定義
定義1:構造一個集函式,它能賦予實數集簇М中的每一個集合E一個非負擴充實數mE。我們將此集函式稱為E的測度 。
定義2:設Γ是集合X上一σ代數,ρ :Γ → R∪{ +∽ }是一集合函式,且ρ滿足:
(1)(非負性)對任意的A∈Γ,有ρ(A)≧0;
(2)(規範性)ρ(Φ) = 0;
(3)(完全可加性) 對任意的一列兩兩不交集合A1,A2,……,An,……有ρ(∪n An)=∑n ρ(An)
則稱ρ是定義在X上的一個測度,Γ中的集合是可測集,不在Γ中的集合是不可測集。特別的,若ρ(X) = 1 ,則稱ρ為機率測度。
性質
下面的一些性質可從測度的定義導出:
單調性
測度[數學術語]
測度[數學術語]
測度[數學術語]
測度[數學術語]
測度[數學術語]測度 的單調性: 若 和 為可測集,而且 ,則 。
可數個可測集的並集的測度
測度[數學術語]
測度[數學術語]若 為可測集(不必是兩兩不交的),則集合 的並集是可測的,且有如下不等式(“次可列可加性”):
測度[數學術語]
測度[數學術語]
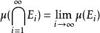
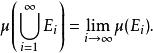
測度[數學術語]如果還滿足並且對於所有的 , ,則如下極限式成立:
測度[數學術語]可數個可測集的交集的測度
測度[數學術語]
測度[數學術語]
測度[數學術語]
測度[數學術語]
測度[數學術語]若 為可測集,並且對於所有的 , ,則 的交集是可測的。進一步說,如果至少一個 的測度有限,則有極限:
測度[數學術語]
測度[數學術語]
測度[數學術語]如若不假設至少一個 的測度有限,則上述性質一般不成立。例如對於每一個 ,令
測度[數學術語]這裡,全部集合都具有無限測度,但它們的交集是空集。
完備性
測度[數學術語]
測度[數學術語]一個可測集稱為 零測集,如果。零測集的子集稱為 可去集,它未必是可測的,但零測集自然是可去集。如果所有的可去集都可測,則稱該測度為 完備測度。
測度[數學術語]
測度[數學術語]
測度[數學術語]一個測度可以按如下的方式延拓為完備測度:考慮的所有這樣的子集 F,它與某個可測集 E僅差一個可去集,也就是說 E與 F的對稱差包含於一個零測集中。由這些子集 F生成的σ代數,並定義的值就等於。
例子
下列是一些測度的例子(順序與重要性無關)。
測度[數學術語]計數測度定義為 的“元素個數”。
測度[數學術語]
測度[數學術語]一維勒貝格測度是定義在 的一個含所有區間的σ代數上的、完備的、平移不變的、滿足 的唯一測度。
Circular angle測度是旋轉不變的。
局部緊拓撲群上的 哈爾測度是勒貝格測度的一種推廣,而且也有類似的刻劃。
測度[數學術語]
測度[數學術語]恆零測度定義為 ,對任意的 。
每一個機率空間都有一個測度,它對全空間取值為1(於是其值全部落到單位區間[0,1]中)。這就是所謂 機率測度。見機率論公理。
其它例子,包括:狄拉克測度、波萊爾測度、若爾當測度、遍歷測度、歐拉測度、高斯測度、貝爾測度、拉東測度。
![測度[數學術語] 測度[數學術語]](/img/8/ee1/nBnauM3X0QTM0QTM2kjN0ETN1UTM1QDN5MjM5ADMwAjMwUzL5YzL0gzLt92YucmbvRWdo5Cd0FmLwE2LvoDc0RHa.jpg)
