定義
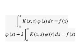
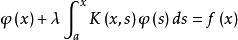
形如
沃爾泰拉積分方程
沃爾泰拉積分方程
沃爾泰拉積分方程
沃爾泰拉積分方程的積分方程分別稱為第一類和第二類沃爾泰拉積分方程,其中, 是參數, 是未知函式。這是沃爾泰拉(V.Volterra)在研究某個生態平衡問題時提出並討論的積分方程。
弗雷德霍姆積分方程
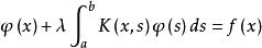
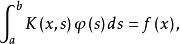
形如
沃爾泰拉積分方程
沃爾泰拉積分方程的積分方程分別稱為第一類和第二類弗雷德霍姆積分方程。
沃爾泰拉積分方程其中,λ是參數,φ(x)是未知函式,。
辨析
沃爾泰拉積分方程第二類沃爾泰拉積分方程沒有特徵值,是區別於弗雷德霍姆積分方程的重要特點。對於任意的右端,方程都有唯一解,並且解可以表示為
沃爾泰拉積分方程
沃爾泰拉積分方程其中, 為方程的解核。
沃爾泰拉積分方程與弗雷德霍姆積分方程的不同之處,僅在於它的積分上限是變數x,且α≤y≤x≤b,此處α、b是常量。沃爾泰拉積分方程可視為弗雷德霍姆積分方程的核K(x,y)當y>x時為零的情形。

