定義
等價無窮小
等價無窮小
等價無窮小
等價無窮小
等價無窮小
等價無窮小
等價無窮小
等價無窮小等價無窮小的定義:設當 時, 和 均為無窮小量。若 ,則稱 和 是等價無窮小量,記作 。
等價無窮小
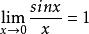
等價無窮小例如:由於 ,故有 。
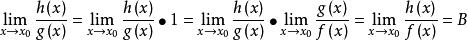
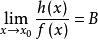
等價無窮小替換是計算未定型極限的常用方法,它可以使求極限問題化繁為簡,化難為易。
求極限時,使用等價無窮小的條件 :
被代換的量,在取極限的時候極限值為0;
被代換的量,作為被乘或者被除的元素時可以用等價無窮小代換,但是作為加減的元素時就不可以。
1.被代換的量,在取極限的時候極限值為0;
2.被代換的量,作為被乘或者被除的元素時可以用等價無窮小代換,但是作為加減的元素時就不可以。
定理
無窮小等價替換定理
等價無窮小
等價無窮小
等價無窮小
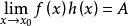
等價無窮小設函式 , , ,在 內有定義,且有
等價無窮小
等價無窮小
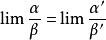
等價無窮小(1)若 ,則 ;
等價無窮小
等價無窮小(2)若 ,則 。
證明:
等價無窮小(1) 。
等價無窮小(2)。
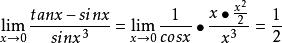
例如:利用等價無窮小量代換求極限
等價無窮小
等價無窮小
等價無窮小
等價無窮小
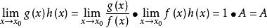
等價無窮小而,,,
等價無窮小故有。
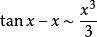
注意:等價無窮小一般只能在乘除中替換,在加減中替換有時會出錯(加減時可以整體代換,不一定能隨意 單獨代換或分別代換) 。如在上例中:
等價無窮小
等價無窮小
等價無窮小若因有,,而推出,則得到的是 錯誤的結果。
註:可直接等價替換的類型
等價無窮小
等價無窮小
等價無窮小
等價無窮小(以上幾個性質可以用來化簡一些未定式以方便運用洛必達法則)
需要滿足一定條件才能替換的類型
等價無窮小
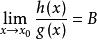
等價無窮小若 ,則
(該條性質非常重要,這是判斷在加減法中能否分別等價替換的重要依據)
變上限積分函式(積分變限函式)也可以用等價無窮小進行替換。
公式
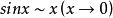
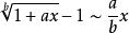
常見等價無窮小
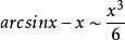
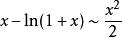
等價無窮小當 時,
等價無窮小
等價無窮小
等價無窮小
等價無窮小
等價無窮小
等價無窮小
等價無窮小
等價無窮小
等價無窮小
等價無窮小
等價無窮小
等價無窮小
等價無窮小
等價無窮小註:以上各式可通過泰勒展開式推導出來。
推導過程
等價無窮小
等價無窮小
等價無窮小
等價無窮小α和β都是無窮小,且 , 存在(或 ),則有
等價無窮小
極限
數學分析的基礎概念。它指的是變數在一定的變化過程中,從總的來說逐漸穩定的這樣一種變化趨勢以及所趨向的數值(極限值)。極限方法是數學分析用以研究函式的基本方法,分析的各種基本概念(連續、微分、積分和級數)都是建立在極限概念的基礎之上,然後才有分析的全部理論、計算和套用.所以極限概念的精確定義是十分必要的,它是涉及分析的理論和計算是否可靠的根本問題。歷史上是柯西(Cauchy,A.-L.)首先較為明確地給出了極限的一般定義。他說,“當為同一個變數所有的一系列值無限趨近於某個定值,並且最終與它的差要多小就有多小”(《分析教程》,1821),這個定值就稱為這個變數的極限.其後,外爾斯特拉斯(Weierstrass,K.(T.W.))按照這個思想給出嚴格定量的極限定義,這就是現在數學分析中使用的ε-δ定義或ε-Ν定義等。從此,各種極限問題才有了切實可行的判別準則。在分析學的其他學科中,極限的概念也有同樣的重要性,在泛函分析和點集拓撲等學科中還有一些推廣。

