基本概念
高階無窮小
高階無窮小
高階無窮小
高階無窮小
高階無窮小
高階無窮小
高階無窮小
高階無窮小
高階無窮小
高階無窮小
高階無窮小
高階無窮小對於兩個無窮小量 和 ,如果 ,就把 叫做比 高階的無窮小量,並把 叫做比 低階的無窮小量;簡稱 是 的 高階無窮小, 是 的低階無窮小,記成 。
高階無窮小
高階無窮小
高階無窮小
高階無窮小
高階無窮小如果 ,其中 為異於零的常數,這時把 叫做 的 階無窮小 。
高階無窮小
高階無窮小
高階無窮小
高階無窮小
高階無窮小
高階無窮小
高階無窮小例如,因為 ,所以 時 是比 較高階的無窮小,意思是說在 的過程中 比 趨向0的速度快 。
概念分析
在同一個變化過程中的兩個無窮小,雖然同時都趨向於零,但是它們 趨向於零的快慢程度有時卻不一樣,甚至差別很大。實際問題中,有時需要討論這種 趨向零的快慢問題,舉例於下 。
圖1
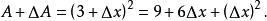
高階無窮小有一塊正方形的金屬片,它的邊長原來是3,受熱後增加了 ,問這塊金屬片的面積增加了多少?
高階無窮小
高階無窮小
高階無窮小如圖1所示,設加熱前正方形金屬片的面積為 ,即 ,加熱後正方形金屬片的面積為 ,即
高階無窮小
高階無窮小因此正方形金屬片在加熱後面積增加了 :
高階無窮小
高階無窮小
高階無窮小這個等式的右邊有兩項,我們在圖1中看到,畫有斜線的兩塊窄矩形的面積之和就是 ,而畫有交叉線的一小塊正方形的面積就是 。
高階無窮小
高階無窮小
高階無窮小
高階無窮小
高階無窮小容易看出,當 時 ,就是說, 和 都是當 時的無窮小。現在我們把它們趨近於零的快慢情況列表比較於下:
高階無窮小 | 0.5 | 0.1 | 0.01 | 0.001 | ...... | → 0 |
高階無窮小 | 3 | 0.6 | 0.06 | 0.006 | ...... | → 0 |
高階無窮小 | 0.25 | 0.01 | 0.0001 | 0.000001 | ...... | → 0 |
高階無窮小
高階無窮小
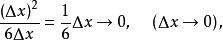
高階無窮小從表中看出,當 時, 趨近零比 趨近零快得多,從它們的比值來看,就有
高階無窮小
高階無窮小
高階無窮小
高階無窮小
高階無窮小
高階無窮小即 與 之比也是當 時的無窮小。這時,我們就說 是比 高階的無窮小。
一般地,我們對兩個無窮小的比較作如下規定:
高階無窮小
高階無窮小
高階無窮小
高階無窮小
高階無窮小設 和 都是無窮小,如果 ,我們就說 是比 高階的無窮小。
高階無窮小
高階無窮小在實際問題的計算中,如果遇到幾個不同階的無窮小量之和,常常把高階無窮小忽略不計。例如,在計算上述正方形金屬片加熱後的面積時,如果 不大,就往往略去 項,而得到
高階無窮小這樣,既抓住了主要矛盾,又簡化了運算手續,而且在許多情況下滿足了實際問題的要求 。
無窮小量的比較
高階無窮小
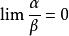
高階無窮小設 是同一變化過程中的無窮小, 這一過程中的極限,那么:
高階無窮小
高階無窮小
高階無窮小
高階無窮小(1)如果 ,則稱 是比 高階的無窮小,記作 。
高階無窮小
高階無窮小
高階無窮小(2) 如果 ,則稱 是比 低階的無窮小。
高階無窮小
高階無窮小
高階無窮小(3) 如果 ,則稱 與 是同階無窮小。
高階無窮小
高階無窮小
高階無窮小
高階無窮小(4) 如果 ,則稱 與 是等價無窮小,記作 。
高階無窮小
高階無窮小
高階無窮小(5) 如果 ,則稱 是關於 的k階無窮小 。
常用的等價無窮小
高階無窮小當 時,
高階無窮小
