基本概念
定理 如果a是一個不等於1的正實數,那么對於任意給定的正實數N,都存在惟一的實數b,使得a =N。
定義 設a是一個不等於1的正實數,N是任意給定的正實數,如果實數b使得等式a =N成立,那么b叫做以a為底的N的對數,記作logN=b,N叫做真數。
根據對數定義,指數式a =N和對數式logN=b是等價的。在處理有關問題時,它們可以互相轉化,從而簡化解題過程 。
相關性質
對數有以下幾個主要性質,其中a>0,a≠1,M>0,N>0 。
1.基本性質
性質1 零和負數沒有對數。
性質2 底的對數等於1,loga=1。
性質3 1的對數等於0,log1=0。
2.運算性質
性質4 log(MN)=logM+logN。
性質5 log(M/N)=logM-logN。
性質6 logN =nlogN。
3.常用恆等式
對數式性質7 對數恆等式
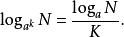
對數式性質8 對數換底公式
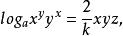
對數式推論1
對數式推論2
對數式推論3
例題解析
對數式
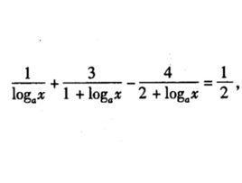
對數式【例1】已知 ,求
對數式
對數式
對數式
對數式證明:由已知得 ,即 且 ,即
對數式因此
對數式
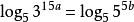
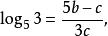
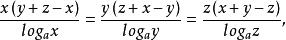
對數式【例2】已知求證
證明:設已知比例式的比值為k,得
對數式
對數式以得
對數式
對數式
對數式注意到均為不等於1的正整數,所以,由上式可知
對數式同理
對數式所以
對數式
