基本介紹
當a>0,a≠1,b>0,b≠1且N>0時,
對數換底公式稱為對數換底公式,式中1/logb稱為以a為底的對數換成以b為底的對數的轉換模,特殊情形是
對數換底公式或
對數換底公式換底公式可以把一個對數化為以任何大於零而不等於1的數為底的對數 。
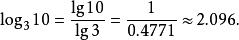
特別的當(1)中a=10時,
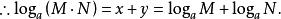
對數換底公式換底公式的變形及推論
對數換底公式①
對數換底公式②
對數換底公式③
對數換底公式④
對數換底公式⑤
例題解析
對數換底公式
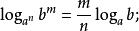
對數換底公式【例1】求證其中,。
對數換底公式證法一 設
對數換底公式則
對數換底公式
對數換底公式
對數換底公式證法二
對數換底公式
對數換底公式
對數換底公式【例2】求的值。
對數換底公式解:
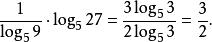
對數換底公式【例3】計算。
對數換底公式解法1:原式=
對數換底公式解法2:原式=
對數換底公式解法3:原式=

