基本信息
中文名稱苯胺CASNO.62-53-3
中文別名阿尼林;阿尼林油;氨基苯
英文名稱Aniline
英文別名Aniline,99,5%,99,6%min;Aminobenzene;Phenylamine;Benzamine
EINECS200-539-3
分子式C6H7N
分子量93.13
InChI=1/C6H7N/c7-6-4-2-1-3-5-6/h1-5H,7H2[1]
性質
物理性質
苯胺分子結構化學性質
苯胺呈鹼性,與酸易生成鹽。其氨基上的氫原子可被烴基或醯基取代,生成二級或三級苯胺及醯基苯胺。當苯胺進行取代反應時,主要生成鄰、對位取代產物。苯胺與亞硝酸反應生成重氮鹽,由此鹽可製成一系列苯的衍生物和偶氮化合物。共軛結構
苯胺中的N近乎sp2雜化(實際上還是sp3雜化),孤對電子占據的軌道可與苯環共軛,電子云可分散於苯環上,使氮周圍的電子云密度減小。計算化學數據
分子量:93.12648[g/mol]分子式:C6H7N
疏水參數計算參考值(XlogP):0.9
氫鍵供體數量:1
氫鍵受體數量:1
可鏇轉化學鍵數量:0
準確質量:93.057849
同位素質量:93.057849
拓撲分子極性表面積(TPSA):26
重原子數量:7
形式電荷:0
複雜度:46.1
同位素原子數量:0
確定原子立構中心數量:0
不確定原子立構中心數量:0
確定化學鍵立構中心數量:0
不確定化學鍵立構中心數量:0
共價鍵單元數量:1
功能3d供體數量:1
功能3d陽離子數量:1
功能3d環數量:1
有效轉子數量:0
構象異構體抽樣RMSD:0.4
CID構象異構體數量:1
製備
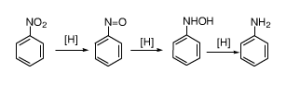
目前苯胺生產工藝路線主要有硝基苯鐵粉還原法、苯酚氨化法和硝基苯催化加氫法,分別占苯胺總生產能力的5%、10%和85%,開發的新工藝路線中以苯直接胺化法較有前途,但與實現工業化還有一定距離。
1.硝基苯鐵粉還原法
鐵還原法該法是最早的苯胺工業生產方法,其污染環境,設備腐蝕嚴重,操作維護費用高,難以連續化生產,現已基本淘汰,目前只有拜爾在西維吉尼亞洲的新馬丁斯維勒的裝置採用此工藝。
2.苯酚胺化法
苯酚胺化的理論產率為99%,優點是原料易得、生產方法簡單、催化劑廉價、產品質量好、“三廢”少,適於大規模連續生產,並可根據需要聯產二苯胺,但比硝基苯催化加氫工藝成本高,目前只有美國阿里斯特克化學公司和日本三井石油化學公司採用此工藝。3.硝基苯催化加氫法
氫還原法該法以硝基苯為原料,氫氣為還原劑,銅/矽、鎳或鉑/鈀為催化劑,以氫為還原劑,將硝基苯還原生成苯胺,理論產率為99%,我國全部採用該法生產。該法的硝化環節很關鍵,設備投資占總固定投資的50%以上。硝基苯催化加氫生產主要採用混酸硝化法,可採用等溫或絕熱硝化工藝,等溫硝化能耗大,反應時間長,副產物多,收率低,產品質量差;絕熱硝化工藝突破了反應必須在低溫下恆溫操作的傳統觀念,物料停留時間短,副反應少,是當前最有前途的一種硝化技術。國外採用絕熱硝化工藝的公司較多,而國內的主流技術為等溫硝化工藝。胺化過程包括固定床氣相加氫、流化床氣相加氫以及硝基苯液相催化加氫工藝。除德國巴斯夫公司採用流化床外,其他公司多採用固定床反應器。我國除山東煙臺萬華聚氨酯集團有限公司採用固定床反應器外,其他公司均採用流化床反應器。
用途
苯胺是重要的化工原料,主要用於醫藥和橡膠硫化促進劑,也是製造樹脂和塗料的原料。苯胺對血液和神經的毒性非常強烈,可經皮膚吸收或經呼吸道引起中毒。
可與硫氰酸鉀、烏洛托品配置硝酸酸洗緩蝕劑。也可直接用作鹽酸、硫酸等無機酸的緩蝕劑;
安全性
危害
健康危害:本品主要引起高鐵血紅蛋白血症、溶血性貧血和肝、腎損害。易經皮膚吸收。急性中毒:患者口唇、指端、耳廓紫紺,有頭痛、頭暈、噁心、嘔吐、手指發麻、精神恍惚等;重度中毒時,皮膚、黏膜嚴重青紫,呼吸困難,抽搐,甚至昏迷,休克。出現溶血性黃疸、中毒性肝炎及腎損害。可有化學性膀胱炎。眼接觸引起結膜角膜炎。慢性中毒:患者有神經衰弱綜合徵表現,伴有輕度紫紺、貧血和肝、脾腫大。皮膚接觸可引起濕疹。
環境危害:對環境有危害,對水體可造成污染。
燃爆危險:本品可燃,有毒。
急救措施
皮膚接觸:立即脫去污染的衣著,用肥皂水和清水徹底沖洗皮膚。就醫。
眼睛接觸:立即提起眼瞼,用大量流動清水或生理鹽水徹底沖洗至少15分鐘。就醫。
吸入:迅速脫離現場至空氣新鮮處。保持呼吸道通暢。如呼吸困難,給輸氧。如呼吸停止,立即進行人工呼吸。就醫。
食入:飲足量溫水,催吐。就醫。
消防措施
危險特性:遇明火、高熱可燃。與酸類、鹵素、醇類、胺類發生強烈反應,會引起燃燒。
有害燃燒產物:一氧化碳、二氧化碳、氧化氮。
滅火方法:消防人員須戴好防毒面具,在安全距離以外,在上風向滅火。滅火劑:水、泡沫、二氧化碳、砂土。 泄漏應急處理.
穩定性
穩定性:極易被空氣中的氧氣氧化。現象:由無色透明液體變為黃色至紅棕色。產物:苯醌,偶氮鹽等。因此苯胺需要保存在棕色試劑瓶中並置於陰暗處。禁配物:強氧化劑、酸類、醯基氯、酸酐。
避免接觸的條件:空氣、光照。
泄漏應急處理
應急處理:迅速撤離泄漏污染區人員至安全區,並進行隔離,嚴格限制出入。切斷火源。建議應急處理人員戴自給正壓式呼吸器,穿防毒服。不要直接接觸泄漏物。儘可能切斷泄漏源。防止流入下水道、排洪溝等限制性空間。小量泄漏:用砂土或其它不燃材料吸附或吸收。
大量泄漏:構築圍堤或挖坑收容。噴霧狀水或泡沫冷卻和稀釋蒸汽、保護現場人員。用泵轉移至槽車或專用收集器內,回收或運至廢物處理場所處置。
2012年12月31日7時40分,位於長治市潞城市境內的山西天脊煤化工集團股份有限公司發生一起因輸送軟管破裂導致的苯胺泄漏事故,泄漏苯胺隨河水流出省外,引起邯鄲市大面積停水。
操作處置與儲存
操作注意事項:密閉操作,提供充分的局部排風。操作儘可能機械化、自動化。操作人員必須經過專門培訓,嚴格遵守操作規程。建議操作人員佩戴過濾式防毒面具(半面罩),戴安全防護眼鏡,穿防毒物滲透工作服,戴橡膠耐油手套。遠離火種、熱源,工作場所嚴禁吸菸。使用防爆型的通風系統和設備。防止蒸氣泄漏到工作場所空氣中。避免與氧化劑、酸類接觸。搬運時要輕裝輕卸,防止包裝及容器損壞。配備相應品種和數量的消防器材及泄漏應急處理設備。倒空的容器可能殘留有害物。儲存注意事項:儲存於陰涼、通風的庫房。遠離火種、熱源。庫溫不超過30℃,相對濕度不超過80%。避光保存。包裝要求密封,不可與空氣接觸。應與氧化劑、酸類、食用化學品分開存放,切忌混儲。配備相應品種和數量的消防器材。儲區應備有泄漏應急處理設備和合適的收容材料。
毒理學資料
毒性:中等毒性。急性毒性:LD50442mg/kg(大鼠經口);820mg/kg(兔經皮);LC50175ppm,7小時(小鼠吸入)
亞急性和慢性毒性:大鼠吸入19mg/m3,6小時/天,23周時高鐵血蛋白升高至600mg/mL。
致突變性:微粒體誘變試驗:鼠傷寒沙門氏菌100ug/皿。姊妹染色單體交換:小鼠腹腔內210mg/kg。
生產苯胺的有機化工廠、焦化廠及石油冶煉廠等企業,使用苯胺的染料合成,製藥業,印染工業,橡膠促凝劑和防老化劑、列印油墨、2,4,6-三硝基苯甲硝胺、光學白塗劑、照相顯影劑、樹脂、假漆、香料、輪胎拋光劑及許多其他有機化學品的製造。在這些生產和使用苯胺的行業中以及在貯運過程中的意外事故均會造成對環境的污染、對人體危害。
苯胺中毒後無法進行飲酒類活動,否則會有生命危險。
物質毒性作用試驗數據
編號毒性類型
測試方法
測試對象
使用劑量
毒性作用
1
急性毒性
口服
兒童
3125mg/kg
1.肺部、胸部或者呼吸毒性——紫紺
2
急性毒性
未報告
成年男性
350mg/kg
詳細作用沒有報告除致死劑量以外的其他值
3
急性毒性
未報告
成年男性
150mg/kg
詳細作用沒有報告除致死劑量以外的其他值
4
急性毒性
口服
大鼠
250mg/kg
詳細作用沒有報告除致死劑量以外的其他值
5
急性毒性
吸入
大鼠
250ppm/4H
詳細作用沒有報告除致死劑量以外的其他值
6
急性毒性
皮膚表面
大鼠
1400mg/kg
詳細作用沒有報告除致死劑量以外的其他值
7
急性毒性
腹腔注射
大鼠
420mg/kg
詳細作用沒有報告除致死劑量以外的其他值
8
急性毒性
口服
小鼠
464mg/kg
詳細作用沒有報告除致死劑量以外的其他值
9
急性毒性
吸入
小鼠
175ppm/7H
詳細作用沒有報告除致死劑量以外的其他值
10
急性毒性
腹腔注射
小鼠
492mg/kg
詳細作用沒有報告除致死劑量以外的其他值
11
急性毒性
皮下注射
小鼠
200mg/kg
詳細作用沒有報告除致死劑量以外的其他值
12
急性毒性
口服
狗
195mg/kg
詳細作用沒有報告除致死劑量以外的其他值
13
急性毒性
皮膚表面
狗
1540mg/kg
詳細作用沒有報告除致死劑量以外的其他值
14
急性毒性
靜脈注射
狗
200mg/kg
詳細作用沒有報告除致死劑量以外的其他值
15
急性毒性
口服
貓
100mg/kg
詳細作用沒有報告除致死劑量以外的其他值
16
急性毒性
吸入
貓
180ppm/8H
詳細作用沒有報告除致死劑量以外的其他值
17
急性毒性
皮膚表面
貓
254mg/kg
詳細作用沒有報告除致死劑量以外的其他值
18
急性毒性
皮下注射
貓
100mg/kg
詳細作用沒有報告除致死劑量以外的其他值
19
急性毒性
口服
兔
500mg/kg
詳細作用沒有報告除致死劑量以外的其他值
20
急性毒性
皮膚表面
兔
820uL/kg
詳細作用沒有報告除致死劑量以外的其他值
21
急性毒性
皮下注射
兔
1mg/kg
1.肺部、胸部或者呼吸毒性——其他變化
22
急性毒性
靜脈注射
兔
64mg/kg
詳細作用沒有報告除致死劑量以外的其他值
23
急性毒性
口服
豚鼠
400mg/kg
詳細作用沒有報告除致死劑量以外的其他值
24
急性毒性
皮膚表面
豚鼠
1290mg/kg
詳細作用沒有報告除致死劑量以外的其他值
25
急性毒性
腹腔注射
豚鼠
100mg/kg
詳細作用沒有報告除致死劑量以外的其他值
26
急性毒性
口服
鵪鶉
750mg/kg
詳細作用沒有報告除致死劑量以外的其他值
27
急性毒性
口服
哺乳動物
500mg/kg
詳細作用沒有報告除致死劑量以外的其他值
28
急性毒性
吸入
哺乳動物
2500mg/m3
詳細作用沒有報告除致死劑量以外的其他值
29
急性毒性
口服
野生鳥類
562mg/kg
詳細作用沒有報告除致死劑量以外的其他值
30
慢性毒性
口服
大鼠
913mg/kg/2W-I
1.內分泌毒性——脾臟重量發生變化
2.營養和代謝系統毒性——鐵含量發生變化
3.生化毒性——抑制轉氨酶活性、改變了轉氨酶空間結構
31
慢性毒性
口服
大鼠
550mg/kg/5D-C
1.血液毒性——脾發生變化
2.營養和代謝系統毒性——體重下降或體重增加速率下降
3.慢性病相關毒性——死亡
32
慢性毒性
口服
大鼠
210mg/kg/12W-C
1.血液毒性——紅細胞染色異常或影響有核紅細胞
2.血液毒性——出現高鐵血紅蛋白、碳氧血紅蛋白
3.生化毒性——抑制或誘導酯酶
33
慢性毒性
吸入
大鼠
3mg/m3/22W-I
1.血液毒性——血清成分發生變化(如TP、膽紅素、膽固醇)
2.血液毒性——其他變化
34
慢性毒性
吸入
大鼠
87ppm/6H/2W-I
1.肝毒性——肝重量發生變化
2.內分泌毒性——脾臟重量發生變化
3.血液毒性——紅細胞計數發生變化
35
慢性毒性
吸入
大鼠
300ug/m3/24H/80D-C
1.行為毒性——肌肉收縮或痙攣
36
慢性毒性
吸入
大鼠
5mg/m3/24H/21D-C
1.血液毒性——出現高鐵血紅蛋白、碳氧血紅蛋白
37
慢性毒性
皮下注射
大鼠
900mg/kg/6D-I
1.肝毒性——其他變化
2.生化毒性——抑制或誘導肝微粒體混合功能氧化酶(脫烷基化,羥基化等)
3.生化毒性——抑制或脫氫酶誘導
38
眼部毒性
皮膚表面
兔
20mg/24H
作用中等
39
眼部毒性
入眼
兔
102mg
作用嚴重
40
眼部毒性
入眼
兔
20mg/24H
作用中等
41
突變毒性
鼠傷寒沙門氏菌
100ug/plate
42
突變毒性
大腸桿菌
39658ug/well/16H
43
突變毒性
人類淋巴細胞
300umol/L
44
突變毒性
腹腔注射
大鼠
105mg/kg
45
突變毒性
大鼠鼠傷寒沙門氏菌
300mg/kg
46
突變毒性
大鼠肝
200umol/L
47
突變毒性
腹腔注射
小鼠
50mg/kg
48
突變毒性
小鼠淋巴細胞
500umol/L
49
突變毒性
小鼠淋巴細胞
500mg/L
50
突變毒性
小鼠成纖維細胞
800ug/L
51
突變毒性
腹腔注射
小鼠
300mg/kg
52
突變毒性
小鼠淋巴細胞
21500umol/L
53
突變毒性
口服
小鼠
1mg/kg
54
突變毒性
腹腔注射
小鼠
210mg/kg
55
突變毒性
小鼠淋巴細胞
2500umol/L
56
突變毒性
倉鼠卵巢
444mg/L
57
突變毒性
倉鼠卵巢
50mg/L
58
突變毒性
倉鼠肺
500ug/L
59
致癌性
口服
大鼠
11mg/kg/29W-C
1.致癌性——腫瘤(根據RTECS標準)
2.腎、輸尿管和膀胱毒性——腫瘤
60
致癌性
口服
大鼠
72800mg/kg/2Y-C
1.致癌性——腫瘤(根據RTECS標準)
2.血液毒性——腫瘤
61
生殖毒性
口服
小鼠
4480mg/kg,雌性受孕6-13天后
1.生殖毒性——新生兒體重增加量減少
人體危害資料
急性中毒表現
主要引起高鐵血紅蛋白血症和肝、腎及皮膚損害。短期內皮膚吸收或吸入大量苯胺者先出現高鐵血紅蛋白血症,表現為紫紺,舌、唇、指(趾)甲、面頰、耳廓呈藍褐色,嚴重時皮膚、黏膜呈鉛灰色,並有頭暈、頭痛、乏力、胸悶、心悸、氣急、食欲不振、噁心、嘔吐,甚至意識障礙。高鐵血紅蛋白10%以上,紅細胞中出現赫恩茲小體。可在中毒4天左右發生溶血性貧血。中毒後2-7天內發生毒性肝病。口服中毒出上述症狀外,胃腸道刺激症狀較明顯。
眼睛接觸:可出現結膜角膜炎。
皮膚接觸:可引起皮炎。
慢性中毒表現
長期低濃度接觸可引起中毒性肝病。安全術語
S26Incaseofcontactwitheyes,rinseimmediatelywithplentyofwaterandseekmedicaladvice.不慎與眼睛接觸後,請立即用大量清水沖洗並徵求醫生意見。
S27Takeoffimmediatelyallcontaminatedclothing.
一旦衣物受到污染,請立即脫去。
S36/37/39Wearsuitableprotectiveclothing,glovesandeye/faceprotection.
穿戴適當的防護服、手套和護目鏡或面具。
S45Incaseofaccidentorifyoufeelunwell,seekmedicaladviceimmediately(showthelabelwheneverpossible.)
若發生事故或感不適,立即就醫(可能的話,出示其標籤)。
S46Ifswallowed,seekmedicaladviceimmediatelyandshowthiscontainerorlabel.
若不慎吞食,立即就醫並出示其容器或標籤。
S61Avoidreleasetotheenvironment.Refertospecialinstructions/safetydatasheets.
避免釋放至環境中。參考特別說明/安全數據說明書。
風險術語
R23/24/25Toxicbyinhalation,incontactwithskinandifswallowed.吸入、皮膚接觸及吞食有毒。
R40Limitedevidenceofacarcinogeniceffect.
少數報導有致癌後果。
R41Riskofseriousdamagetotheeyes.
對眼睛有嚴重傷害。
R43Maycausesensitizationbyskincontact.
與皮膚接觸可能致敏。
R50Verytoxictoaquaticorganisms.
對水生生物有極高毒性。
R68Possibleriskofirreversibleeffects.
可能有不可逆後果的危險。
飲用水地表水源地的特定監測項目
| 對於生活飲用水地表水源地水質的監測是對水源地保護的一項基礎工作。我國的地表水環境標準中規定,除了要監測地表水環境質量標準基本項目外,還要監測80項特定監測項目。 |
| 三氯甲烷| 四氯化碳| 三溴甲烷| 二氯乙烷| 1,2-二氯乙烷| 環氧氯丙烷| 1,1-二氯乙烯| 1,2-二氯乙烯| 四氯乙烯| 氯丁二烯| 六氯丁二烯| 二甲苯| 異丙苯| 乙醛| 丙烯醛| 三氯乙醛| 1,2-二氯苯| 1,4二氯苯| 三氯苯| 四氯苯| 六氯苯| 硝基苯、二硝基苯 | 2,4-二硝基甲苯| 三硝基甲苯| 硝基氯苯| 2,4二硝基氯苯| 2,4-二氯苯酚| 2,4,6-三氯苯酚| 五氯苯酚| 苯胺| 聯苯胺| 丙烯醯胺| 水合肼| 四乙基鉛| 吡啶| 苦味酸| 丁基黃原酸| 活性氯| 滴滴涕| 環氧七氯| 對硫磷| 馬拉硫磷| 內吸磷 | 百菌清| 甲萘威| 溴氰菊酯| 阿特拉津| 苯並[A]芘| 甲基汞| 微囊藻毒素| 黃磷| 鉬| 硼| 鈦 |

