無窮小量
定義
等價無窮小量
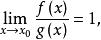
等價無窮小量設 在某 上有定義。若
等價無窮小量
等價無窮小量
等價無窮小量則稱 為當 時的無窮小量。
等價無窮小量
等價無窮小量類似地可以定義當 以及 時的無窮小量。
性質
(1)兩個(相同類型的)無窮小量之和、差、積仍為無窮小量。
(2)無窮小量與有界量的乘積為無窮小量。
等價無窮小量
定義
等價無窮小量
等價無窮小量
等價無窮小量設當 時, 與 均為無窮小量。若
等價無窮小量
等價無窮小量
等價無窮小量
等價無窮小量則稱 與 是當 時的等價無窮小量 。記作
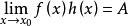
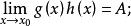
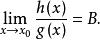
等價無窮小量性質
等價無窮小量
等價無窮小量設函式 在 上有定義,且有
等價無窮小量
等價無窮小量
等價無窮小量(1)若 ,則
等價無窮小量
等價無窮小量(2)若 ,則
常用的等價無窮小量
等價無窮小量(1)當 時,常用的等價無窮小量
等價無窮小量
等價無窮小量
等價無窮小量(2)當 時,由基本等價無窮小量派生常用等價無窮小量
等價無窮小量
等價無窮小量
等價無窮小量
等價無窮小量套用
等價無窮小量(1)求極限
等價無窮小量解:由 所以
等價無窮小量
等價無窮小量(2)求極限
等價無窮小量解:由 可得
等價無窮小量