簡介
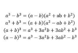
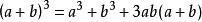
立方差公式與立方和公式統稱為立方公式,兩者基本描述如下 :
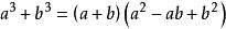
立方和公式,即兩數立方和等於這兩數的和與這兩數平方和與這兩數積的差的積。也可以說兩數立方和等於這兩數積與這兩數差的不完全平方的積 。
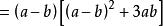
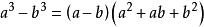
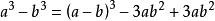
立方差公式,即兩數立方差等於這兩數差與這兩數平方和與這兩數積的和的積。也可以說,兩數立方差等於兩數差與這兩數和的不完全平方的積 。
證明
初級證明
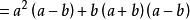
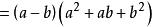
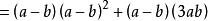
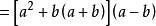
由於立方項不好拆分,但是我們學過,遇到高階項要儘量採用低階項來對其進行簡化處理,所以很容易想到a ,同時由於對a 降階的同時還要和b 進行結合,所以很容易想到a b這樣一個加法項,因此對上式採取分別加和減一個a b項,得到下式,同時進行相應的合併
立方差公式
立方差公式
立方差公式
立方差公式證得:
立方差公式高級證明
立方差公式因為
所以根據交換律法則:
立方差公式
立方差公式
立方差公式
立方差公式
立方差公式
立方差公式證得:
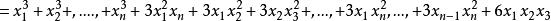
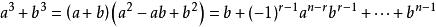
立方差公式公式推廣
類似的,我們有立方和公式及其推廣:
立方差公式n為大於零的奇數,r為中括弧內項的序數,後面括弧中各項式的冪之和都為n-1,a 表示a的n次方。(n大於0且n不等於2)
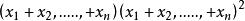
立方差公式解題時常用它的變形:
立方差公式和
立方差公式相應的,立方差公式也有變形
因此其推廣 :
立方差公式
立方差公式
立方差公式
