簡介
鐵(iron)是一種金屬元素,原子序數26,鐵單質化學式:Fe。純鐵是白色或者銀白色的,有金屬光澤。熔點1538℃、沸點2750℃,能溶於強酸和中強酸,不溶於水。鐵有0價、+2價、+3價和+6價,其中+2價和+3價較常見,+6價少見。
鐵在生活中分布較廣,占地殼含量的4.75%,僅次於氧、矽、鋁,位居地殼含量第四。純鐵是柔韌而延展性較好的銀白色金屬,用於制發電機和電動機的鐵芯,鐵及其化合物還用於制磁鐵、藥物、墨水、顏料、磨料等,是工業上所說的“黑色金屬”之一(另外兩種是鉻和錳)(其實純淨的生鐵是銀白色的,鐵元素被稱之為“黑色金屬”是因為鐵表面常常覆蓋著一層主要成分為黑色四氧化三鐵的保護膜)。另外人體中也含有鐵元素,+2價的亞鐵離子是血紅蛋白的重要組成成分,用於氧氣的運輸。
主要使用的鐵礦石有:Fe2O3(赤鐵礦)、Fe3O4(磁鐵礦)、FeCO3(菱鐵礦)、FeS2(黃鐵礦)……
研究簡史
人類最早發現鐵是從天空落下的隕石,隕石含鐵的百分比很高(鐵隕石中含鐵90.85%),是鐵和鎳、鈷的混合物。考古學家曾經在古墳墓中,發現隕鐵製成的小斧;早在古埃及4000年前的第五王朝至第六王朝的金字塔所藏的宗教經文中,就記述了當時太陽神等重要神像的寶座是用鐵製成的。鐵在當時被認為是帶有神秘性的的最珍貴的金屬,埃及人乾脆把鐵叫做“天石"。在古希臘文中,“星”與“鐵”是同一個詞。
鐵的用處和歷史 有鐵制物件最早發現於公元前3500年的古埃及。它們包含7.5%的鎳,表明它們來自流星。古代小亞細亞半島(也就是現 今的土耳其)的西臺人,是第一個從鐵礦石中熔煉鐵的,約公元前1500年這種新的,堅硬的金屬給了他們經濟和政治上的力量。鐵器時代開始了。某些種類的鐵明顯優於其它的,依賴於它的碳含量,儘管這並不被賞識。某些鐵礦石包含釩,生產出叫做大馬士革的鋼,很適合制劍。
在我國,從戰國時期到東漢初年,鐵器的使用開始普遍起來,成為了我國最主要的金屬。鐵的化合物四氧化三鐵就是磁鐵礦,是早期司南的材料
1978年,在北京平谷縣劉河村發掘一座商代陵墓,出土許多青銅器,最引人注目的是一件古代鐵刃銅鉞,經鑑定鐵刃是由隕鐵鍛制的,這不僅表明中國最早發現的鐵也來自隕石,也說明我國勞動人3300多年前就認識鐵並熟悉了鐵的鍛造性能,識別了鐵和青銅在性質上的差別,並且把鐵用於鍛接銅兵器,以加強銅的尖利性。
鐵呈銀白色至銀灰色 由於隕石來源極其稀少,從隕石中得來的鐵對生產沒有太大作用,隨著青銅技術的成熟,鐵的冶煉技術才逐步發展。我國最早人工冶煉的鐵是在春秋戰國之交的時期出現的,距離今大約2500年。我國煉鋼技術發展也很早,1978年,湖南省博物館長沙鐵路車站建設工程文物發掘隊從一座古墓出土一口鋼劍,從古墓隨葬器的器型,紋飾以及墓葬的形制斷定是春秋晚期的墓葬。這口劍所用的鋼經分析是含碳量0.5%左右的中碳鋼,金相組織比較均勻,說明可能還進行過熱處理。
古代世界勞動人民的煉鐵技術也是傑出的,至今豎立在印度德立附近的一座清真寺大門後的鐵柱,是使用相當純的鐵鑄成的,當時如何生產這樣的鐵,現代人也認為是一個奇蹟。有人分析了它的成分,含鐵量大於99.72%,其餘是碳0.08%,矽0.046%,硫0.006%,磷0.114%。
第一個解釋不同類型的鐵的人是René Antoine Ferchault de Réaumur,他寫了一本書關於這個主題於1722年。解釋了為什麼鋼,熟鐵和鑄鐵包含一定量的木炭後會更卓越。工業革命在同一世紀開始,大規模的依賴於這種金屬。開創現代煉鋼新紀元的是一名叫貝塞麥(HenryBessemer)的澆鑄工人,他在1856年8月11日宣布了他的可傾倒式轉爐。隨著工業發展,在建設和生活中出現了大量廢鋼和廢鐵,這些廢料在轉爐中不能使用,於是出現了平爐煉鋼,是由德國西門子兄弟以及法國馬丁兄弟同時創建的,時間是在19世紀60年代初。
理化性質
物理性質
高純鐵絲 外觀與形狀:純鐵是帶有銀白色金屬光澤的金屬晶體,通常情況下呈灰色到灰黑高純鐵絲色無定形細粒或粉末。
有良好的延展性、導電、導熱性能。
有很強的鐵磁性,屬於磁性材料。
比熱容為460J/(kg·℃)。
聲音在鐵中的傳播速率:5120m/s。
純鐵質地軟,不過如果是鐵與其他金屬的合金或者是摻有雜質的鐵,通常情況下熔點降低,硬度增大。
晶體結構:面心立方和體心立方。
鐵的相對原子質量約為56,基態原子電子排布式為:1s 2s 2p 3s 3p 3d4s。(粗體部分是價電子)
化學性質
生鏽前的鐵釘 鐵是工業部門不可缺少的一種金屬。鐵與少量的碳製成合金——鋼,磁化之後不易去磁,是優良的硬磁材料,同時也是重要的工業材料,並且也作為人造磁的主要原料。鐵有多種同素異形體。
鐵是比較活潑的金屬,在金屬活動順序表里排在氫的前面,化學性質比較活潑,是一種良好的還原劑。鐵在空氣中不能燃燒,在氧氣中卻可以劇烈燃燒。
鐵[最常見的金屬元素] 鐵是變價元素,0價只有還原性,+6價只有氧化性,+2,+3價既有還原性又有氧化性。在置換反應中一般顯+2價,但有少數顯+3價,如溴化亞鐵和過量氯氣反應:
常溫時,鐵在乾燥的空氣里不易與氧、硫、氯等非金屬單質起反應,若有雜質,在潮濕的空氣中易鏽蝕;在有酸、鹼或鹽的溶液存在的濕空氣中生鏽更快。在高溫時,則劇烈反應,如鐵在氧氣中燃燒,生成FeO,赤熱的鐵和水蒸氣起反應也生成FeO。加熱時均能同鹵素、硫、矽、碳、磷等化合。除生成+2和+3價氧化物外,還有複合氧化物FeO(磁鐵的主要成分)生成。
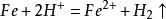
鐵易溶於稀的無機酸中,生成二價鐵鹽,並放出氫氣。在常溫下遇濃硫酸或濃硝酸時,表面生成一層氧化物保護膜,使鐵“鈍化”,故可用鐵製品盛裝冷的濃硫酸或冷的濃硝酸。在加熱時,鐵可以與濃硫酸或濃硝酸反應,生成+3價的鐵鹽,同時生成SO或NO。
化學反應
鐵絲在純氧中的燃燒 1.鐵在氧氣中燃燒
鐵絲在氧氣中的燃燒(如右圖):
鐵[最常見的金屬元素] 在高溫時,鐵在 純氧中燃燒,劇烈反應,火星四射,生成FeO,FeO可以看成是FeO·FeO。反應方程式: (點燃)。
2.鐵與酸反應
鐵與非氧化性稀酸的反應(置換反應)
鐵[最常見的金屬元素] 一般情況下,鐵與稀硫酸反應生成硫酸亞鐵,有氣泡產生。實際情況下則較複雜。但鐵遇冷的濃硫酸或濃硝酸會鈍化,生成緻密的氧化膜(主要成分FeO)故可用鐵器裝運濃硫酸和濃硝酸,方程式為:
鐵[最常見的金屬元素]
鐵[最常見的金屬元素] 鐵與非氧化性酸(鹽酸)、硫酸、硫、硫酸銅溶液等反應時失去兩個電子,成為+2價;與硝酸反應時要看物質的量之比和硝酸的濃度(下列 concentrated代表濃, dilute代表稀, excess代表過量)。
鐵[最常見的金屬元素] (置換反應)
鐵[最常見的金屬元素] (置換反應)
鐵[最常見的金屬元素] (氧化還原反應)
鐵[最常見的金屬元素] (氧化還原反應)
鐵[最常見的金屬元素] (氧化還原反應)
鐵[最常見的金屬元素] (氧化還原反應)
鐵[最常見的金屬元素] (氧化還原反應)
鐵[最常見的金屬元素] (氧化還原反應)
3.鐵與鹽的反應
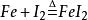
鐵[最常見的金屬元素] 例:鐵與硫酸銅溶液發生置換反應: (濕法煉銅的原理)該實驗說明了鐵的金屬活動性比銅強。
4.Fe的氧化還原反應
鐵[最常見的金屬元素] (常溫下即可反應,用於刻蝕銅板)
鐵[最常見的金屬元素] (Fe 與I 不能共存的原因)
鐵[最常見的金屬元素] (鐵在置換中一般顯+2價的本質)
5 .與鹵素反應
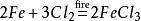
鐵[最常見的金屬元素] 例:鐵與氯氣發生化合反應:
鐵[最常見的金屬元素]
鐵[最常見的金屬元素] 鐵與氯氣在點燃時反應劇烈,產生大量棕紅色煙(FeCl小顆粒)與Cl、Br反應被氧化成Fe ,與l反應被氧化成Fe 。方程式為: (化合反應) (化合反應)
6.與水反 應
鐵[最常見的金屬元素] ( high temperature指高溫)(置換反應)
7.與單質硫反應
鐵[最常見的金屬元素] (化合反應)
鐵也能與硫、磷、矽、碳直接化合。鐵與氮不能直接化合,但與氨作用,形成氮化鐵Fe₂N。
8.其它
二價鐵離子呈淡綠色,在鹼性溶液中易被氧化成三價鐵離子。三價鐵離子的顏色隨水解程度的增大而由黃色經橙色變到棕色。純淨的三價鐵離子為淡紫色。二價和三價鐵均易與無機或有機配位體形成穩定的配位化合物,如 Phen為菲羅林,配位數通常為6。零價鐵還可與一氧化碳形成各種羰基鐵,如Fe(CO)、Fe(CO)、Fe(CO)。羰基鐵有揮發性,蒸氣劇毒。鐵也有+4、+5、+6價態的化合物,但在水溶液中只有+6價的(FeO )。
9.電離能:(單位kJ /mol)
M - M+ 759.3
M+ - M2+ 1561
M2+ - M3+ 2957
M3+ - M4+ 5290
M4+ - M5+ 7240
M5+ - M6+ 9600
M6+ - M7+ 12100
M7+ - M8+ 14575
M8+ - M9+ 22678
M9+ - M10+ 25290
核反應
在所有原子核中,鐵56原子核是最穩定的,其平均結合能是最大的,因此在元素周期表中,比鐵56輕的元素聚變釋放能量,比鐵56重的裂變釋放能量,唯有鐵56,聚變和裂變都要吸收能量而且需要非常苛刻的條件。這也就是大質量恆星為什麼當核心變成鐵時便塌縮成中子星或黑洞。
製備方法
工業製備
單質鐵的製備一般採用冶煉法。以赤鐵礦(FeO)或磁鐵礦(FeO)為原料,與焦炭和助溶劑在熔礦爐內反應,焦炭燃燒產生二氧化碳(CO),二氧化碳與過量的焦炭接觸就生成一氧化碳(CO),一氧化碳和礦石內的氧化鐵作用就生成金屬鐵。加入CaCo在高溫下生成CaO除去鐵礦石中的SiO,生成CaSiO(爐渣) 。
步驟:(high temperature指高溫)
1.造氣
鐵[最常見的金屬元素] (提供熱量)
高爐煉鐵圖
鐵[最常見的金屬元素] (產生CO)
2.煉鐵
鐵[最常見的金屬元素] (赤鐵礦煉鐵)
鐵[最常見的金屬元素] (磁鐵礦煉鐵)
3.造渣
鐵[最常見的金屬元素]
鐵[最常見的金屬元素] 實驗室製備
實驗室通常用一氧化碳還原氧化鐵製備少量單質鐵。
鐵[最常見的金屬元素] 產品用途
1.用於製藥、農藥、粉末冶金、熱氫發生器、凝膠推進劑、燃燒活性劑、催化劑、水清潔吸附劑、燒結活性劑、粉末冶金製品、各種機械零部件製品、硬質合金材料製品等。
2..純鐵用於制發電機和電動機的鐵芯,還原鐵粉用於粉末冶金,鋼鐵用於製造機器和工具。此外,鐵及其化合物還用於制磁鐵、藥物、墨水、顏料、磨料等。
3.用作還原劑。用於鐵鹽製備。還用於製備電子元器件。
4.用作營養增補劑(鐵質強化劑)。
5.在膠黏劑中用作環氧膠黏劑的填料,配製鑄件修補膠。常作為還原劑使用。在電子工業、粉末冶金、機械工業中具有廣泛的用途。FHY80.23主要用於含油軸承。FHY100.25主要用於中、低密度的機械零件。HFY100.27主要用於高密度的機械零件。
毒理資料
急性毒性
小孩經口TDLo:77mg/kg;大鼠經口LD50:30 mg/kg;兔子腹腔LDLo:20mg/kg;豚鼠經口LD50:20mg/kg
其他多劑量毒性
大鼠吸入TCLo:250mg/m3/6H/4W-I
致癌性
大鼠氣管TDLo:450mg/kg/15W-I
其他
吸入粉塵會引起塵肺。
鐵與生活
鐵礦在中國的分布 鐵元素也是構成人體的必不可少的元素之一。成人體內約有4~5克鐵,其中72%以血紅蛋白、35%以肌紅蛋白、0.2以其它化合物形式存在,其餘為儲備鐵。儲備鐵約占25%,主要以鐵蛋白的形式儲存在肝、脾和骨髓中。成人攝取量是10~15mg。妊娠期婦女需要30mg。 1個月內,女性所流失的鐵大約為男性的兩倍,吸收鐵時需要銅、鈷、錳、維生素C。需要人群:婦女特別是孕婦需要補充鐵質,但要注意妊娠期婦女服用過多鐵劑會使胎兒發生鐵中毒。假如您正在服用消炎藥或每天必須服用阿司匹林的話,那么您就需要補充鐵。經常喝紅茶或咖啡的人請注意,飲用大量的紅茶和咖啡會阻礙鐵的吸收。
鐵在代謝過程中可反覆被利用。除了腸道分泌排泄和皮膚、黏膜上皮脫落損失一定數量的鐵(1mg/每日),幾乎沒有其它途徑的丟失。
營養學中的鐵
對鐵的認識
缺鐵性貧血是世界衛生組織確認的四大營養缺乏症之一。
• 18世紀,Menghini用磁鐵吸附在乾燥血中的顆粒,注意到了血液中含有鐵。
• 1892年,Bunge注意到嬰幼兒容易缺乏鐵。
• 1928年,Mackay最早證明鐵缺乏是倫敦東區嬰幼兒貧血盛行的原因。她還以為提供鐵強化的奶粉可緩解貧血。
• 1932年,Castle及其同事確證無機鐵可用於血紅蛋白合成。
人體分布
鐵是人體含量的必需微量元素,人體內鐵的總量約4~5克,是血紅蛋白的重要部分,人全身都需要它,這種礦物質可以存在於向肌肉供給氧氣的紅細胞中,還是許多酶和免疫系統化合物的成分,人體從食物中攝取所需的大部分鐵,並小心控制著鐵含量。
鐵對人體的功能表現在許多方面,鐵參與氧的運輸和儲存。紅細胞中的血紅蛋白是運輸氧氣的載體;鐵是血紅蛋白的組成成分,與氧結合,運輸到身體的每一個部分,供人們呼吸氧化,以提供能量(能量食品),消化(消化食品)食物,獲得營養;人體內的肌紅蛋白存在於肌肉之中,含有亞鐵血紅素,也結合著氧,是肌肉中的“氧庫”。當運動(運動食品)時肌紅蛋白中的氧釋放出來,隨時供應肌肉活動所需的氧。心、肝、腎這些具有高度生理活動能力和生化功能的細胞線粒體內,儲存的鐵特別多,線粒體是細胞的“能量工廠”,鐵直接參與能量的釋放。
鐵還可以促進發育,增加對疾病的抵抗力,調節組織呼吸,防止疲勞,構成血紅素,預防和治療因缺鐵而引起的貧血,使皮膚恢復良好的血色。
吸收代謝
成人體內鐵的總量約為4~5g,其中72%以血紅蛋白、3%以肌紅蛋白、0.2%以其他化合物形式存在;其餘則為儲備鐵,以鐵蛋白的形式儲存於肝臟、脾臟和骨髓的網狀內皮系統中,約占總鐵量的25%。
食物中的鐵主要以Fe(OH)₃絡合物的形式存在,在胃酸作用下,還原成亞鐵離子,再與腸內容物中的維生素C、某些糖及胺基酸形成絡合物,在十二指腸及空腸吸收。
鐵在體內代謝中可反覆被身體利用。一般情況下,除腸道分泌和皮膚、消化道及尿道上皮脫落可損失一定數量外,幾乎不存在其它途徑損失。
膳食中存在的磷酸鹽、碳酸鹽、植酸、草酸、鞣酸等可與非血紅素鐵形成不溶性的鐵鹽而阻止鐵的吸收。胃酸分泌減少也影響鐵的吸收。
鐵的平衡 鐵的平衡是指一種穩定的狀態,即從膳食中吸收的鐵既可能補充機體實際丟失的鐵又可滿足機體生長(和懷孕)的需要。鐵的平衡依賴於鐵吸收、鐵轉運和鐵儲存的共同協調。
機體有三種獨特機制以保持鐵的平衡及預防體內的缺乏和過分蓄積。
⑴反覆利用紅細胞分解代謝中的鐵。鐵在體內生物半衰期在成年男子為5.9年,成年女子(絕經期前)為3.8年。
⑵根據體內鐵營養狀態調節腸道內鐵的吸收。
⑶增加獨特的儲存蛋白——鐵蛋白可儲存或釋放以滿足額外鐵的需要,如在孕期後1/3。
機體內穩態機制在多方面協調鐵的需要、利用和儲存以保持這種平衡。體內基本鐵丟失有一半是胃腸道中脫落細胞和血的丟失,血紅蛋白的水平可在某種程度上影響這種基本丟失。同樣血紅蛋白水平也可影響經月經丟失的鐵量。血紅蛋白下降並發展為缺鐵性貧血時可有效減少體內基本丟失及月經鐵丟失。當體內嚴重貧血或鐵過多時也減少或增加皮膚鐵的丟失。腸道中鐵的吸收主要取決於體內鐵營養狀態和膳食的特性(鐵的含量、形式及生物利用)。從調節機制上在體內大多數細胞中,調節是在轉錄後的水平上,經鐵調節蛋白(1RP8)和轉鐵蛋白受體及鐵蛋白H和I鏈的mRNA-3’或5’端utr中的鐵回響元件IREs來調節鐵的轉運和儲存。紅細胞鐵需要量高,其調節也是在轉錄水平上,在調節上可優先於其他細胞的轉錄後調節。
攝取量
世界衛生組織建議供鐵(鐵食品)量為成年男子5~9毫克;成年女子14~28毫克。中國營養學會推薦嬰兒至9歲兒童每天需鐵10毫克,10至12歲兒童(兒童食品)需鐵12毫克、13至18歲的少年男性(男性食品)需鐵15毫克,少年(少年食品)女性20毫克,18歲以上每天12毫克,但成年女性(女性食品)為18毫克。乳母、孕婦(孕婦食品)為28毫克。
建議日攝取量:
成人攝取量是 10 ~ 15mg ;妊娠期婦女需要 30mg 。
1 個月內,女性所流失的鐵大約為男性(男性食品)的兩倍;吸收鐵時需要銅、鈷、錳、維生素C。
補充周期:建議每日補充。
| 年齡 | 普通人每日攝入量 | 孕婦每日攝入量 |
| 0~0.5歲 | 0.3mg | 早期15mg 中期 25mg 後期 35mg 乳期 25mg |
| 0.5歲~1歲 | 10mg | |
| 1歲~4歲 | 12mg | |
| 4歲~7歲 | 12mg | |
| 7歲~11歲 | 12mg | |
| 11歲~14歲 | 男 16mg ;女 18mg | |
| 14歲~18歲 | 男 20mg ;女 25mg | |
| 18歲~50歲 | 男 15mg ;女 20mg | |
| 50歲 | 15mg |
生理功能
1、鐵是血紅蛋白的重要部分,而血紅蛋白功能是向細胞輸送氧氣,並將二氧化碳帶出細胞。血紅蛋白中4個血紅素和4個球蛋白連結的結構提供一種有效機制,即能與氧結合而不被氧化,在從肺輸送氧到組織的過程中起著關鍵作用。
2、肌紅蛋白是由一個血紅素和一個球蛋白鏈組成,僅存在於肌肉組織內,基本功能是在肌肉中轉運和儲存氧
3、細胞色素是一系列血紅素的化合物,通過其線上粒體中的電子傳導作用,對呼吸和能量代謝有非常重要的影響,如細胞a、b和c是通過氧化磷酸化作用產生能量所必需的。
4、其它含鐵酶中鐵可以是非血素鐵,台參與能量代謝的NAP脫氫酶和琥珀脫氫酶,也有含血紅素鐵的對氧代謝副產物分子起反應的氫過氧化物酶,還有多氧酶(參與三羥酸循環),磷酸烯醇丙酮酸羥激酶(糖產生通路限速酶),核苷酸還原酶(DNA合成所需的酶)。
5、鐵元素催化促進β-胡蘿蔔素轉化為維生素A、嘌呤與膠原的合成,抗體的產生,脂類從血液中轉運以及藥物在肝臟的解毒等。鐵與免疫的關係也比較密切,有研究表明,鐵可以提高機體的免疫力,增加中性白細胞和吞噬細胞的吞噬功能,同時也可使機體的抗感染能力增強。阿膠是中國傳統的補血配方,乳酸亞鐵是很好的二價補鐵製劑,市場上很多補血產品將它們單獨作為配方來用 。
鐵元素是血紅素載氧的關鍵
人體會因為營養不均、外傷、女性的生理周期,而導致缺鐵的現象。根據統計數據顯示,華人女性缺鐵的比例超過60%,素食女性更高達70%以上。
女性由於每個月的生理周期,導致大量血鐵質的流失,因此女性對於鐵質的需求度,遠比男性高,由於華人使用紅肉的機會遠比西方人少,因此由天然食物獲得的鐵質也相對比西方人低。
鐵質大多存在人體的肝臟、脾臟、骨髓及紅血球中,因為他的主要功能是帶氧,因此嬰幼兒及孕婦對於鐵質的需求量也會特別高,兒童及幼兒的鐵攝取量不足,還可能影響腦補發育,因此孕婦、兒童及授乳期母親,應特別留意鐵質的攝取量。
缺乏後果
1、貧血:嚴重時可增加兒童和母親死亡率,使機體工作能力明顯下降。
2、行為和智力方面:鐵缺乏可引起心理活動和智力發育的損害及行為改變。鐵缺乏(尚未出現貧血時的缺乏)還可損害兒童的認知能力,而且在以後補充鐵後也難以恢復。動物試驗表明,短時期缺乏可使幼小動物腦中鐵含量下降。以後補充鐵可糾正身體內鐵儲存,但對腦中鐵沒有作用。長期鐵缺乏會明顯影響身體耐力。Finch等進行動物實驗表明,鐵缺乏對動物跑的能力的損害與血紅蛋白的水平無關,而是因為鐵缺乏肌肉中氧化代謝受損所至。
免疫力和抗感染能力方面,人及動物實驗皆記實缺鐵的一項特點是抗感染能力降低。
1、體溫調節方面,缺鐵性貧血的另一特點是在寒冷環境中保持體溫的能力受損。
2、鉛中毒方面,動物和人體實驗證明缺鐵會增加鉛的吸收。
3、有的妊娠後果,汗多滸病學研究表明妊娠早期貧血為早產、低出生體重兒及胎兒死亡有關。
4、鐵缺乏症症狀包括皮膚蒼白,舌部發痛,疲勞或無力,食欲不振以及噁心。
鐵缺乏對免疫系統的影響:
1.抵抗病原微生物入侵的能力減弱。
2.降低免疫細胞從靜止---臨戰的反應速度。
3.使抗氧化生化酶活性降低。
4.抗體的生產停止或以很慢的速度進行。
5.缺鐵性貧血,細胞供氧不足。其結果是整天無精打采,疲勞而倦怠,比較容易被感染。
血液里流動的太多的自由鐵不僅無助於抵抗能力,不能保護人的肌體,反而會被細菌吞噬,成為細菌的美食,並且細菌會因此而大量地繁殖。這就是為什麼必須加倍小心給孩子補充鐵質的原因。
主婦綜合徵:國外有人做過調查,發現在25~50歲育齡婦女中,有40%~60%可有全身乏力,無精打采,早上不想起床而晚上又輾轉難眠,情緒易波動、鬱悶不樂,常突然不能自禁的流淚哭泣、記憶力減退、注意力不集中等症狀。究其原因系缺鐵,但常常化驗無明顯貧血,僅血清鐵偏低。因多發生於家庭主婦,所以稱之為“主婦綜合徵”。補充鐵劑後,上述症狀可顯著改善。
婦女冷感症:缺鐵的婦女體溫較正常婦女高13%,鞏膜發藍,因為鐵是合成膠原的一個重要輔助因子,所以當體內缺鐵後,阻斷了膠原的合成,而使膠原纖維構成的鞏膜變成十分薄弱,其下部的色素膜就會顯出藍色,因此,我們看到的白眼球偏藍色,也是缺鐵的表現。
異食癖:缺鐵還可以引起異食癖,即對正常飲食不感興趣,卻對粉筆、漿糊、泥土、石灰、布、紙、蠟燭等異物有癖好,吃得津津有味。現研究發現,異食癖者缺鐵、缺鋅明顯,補充鐵、鋅後可迅速好轉。缺鐵引起的異食癖形式多樣,最為多見的是嗜食冰,大冷天也喜食冰塊。
其他:有研究發現嬰兒缺鐵時常常不愛笑精神萎靡不振、平時不合群、不愛活動、愛哭鬧而且智商也顯著低於正常兒。
缺鐵性貧血不只是表現為貧血(血紅蛋白低於正常),而且是屬於全身性的營養缺乏病。由於體內缺鐵程度及病情發展早晚不同,故貧血的臨床表現也有所不同。初期,患者無明顯的自覺症狀,只是化驗血液時表現為血紅蛋白低於正常值。隨著病情的進一步發展,出現不同程度的缺氧症狀。輕度貧血患者自覺經常頭暈耳鳴、注意力不集中、記憶力減退。最易被人發現的是由於皮膚黏膜缺鐵性貧血而引起的面色、眼瞼和指(趾)甲蒼白,還有兒童身高和體重增長緩慢。病情進一步發展還可出現心跳加快、經常自覺心慌。肌肉缺氧常表現出全身乏力,容易疲倦。消化(消化食品)道缺氧可出現食欲不振、腹脹腹瀉,甚至噁心嘔吐。嚴重貧血時可出現心臟擴大、心電圖異常,甚至心力衰竭等貧血性心臟病的表現,有的還出現精神失常或意識不清等。此外,約有15%~30%的病例表現有神經痛、感覺異常;兒童可出現偏食、異食癖(喜食土塊、煤渣等)、反應遲鈍、智力下降、學習成績、易怒不安、易發生感染等。缺鐵性貧血的嬰兒可有腸道出血症。近年醫學研究發現,老年(老年食品)性耳聾與缺鐵有關。
青春期女性(女性食品)慢性萎黃病主要是由於體內鐵缺乏而引起的,其特點是小細胞低色素貧血,也屬於缺鐵性貧血。少女或青春期女性發生本病的主要原因是身體需要的鐵量增加、月經來潮丟失的鐵過多或胃酸缺乏導致鐵攝入不足。
患者由於鐵缺乏,使體內含鐵酶活性降低,因而造成許多組織細胞代謝紊亂。臨床症狀和貧血程度與發病緩急有關,輕者除面色萎黃之外可無任何自覺不適。嚴重貧血者,還可有舌炎、舌黏膜萎縮、舌頭平滑、充血並有灼熱感。有時還發生食道異物感、緊縮感或吞咽困難等自覺症狀。
缺鐵還可引起吞咽困難綜合徵,臨床上表現為低色素貧血、吞咽困難、口角炎、舌頭有異常感覺、指甲呈匙形等。本病女性占90%左右,小兒少見。吞咽困難者,經食管鏡或X射線檢查可無異常發現,偶有食管黏膜贅片形成。
鐵過量表現
通過各種途徑進入體內的鐵量的增加,可使鐵在人體內貯存過多,因而可引致鐵在體內潛在的有害作用,體內鐵的貯存過多與多種疾病如心臟和肝臟疾病、糖尿病、某些腫瘤有關。
肝臟是鐵儲存的主要部位,鐵過量也常累及肝臟,成為鐵過多誘導的損傷的主要靶器官。肝鐵過載導致:1、肝纖維化甚至肝硬化;2、肝細胞瘤。
鐵過量與心臟疾病關係的探討,已見諸多報導。許多作者認為,鐵通過催化自由基的生成、促進脂蛋白的脂質和蛋白質部分的過氧化反應、形成氧化LDL等作用,參與動脈粥樣硬化的形成。
鐵過多誘導的脂質過氧化反應的增強,導致機體氧化和抗氧化系統失衡,直接損傷DNA,誘發突變,與肝、結腸、直腸、肺、食管、膀胱等多種器官的腫瘤有關。
鐵過量危害
鐵(鐵食品)雖然是人體必需的微量元素(微量元素食品),鐵本身也不具有毒性,但當攝入過量或誤服過量的鐵製劑時也可能導致鐵中毒。
急性鐵中毒多發生在兒童。當兒童過量口服外層包有彩色艷麗糖衣片的固體鐵劑或液體鐵劑製成的糖漿後,1小時左右就可出現急性中毒症狀,上腹部不適、腹痛、噁心嘔吐、腹瀉黑便,甚至面部發紫、昏睡或煩躁,急性腸壞死或穿孔,最嚴重者可出現休克而導致死亡。由此可見,有必要提醒家長注意,需要給兒童(兒童食品)補鐵、服用鐵製劑時,一定要按醫囑嚴格掌握劑量,切不可濫服,以防中毒。
慢性鐵中毒多發生在45歲以上的中老年(老年食品)人中,男性(男性食品)居多。由於長期服用鐵製劑或從食物中攝鐵過多,使體內鐵量超過正常的10~20倍,就可能出現慢性中毒症狀:肝、脾有大量鐵沉著,可表現為肝硬化、骨質疏鬆、軟骨鈣(鈣食品)化、皮膚呈棕黑色或灰暗、胰島素分泌減少而導致糖尿病(糖尿病食品)。對青少年(少年食品)還可使生殖器官的發育受到影響。據報導,鐵中毒還可誘發癲癇病(羊角瘋)。
對鐵中毒的治療,醫生要對症處置,患者要按醫囑治療。預防鐵中毒,一是在服用硫酸亞鐵等鐵劑治療貧血時,務必防止過量,並嚴防兒童誤服,最好是服用現代科技的新產品卟啉鐵類補劑,不但吸收率高,而且不易產生副作用;二是不要長時間將酸性食物存放在鐵容器內,也不能用鐵鍋煮山楂等酸性食物,以免在酸性條件下鐵大量溶入食物。
補鐵
嬰幼兒要及時添加輔食;4~5個月添加蛋黃、魚泥、禽血等;7個月起添加肝泥、肉末、血類、紅棗泥等食物;另外,早產兒從2個月起、足月兒從4個月起可在醫生指導下補充鐵劑,以加強預防。
日常生活避免鐵流失;
忌過量飲茶及咖啡:因為茶葉中的鞣酸和咖啡中的多酚類物質可以與鐵形成難以溶解的鹽類,抑制鐵質吸收。因此,女性飲用咖啡和茶應該適可而止,一天1~2杯足矣。
用鐵鍋炒菜易於鐵的吸收。少用鋁鍋,因為鋁能阻止鐵的吸收;
及時服用補鐵製劑,秉著安全高效的原則;
市場上常見的口服補鐵製劑多為富馬酸亞鐵、硫酸亞鐵、乳酸亞鐵等。而前兩者對腸胃的刺激要遠遠大於乳酸亞鐵。有腸胃疾病的患者不建議服用富馬酸亞鐵和硫酸亞鐵。
選擇好了補鐵製劑,在服用過程中還需要注意以下問題:
要飯後服用補鐵製劑。
忌牛奶與鐵劑同時服用。
多吃蔬菜和水果:蔬菜水果中富含維生素C、檸檬酸及蘋果酸,這類有機酸可與鐵形成絡合物,從而增加鐵在腸道內的溶解度,有利於鐵的吸收。
多食用含鐵豐富的食物;
如:蛋黃、海帶、紫菜、木耳、豬肝、桂圓、豬血等。
最新研究發現,即便在那些血色素正常的女性當中,鐵也有抗疲勞的效果。膳食中補充鐵之後,她們的體能、情緒和注意力集中程度都有所改善。
鐵強化醬油
我國是鐵缺乏和缺鐵性貧血較為嚴重的國家之一,第四次《中國居民營養與健康現狀調查報告》顯示,我國居民貧血率平均為20.1%,2歲以內幼兒、60歲以上老人及育齡婦女的貧血率分別為31.1%、29.1%和19.9%。
不少人對鐵強化醬油的安全性提出質疑,陳君石解釋說,鐵強化醬油可以放心長期食用。中國營養學會在《中國居民膳食指南》中推薦的鐵食用量是每天不少於15~20毫克,按照目前我國鐵強化醬油的強化量和平均醬油使用量計算,如果每人每天食用10~15毫升鐵強化醬油,可以補進3~4毫克鐵,僅是人體每日鐵需要量的30%~40%。“並且,人體本身對過多的鐵具有一定的排泄作用。”陳君石肯定地說,“鐵強化醬油人人都可以吃,成年男子也不要害怕,一輩子吃下去也不會有問題。”
鐵強化醬油是什麼?鐵缺乏被認為是全球三大“隱性飢餓”(微量營養元素缺乏)之首,全球約有1/5人患缺鐵性貧血。據中國疾病預防控制中心的調查顯示,中國兒童貧血率在25%左右,婦女貧血率在20%左右,孕婦貧血率高達35%,成年男子貧血率則在10%左右。令人擔憂的是,缺鐵性貧血已經是鐵缺乏嚴重時的臨床表現,人群中鐵缺乏的人數還要遠遠高於這一比例。
鐵缺乏及其貧血除了在嚴重的情況下一般沒有明顯的症狀,不僅在臨床上,甚至有些患者本人也都沒有對它的後果給予足夠的重視。鐵缺乏及貧血嚴重影響兒童的體格、智力發育及其成年後從事體力和腦力勞動的能力,對育齡婦女則不僅危害其自身健康,更可能波及下一代健康。 既然缺鐵會帶來如此嚴重的危害,那應該怎樣補充人體對鐵的需求呢?如何在中國推廣補鐵措施,實現全面性的補鐵呢?
官方否認食用鐵強化醬油致癌 新快報訊 據《京華時報》報導,針對一些媒體報導和轉載的關於“鐵強化醬油可以干擾其他微量元素吸收利用,同時造成兒童低身高,甚至導致癌症”的說法,前天,中國疾病預防控制中心食物強化辦公室發布說明稱,充分的科學證據證明在醬油中添加的少量NaFeEDTA(乙二胺四乙酸鐵鈉)不致癌,且不會降低人體內其他微量元素的吸收,而且還會促進鋅等微量元素的吸收。
鐵在食物中的來源
鐵(鐵食品)的豐富來源有牛腎、魚子醬、雞內臟、可可粉、魚粉、肝臟、土豆、精白米、黃豆粉、麥糠、麥胚和小麥黃豆混合粉。
良好來源有牛肉、紅糖、蛤肉、乾果、蛋黃、豬和羊腎臟。
良好來源:瘦肉、紅糖、蛋黃、豬腎、羊腎、乾果(杏乾、葡萄乾),啤酒酵母菌、海草、赤糖糊及麥。
一般來源:魚、穀物、菠菜、扁豆、豌豆、芥菜葉、蠶豆、瓜子(南瓜、西葫蘆等種子)
微量來源:奶製品、蔬菜各水果
此外用鑄鐵鍋煮番茄或其它酸性食物,也可增添鐵質,鍋會把有益於健康的鐵深入食物內。
看似很多食物中含有鐵,但中國仍有很多人嚴重缺乏鐵,主要集中在婦女、兒童和老人,每日科學補鐵,必不可少。
促進吸收的元素
維生素C
維生素C是一種還原劑,它除了具有抗氧化功能外,還能將三價鐵還原為二價鐵,二價鐵更容易被人體所吸收利用。同時,維生素C還會與鐵絡合成不穩定的抗壞血酸亞鐵,並能使鐵從其他結合物中釋放出來,從而促進非鐵血紅蛋白鐵的吸收和增加機體對疾病的抵抗力。
我們將常見食物的維生素C含量列入了表中,你可以根據其中提供的數據來安排自己的膳食。
維生素A
維生素A除可增加人體的抵抗力之外,還具有改善機體對鐵的吸收和轉運等功能。
B族維生素
維生素B2 可促進鐵從腸道的吸收,維生素B6 則可提高骨髓對鐵的利用率。除此之外,B族維生素還可促進我們的食慾。但應注意的是,葉酸和維生素B12對於缺鐵性貧血治療的幫助不大。
銅
銅可促進鐵的吸收,缺銅時,小腸吸收的鐵減少,血紅蛋白的合成也減少,這將直接導致人體發生缺鐵性貧血。
動物性食物
魚、肉、禽類食物中的“肉類因子”均有利於鐵的吸收,也就是說肉類食物的補鐵效果比植物類食物好。
1.維生素C
維生素C是一種還原劑,它除了具有抗氧化功能外,還能將三價鐵還原為二價鐵,二價鐵更容易被人體所吸收利用。同時,維生素C還會與鐵絡合成不穩定的抗壞血酸亞鐵,並能使鐵從其他結合物中釋放出來,從而促進非鐵血紅蛋白鐵的吸收和增加機體對疾病的抵抗力。
我們將常見食物的維生素C含量列入了表中,你可以根據其中提供的數據來安排自己的膳食。
2.維生素A
維生素A除可增加人體的抵抗力之外,還具有改善機體對鐵的吸收和轉運等功能。
3.B族維生素
維生素B2 可促進鐵從腸道的吸收,維生素B6 則可提高骨髓對鐵的利用率。除此之外,B族維生素還可促進我們的食慾。但應注意的是,葉酸和維生素B12對於缺鐵性貧血治療的幫助不大。
4.銅
銅可促進鐵的吸收,缺銅時,小腸吸收的鐵減少,血紅蛋白的合成也減少,這將直接導致人體發生缺鐵性貧血。
5.動物性食物
魚、肉、禽類食物中的“肉類因子”均有利於鐵的吸收,也就是說肉類食物的補鐵效果比植物類食物好。
食物中的鐵
食物中的鐵有兩種形式:
含鐵的食物 非血紅素鐵:主要以三價鐵與蛋白質和有機酸結合成絡合物。這種形式的鐵必須與有機部分分開,並還原成二價鐵後才能被吸收。如果膳食中有較多的植酸或磷酸,將與鐵形成不溶性鐵鹽,而影響被吸收。抗壞血酸、半胱氨酸能將三價鐵還原成二價鐵,有利於鐵的吸收。
鐵(Fe)是體內血紅蛋白,肌紅蛋白和許多酶的成分。血紅素鐵,主要存在於動物性產品中,比非血紅素鐵吸收好得多,非血紅素鐵在平均飲食中占鐵的85%以上。但是,當它與動物性蛋白質和維生素一起攝入時可提高非血紅素鐵的吸收。
鐵需要量,鐵代謝和缺鐵性貧血在第127節紅細胞生成缺乏引起的貧血中討論。鐵過負性疾病在第127節討論。
缺乏:缺鐵能引起貧血是世界上最為常見的營養缺乏症。某些嬰兒,青春期少女和妊娠婦女因鐵攝入量不足引起缺鐵性貧血。任何人失血可產生缺鐵。所有缺鐵的人需要鐵補充。
中毒:過量的鐵是有毒的,可引起嘔吐,腹瀉和腸損害。當一個人給以鐵治療過量或時間太長,或反覆接受輸血,或有慢性酒精中毒,鐵即可在體內蓄積。鐵過負疾病(血色素沉著症)是一種可能致命但能治療的遺傳性疾病,該病吸收鐵太多;它波及100萬美國人。
謠言:菠菜里的鐵含量很高
以前,人們都認為菠菜里的鐵含量很高,其實不是這樣。
有一個科學家,他在研究時發現,菠菜的含鐵量竟然比所記錄的數值小了很多。於是,他做了許多次試驗,依然是這個結果,他就發表了一篇文章。這篇文章轟動了整個社會,其他科學家們紛紛進行試驗,發現也是這個結果。
原來,以前牧師在抄寫結果時,點錯了一個小數點。
人體中的鐵
鐵是人體的造血元素,而女性又多一個排鐵渠道――月經,故補鐵
鐵礦 量應大於男性。鐵每日攝入量為15毫克,可保持面色紅潤。含鐵最豐富、也最好吸收的是豬肝、豬血、鴨血,豆製品、芝麻、蘑菇、木耳、海帶、紫菜、桂圓等也含有較多的鐵。另外,食用加鐵的強化醬油也有很好的補鐵效果。
植物中的鐵
鐵是光合作用、生物固氮和呼吸作用中的細胞色素和非血紅素鐵蛋白的組成。鐵在這些代謝方面的氧化還原過程中都起著電子傳遞作用。由於葉綠體的某些葉綠素-蛋白複合體合成需要鐵,所以缺鐵時會出現葉片葉脈間缺綠。與缺鎂症狀相反,缺鐵發生於嫩葉,因鐵不易從老葉轉移出來,缺鐵過甚或過久時,葉脈也缺綠,全葉白化,華北果樹的“黃葉病”就是植株缺鐵所致。
常見謠言
鐵[最常見的金屬元素] 謠言:鐵不能與強鹼溶液反應
鐵[最常見的金屬元素] 駁斥:鐵能與高濃度(約19mol/L)的氫氧化鈉溶液在加熱條件下反應,Fe+2NaOH(濃)+2HO Na[Fe(OH)]+H↑
安全措施
環境危害
(1)侵占土地城市生活垃圾如不能得到及時處理和處置,將會占用農田,破壞農業生產,以及地貌、植被、自然景觀等.。
(2)廢鐵的堆積,產生鏽味,嚴重影響了空氣品質。
健康危害
鐵本身不具有毒性,但當攝入過量或誤服過量的鐵製劑時也可能導致鐵中毒。
短期暴露:吸入鐵粉或氧化鐵煙粉塵刺激呼吸道,引起咽喉發炎、咳嗽、呼吸短促、乏力、疲勞、寒戰、出汗、肌肉和關節疼痛;皮膚接觸熱金屬會灼傷,眼睛接觸粉塵可導致發炎和灼傷;食入可導致昏睡、呆滯、心跳和呼吸加速、休克、吐血、腹瀉;
長期暴露:吸入過量會導致肺、脾、淋巴系統產生鐵積沉;吸入粉塵導致肺部產生色斑 。
儲存運輸
儲存方法
放入緊封的儲藏器內,儲存於陰涼、乾燥的庫房。
運輸方法
目前一般是鐵水運輸方式。
魚雷罐標準鐵路運輸方式
魚雷罐具有容量大、保溫性能好、重心低、安全性高等特點,可作為鐵鋼界面間的緩衝環節,對煉鐵和煉鋼起著銜接、匹配、協調、緩衝的作用,目前在大型鋼鐵企業中得到廣泛套用。
鐵水罐運輸方式
該方式採用鐵水罐作為鐵水從高爐到煉鋼的運輸和儲存容器,從高爐出鐵場受鐵開始至煉鋼鐵水兌入轉爐終止,全過程採用一個鐵水罐,減少了魚雷罐運輸流程中的鐵水倒罐環節。
1.魚雷罐標準鐵路運輸方式
魚雷罐具有容量大、保溫性能好、重心低、安全性高等特點,可作為鐵鋼界面間的緩衝環節,對煉鐵和煉鋼起著銜接、匹配、協調、緩衝的作用,目前在大型鋼鐵企業中得到廣泛套用。
2.鐵水罐運輸方式
該方式採用鐵水罐作為鐵水從高爐到煉鋼的運輸和儲存容器,從高爐出鐵場受鐵開始至煉鋼鐵水兌入轉爐終止,全過程採用一個鐵水罐,減少了魚雷罐運輸流程中的鐵水倒罐環節。
生命元素
自然資源分類導航
| 自然資源,一定時間條件下,能夠產生經濟價值以提高人類當代和未來福利的自然環境因素的總和。 | |||
| 能源 | 再生能源 | 綠色能源 | 新能源 |
| 土地資源 | 海洋資源 | 水資源 | 地下水 |
| 礦產資源 | 礦物 | 旅遊資源 | |
化學元素周期表
| 族→ | 1 | 2 | 3 | 4 | 5 | 6 | 7 | 8 | 9 | 10 | 11 | 12 | 13 | 14 | 15 | 16 | 17 | 18 | 電子層 | 0族電子數 | |
| 周期↓ | I A | 0 | |||||||||||||||||||
| 1 | 1 H 氫 | 2 He 氦 | K | 2 | |||||||||||||||||
| II A | III A | IV A | V A | VI A | VII A | ||||||||||||||||
| 2 | 3 Li 鋰 | 4 Be 鈹 | 5 B 硼 | 6 C 碳 | 7 N 氮 | 8 O 氧 | 9 F 氟 | 10 Ne 氖 | L K | 8 2 | |||||||||||
| 3 | 11 Na 鈉 | 12 Mg 鎂 | 13 Al 鋁 | 14 Si 矽 | 15 P 磷 | 16 S 硫 | 17 Cl 氯 | 18 Ar 氬 | M L K | 8 8 2 | |||||||||||
| III B | IV B | V B | VI B | VII B | VIII | I B | II B | ||||||||||||||
| 4 | 19 K 鉀 | 20 Ca 鈣 | 21 Sc 鈧 | 22 Ti 鈦 | 23 V 釩 | 24 Cr 鉻 | 25 Mn 錳 | 26 Fe 鐵 | 27 Co 鈷 | 28 Ni 鎳 | 29 Cu 銅 | 30 Zn 鋅 | 31 Ga 鎵 | 32 Ge 鍺 | 33 As 砷 | 34 Se 硒 | 35 Br 溴 | 36 Kr 氪 | N M L K | 8 18 8 2 | |
| 5 | 37 Rb 銣 | 38 Sr 鍶 | 39 Y 釔 | 40 Zr 鋯 | 41 Nb 鈮 | 42 Mo 鉬 | 43 Tc 鎝 | 44 Ru 釕 | 45 Rh 銠 | 46 Pd 鈀 | 47 Ag 銀 | 48 Cd 鎘 | 49 In 銦 | 50 Sn 錫 | 51 Sb 銻 | 52 Te 碲 | 53 I 碘 | 54 Xe 氙 | O N M L K | 8 18 18 8 2 | |
| 6 | 55 Cs 銫 | 56 Ba 鋇 | 57- 71 鑭系 | 72 Hf 鉿 | 73 Ta 鉭 | 74 W 鎢 | 75 Re 錸 | 76 Os 鋨 | 77 Ir 銥 | 78 Pt 鉑 | 79 Au 金 | 80 Hg 汞 | 81 Tl 鉈 | 82 Pb 鉛 | 83 Bi 鉍 | 84 Po 釙 | 85 At 砹 | 86 Rn 氡 | P O N M L K | 8 18 32 18 8 2 | |
| 7 | 87 Fr 鍅 | 88 Ra 鐳 | 89- 103 錒 | 104 Rf 鑪 | 105 Db | 106 Sg | 107 Bh | 108 Hs | 109 Mt | 110 Ds 鐽 | 111 Rg 錀 | 112 Uub | 113 Uut | 114 Uuq | 115 Uup | 116 Uuh | 117 Uus | 118 Uuo | |||
| 鑭系元 素 | 57 La 鑭 | 58 Ce 鈰 | 59 Pr 鐠 | 60 Nd 釹 | 61 Pm 鉕 | 62 Sm 釤 | 63 Eu 銪 | 64 Gd 釓 | 65 Tb 鋱 | 66 Dy 鏑 | 67 Ho 鈥 | 68 Er 鉺 | 69 Tm 銩 | 70 Yb 鐿 | 71 Lu 鑥 | ||||||
| 錒系元 素 | 89 Ac 錒 | 90 Th 釷 | 91 Pa 鏷 | 92 U 鈾 | 93 Np 鎿 | 94 Pu 鈽 | 95 Am 鎇 | 96 Cm 鋦 | 97 Bk 錇 | 98 Cf 鐦 | 99 Es 鑀 | 100 Fm 鐨 | 101 Md 鍆 | 102 No 鍩 | 103 Lr 鐒 | ||||||
化學元素(一)
白領女性必補的8大營養元素
| 白領女性一直是人們矚目的焦點。她們年輕靚麗,事業有成,讓許多人羨慕不已。可是,巨大的工作壓力卻使她們不得不告別規律的生活——三餐不按時,在外就餐營養差都成為健康隱患。補充自己最需的8大營養,讓你更加靚麗,充滿活力。 |
![鐵[最常見的金屬元素] 鐵[最常見的金屬元素]](/img/d/17b/nBnauM3XwgzN0kjNxIjMwADO1UTM1QDN5MjM5ADMwAjMwUzLyIzL0IzLt92YucmbvRWdo5Cd0FmL0E2LvoDc0RHa.jpg)
