定義
無窮小量
無窮小量
無窮小量無窮小是極限為零的函式。如是自變數,因變數極限為零的函式。此時f(x)就是的無窮小。
無窮大是指絕對值大於任何數的函式,因此負無窮不是無窮小,而是無窮大。
無窮小量設f在某x的空心鄰域有定義。
無窮小量
無窮小量
無窮小量
無窮小量
無窮小量
無窮小量
無窮小量
無窮小量
無窮小量
無窮小量
無窮小量
無窮小量對於任給的正數 ε(無論它多么小),總存在正數 (或正數 )使得不等式(或 )的一切 對應的函式值 都滿足不等式 ,則稱函式 為當 (或 )時的無窮小量。記做: (或 )。
性質
1、無窮小量不是一個數,它是一個變數。
2、零可以作為無窮小量的唯一一個常量。
3、無窮小量與自變數的趨勢相關。
無窮小量
無窮小量
無窮小量4、若函式 在某 的空心鄰域內有界,則稱g為當 時的有界量。
無窮小量
無窮小量
無窮小量
無窮小量
無窮小量
無窮小量
無窮小量
無窮小量例如 ,都是當 時的無窮小量, 是當 時的無窮小量,而 為 時的有界量, 是當 時的有界量。特別的,任何無窮小量也必定是有界量。
5、有限個無窮小量之和仍是無窮小量。
6、有限個無窮小量之積仍是無窮小量。
7、有界函式與無窮小量之積為無窮小量。
8、特別地,常數和無窮小量的乘積也為無窮小量。
9、恆不為零的無窮小量的倒數為無窮大,無窮大的倒數為無窮小。
無窮大
無窮小量
無窮小量
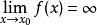
無窮小量當自變數x趨於x時,函式的絕對值無限增大,則稱 為當 時的無窮大。記作 。
同樣,無窮大不是一個具體的數字,而是一個無限發展的趨勢。
階的比較
前提條件
無窮小量是以0為極限的函式,而不同的無窮小量收斂於0的速度有快有慢。因此兩個無窮小量之間又分為高階無窮小 ,低階無窮小,同階無窮小,等價無窮小。
無窮小量
無窮小量
無窮小量
無窮小量首先規定 都為 時的無窮小, 在某 的空心鄰域恆不為0。
高低階無窮小量
無窮小量
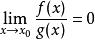
無窮小量,則稱當 時,f為g的高階無窮小量,或稱g為f的低階無窮小量。
無窮小量
無窮小量記做 ( )
無窮小量
無窮小量
無窮小量特別的,f為當 時的無窮小量記作 ( )。
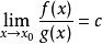
同階無窮小量
無窮小量
無窮小量當 (c≠0)時,ƒ和ɡ為 時的同階無窮小量。
當x→0時的同階無窮小量:
無窮小量
無窮小量與
無窮小量
無窮小量與
等價無窮小量
無窮小量
無窮小量
無窮小量
無窮小量,則稱ƒ和ɡ是當 時的等價無窮小量,記做: ( )。
等價無窮小量套用最廣泛,常見的有:
當x→0時
無窮小量
無窮小量
無窮小量
無窮小量, , ( )

