有界。
但是,如果一個數列有界,這個數列未必收斂。例如數列 :“1,-1,1,-1,……,(-1) ”
極限[數學術語]
極限[數學術語]3、 保號性:若 (或<0),則對任何m∈(0,a)(a<0時則是 m∈(a,0)),存在N>0,使n>N時有 (相應的x<m)。
極限[數學術語]4、 保不等式性:設數列{x} 與{y}均收斂。若存在正數N ,使得當n>N時有x≥y,則 (若條件換為x>y ,結論不變)。
5、 和實數運算的相容性:譬如:如果兩個數列{x} ,{y} 都收斂,那么數列{x+y}也收斂,而且它的極限等於{x} 的極限和{y} 的極限的和。
6、 與子列的關係:數列{x} 與它的任一平凡子列同為收斂或發散,且在收斂時有相同的極限;數列{x} 收斂的充要條件是:數列{x} 的任何非平凡子列都收斂。
單調收斂定理
單調有界數列必收斂。
柯西收斂原理
設{x} 是一個數列,如果對任意ε>0,存在N∈Z*,只要 n 滿足 n > N,則對於任意正整數p,都有|x-x|<ε,這樣的數列{x} 便稱為柯西數列。
這種漸進穩定性與收斂性是等價的。即為充分必要條件。
函式極限
自變數趨近有限值時函式的極限:
極限[數學術語]
極限[數學術語]
極限[數學術語]
極限[數學術語]
極限[數學術語]
極限[數學術語]
極限[數學術語]定義:設函式f(x)在點x的某一去心鄰域內有定義,如果存在常數a,對於任意給定的正數ε,都,使不等式在時恆成立,那么常數就叫做函式 當 時的極限,記作 。
極限[數學術語]
極限[數學術語]
極限[數學術語]
極限[數學術語]如果函式 當 時不以a為極限,則存在某個正數ε ,對於任何正數δ,當 時, 。
極限[數學術語]
極限[數學術語]
極限[數學術語]
極限[數學術語]
極限[數學術語]
極限[數學術語]
極限[數學術語]
極限[數學術語](解釋:當 時 收斂於 ,我們一定能證明x足夠接近x時, 與極限 的差距 小於任意小的指定誤差。而當 時 不收斂於,我們就能證明無論x與x的距離有多近,f(x)與a的差距都無法小於指定的某個誤差。)
自變數趨近無窮值時函式的極限:
極限[數學術語]
極限[數學術語]
極限[數學術語]
極限[數學術語]
極限[數學術語]
極限[數學術語]
極限[數學術語]定義: 設函式f(x)當|x| 大於某一正數時有定義,如果存在常數a,對於任意給定的正數ε,總存在正數M ,使得當x滿足不等式 時,都滿足 ,那么常數 就叫做函式 當 時的極限,記作 。
極限[數學術語]
極限[數學術語]
極限[數學術語]
極限[數學術語]
極限[數學術語]
極限[數學術語]若函式當時不以為極限,則存在某個正數ε,對任何正數M,當時,滿足。
極限[數學術語]
極限[數學術語]
極限[數學術語]
極限[數學術語]
極限[數學術語]
極限[數學術語]
極限[數學術語]
極限[數學術語](解釋:當時收斂於,我們一定能證明當足夠大時,f(x)與極限a的差距 小於任意小的指定誤差。而當時不收斂於,我們就能證明無論有多大,f(x)與a的差距都無法小於指定的某個誤差。)
函式的左右極限:
極限[數學術語]
極限[數學術語]
極限[數學術語]
極限[數學術語]
極限[數學術語]
極限[數學術語]
極限[數學術語]
極限[數學術語]
極限[數學術語]
極限[數學術語]1:如果當 從點 的左側(即 )無限趨近於 時,函式 無限趨近於常數 ,就說 是函式 在點 處的左極限,記作 。
極限[數學術語]
極限[數學術語]
極限[數學術語]
極限[數學術語]
極限[數學術語]
極限[數學術語]
極限[數學術語]
極限[數學術語]
極限[數學術語]2:如果當x從點 右側(即 )無限趨近於點 時,函式 無限趨近於常數 ,就說 是函式 在點 處的右極限,記作 。
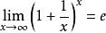
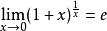
兩個重要極限:
極限[數學術語]1、
極限[數學術語]
極限[數學術語]2、 或
極限[數學術語](其中 是一個無理數,也就是自然對數的底數)
運算法則:
極限[數學術語]
極限[數學術語]
極限[數學術語]設 , 存在,且令 ,則有以下運算法則:
線性運算:
加減:
極限[數學術語]數乘:
極限[數學術語](其中c是一個常數)
非線性運算:
乘除:
極限[數學術語]
極限[數學術語]( 其中B≠0 )
冪運算:
極限[數學術語]經濟套用數學
| 經濟套用數學是高等學校財經類專業的必學內容。此任務主要對微積分的基本知識進行概述講解。提供給剛入門此專業的學生。希望對他們有所幫助。 |
![極限[數學術語] 極限[數學術語]](/img/a/e1c/nBnauM3X2ETMyUjNzgDOzkDN1UTM1QDN5MjM5ADMwAjMwUzL4gzL3IzLt92YucmbvRWdo5Cd0FmLzE2LvoDc0RHa.jpg)
