無窮小量
如果在x→0時,f(X)=0,則稱f(X)=0是當x→0時的無窮小量,簡稱無窮小。
無窮小量就是極限為零的量。確切地說,當自變數x無限接近x0(或x的絕對值無限增大)時,函式值f(x)與零無限接近,即limf(x)=0,則稱f(x)為當x→x0(或x→∞)時的無窮小量。例如,f(x)=(x-1)^2是當x→1時的無窮小量,f(x)= 1/n是當n→∞時的無窮小量,f(x)=sinx是當x→0時的無窮小量(注意:特別小的數和無窮小量不同)。
同階無窮小
如果lim F(x)=0,lim G(x)=0,且lim F(x)/G(x)=c,c為常數並且c≠0,則稱F(x)和 G(x)是同階無窮小。例如:
計算極限:lim(1-cosx)/x^2在x→0時,得到值為1/2,則說在x→0時,(1-cosx)與x^2是同階無窮小。
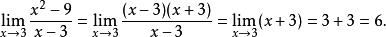
同階無窮小例如,因為
所以,在 x→3 的過程中,x -9 與 x-3 是同階無窮小。意思是在x→3 的過程中,(x -9)→0 與 (x-3)→0的快慢一樣。
無窮小的比較
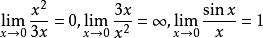
觀察無窮小比值的極限:
同階無窮小兩個無窮小比值極限的各種不同情況,反映了不同的無窮小趨於零的“快慢”程度。在x→0 的過程中,x→0 比 3x→0 “快些”,反過來 3x→0 比 x→0 “慢些”,而 sin x→0 與 x→0 “快慢相仿”。
為了套用上的需要,我們就無窮小之比的極限存在或為無窮大時,給出下面的比較定義。
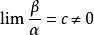
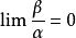
定義,設 α 及 β 都是同一個自變數的變化過程中的無窮小。
同階無窮小
同階無窮小如果,就說β是比α高階的無窮小,記為;
同階無窮小如果,就說β是比α 低階的無窮小;
同階無窮小如果,就說β與α 是同階無窮小;
同階無窮小如果,就說β是關於 α 的k階無窮小;
同階無窮小如果,就說β與α 是等價無窮小,記為 β~α。

