主要公式
完全立方和公式
完全立方公式解題時常用它的變形:
和
完全立方公式完全立方差公式
完全立方公式
完全立方公式注意:在
中,按第一個字母排列後它的符號是“+、-.+、-”。
完全立方公式亦有變形
公式推導
推導步驟入如下:
完全立方和公式
完全立方公式完全立方差公式
完全立方公式
完全立方公式推廣:
完全立方公式
完全立方公式
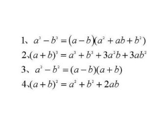
包括完全立方和公式和完全立方差公式,完全立方和公式是指兩數和的立方等於這兩個數的立方和與每一個數的平方乘以另一個數3倍的和,完全立方差公式是指兩數差的立方等於這兩個數的立方差與每一個數的平方乘以另一個數3倍的和與差。完全立方公式不僅在數學領域套用廣泛,在其他學科中也有很重要的用途。
完全立方公式解題時常用它的變形:
和
完全立方公式
完全立方公式
完全立方公式注意:在
中,按第一個字母排列後它的符號是“+、-.+、-”。
完全立方公式亦有變形
推導步驟入如下:
完全立方公式
完全立方公式
完全立方公式推廣:
完全立方公式
完全立方公式