平面的畫法
平面的畫法
平面水平的平面可以畫成一個平行四邊形,銳角畫成45°,鈍角畫成135°,橫邊是鄰邊的2倍。
具體畫法可以根據題意,方便做題就可以
平面表示方法
平面表示方法 :
(1)用希臘字母α、β、γ寫在一個角上。如平面α、平面β。
(2)用四個頂點的字母或者對角線的字母。如平面ABCD、平面AC。
平面與直線
1、 點A在平面α內,記作A∈α; 點B不在平面α內,記作B不屬於α。
2、 點P在直線l上,記作P∈l; 點P在直線l外,記作P不屬於I。
3、如果直線l上的所有點都在平面α內,就說 直線l在平面α內,或者 平面α經過直線l,記作l⊂α,否則說 直線l在平面α外,記作l不屬於α。
4、平面α、β相交於直線l,記作α∩β=l。
5、直線a在平面α內 記作 a⊂α
公理
公理一 如果一條直線上的兩點在一個平面內,那么這條直線在此平面內。
公理二 過不在一條直線上的三點,有且只有一個平面。
公理三 如果兩個不重合的平面有一個公共點,那么它們有且只有一條過改點的公共直線。
公理四 平行於同一條直線的兩條直線互相平行。
推論
推論一 經過一條直線和這條直線外的一點,有且只有一個平面。
推論二 經過兩條相交直線,有且只有一個平面。
推論三 經過兩條平行直線,有且只有一個 。
平面相交的判定
如果兩個平面有一個公共點,就說這兩個平面相交。
線面平行的判定
平面外的一條直線與此平面內的一條直線平行,則該直線與此平面平行。
平面平行的判定
一 如果一個平面內有兩條相交直線都平行於另一個平面,那么這兩個平面平行。
二 垂直於同一條直線的兩個平面平行。
線面平行的性質
一條直線與一個平面平行,則過這條直線的任一平面與此平面的交線平行。
平面平行的性質
一 如果兩個平行平面同時與第三個平面相交,那么它們的交線平行。
二 如果一條直線在一個平面內,那么與此平面平行的平面與該直線平行。
線面垂直的判定
一 一條直線與一個平面內的兩條相交直線都垂直,則該直線與此平面垂直。
二 如果一條直線垂直於一個平面,那么與這條直線平行的直線垂直於該平面。
平面垂直的判定
一個平面過另一個平面的垂線,則這兩個平面垂直。
線面垂直的性質
一 垂直於同一個平面的兩條直線平行。
二 若直線垂直於平面,則直線垂直於這個平面的所有直線。
三平行於同一條直線的兩條直線互相平行。
平面垂直的性質
兩個平面垂直,則一個平面內垂直於交線的直線與另一個平面垂直。
符號表示
(1)α∩β=A→α∩β=l,l⊂α
(2)l⊄α,l//m,m⊂α→l//α
(3)m⊂α,n⊂α,m∩n=O,m//β,n//β→α//β
(4)α⊥l,β⊥l→α//β
(5)l//α,l⊂β,α∩β=m→l//m
(6)α//β,α∩γ=l,β∩γ=m→l//m
(7)α//β,l⊂α→l//β
(8)l⊥m,l⊥n,m∩n=O,m⊂α,n⊂α→l⊥α
(9)m//n,α⊥m→n⊥α
(10)l⊂α,l⊥β→α⊥β
(11)α⊥m,α⊥n→m//n
(12)l⊥α,m⊂α→l⊥m
(13)α⊥β,α∩β=l,m⊥l,m⊂α→m⊥β
平面方程
平面
在空間中,到兩點距離相等的點的軌跡叫做平面。
平面方程
根據定義,設動點為M(x,y,z),兩點分別為(a,b,c)和(d,e,f)
則[(x-a)^2+(y-b)^2+(z-c)^2]^1/2=[(x-d)^2+(y-e)^2+(z-f)^2]^1/2
x^2-2ax+y^2-2by+z^2-2cz+(a^2+b^2+c^2)=x^2-2dx+y^2-2ey+z^2-2fz+(d^2+e^2+f^2)
(2d-2a)x+(2e-2b)y+(2f-2c)z+(a^2-d^2+b^2-e^2+c^2-f^2)=0
形式為ax+by+cz+d=0
平面的法向量
取平面內三點:A(0,0,-d/c)B(1,1,-(d+b+a)/c)C(0,2,-(d+2b)/c) AC=(0,2,-2b/c)AB=(1,1,-(a+b)/c) 設向量n:(x,y,c)為平面的法向量,則 2y-2b=0 x+y-(a+b)=0 ->y=b x=a 則n=(a,b,c)為平面的一個法向量。
平面切割
直線切割平面
直線切割平面是指用直線將平面劃分成多個部分。
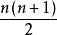
平面[數學名詞]n條直線最多將平面分割成1+ 個部分,最少將平面分割成n+1個部分。
平面[數學名詞]證明:(1)有一條直線時,最少分成2部分,最多分成1+1=2部分;
(2)有兩條直線時,最少分成4部分,最多分成1+1+2=4部分,此時兩直線有一個交點;
(3)有三條直線時,最少分成6部分,最多分成1+1+2+3=7部分,此時三條直線有三個交點;
(4)設直線條數有n條,分成的平面最多有a個,最少有b個,有以下規律:
a=1+1+…+(n-1)+n=
圓切割平面
圓切割平面是指用圓將平面劃分成多個部分。
n個圓最多將平面分割成2+n(n-1)個部分,最少將平面分割成2n個部分。
證明:
設n個圓最多可以把平面分成S(n)個部分.
則可得:
S(1)=2;
S(2)=4;
...
前n-1個圓最多將平面分成S(n-1)個部分,此時,對於第n個圓來說,它與先前的n-1個圓最多有2(n-1)個交點,即此第n個圓最多被這2(n-1)個交點分成2(n-1)條圓弧段.由於每增加一個圓弧段,便可將原來的某個區域分為兩個區域(此處最好看圖分析).因此,第n個圓使平面增加了2(n-1)個區域.因此可得遞推關係式:
S(n)=S(n-1)+2(n-1), 其中n大於等於2.
由此遞推關係式得到:
S(n)=S(1)+2*1+2*2+...+2*(n-1)=2+n*(n-1)=2+n(n-1);
即n個圓最多可以把平面分成2+n(n-1)個部分。
證明最少同直線。
三角形切割平面
三角形切割平面是指用三角形將平面劃分成多個部分。
n個三角形最多將平面分割成3n(n-1)+2個部分,最少將平面分割成2n個部分。
證明:平面本身是1部分.一個三角形將平面分成三角形內、外2部分,即增加了1部分,
兩個三角形不相交時將平面分成3部分,相交時,交點越多分成的部分越多(見下圖);
平面[數學名詞]
平面[數學名詞]對於每個三角形,因為1條直線最多與三角形的兩條邊相交,所以第3個三角形的每條邊最多與前面2個三角形的各兩條邊相交,共可產生3×(2×2)=12(個)交點,即增加12部分;
因此,3個三角形最多可以把平面分成:1+1+6+12=20(部分);
由上面的分析,當畫第n(n≥2)個三角形時,每條邊最多與前面已畫的(n-1)個三角形的各兩條邊相交,
共可產生交點:3×[(n-l)×2]=6(n-1)(個),能新增加6(n-1)部分,
因為1個三角形時有2部分,所以n個三角形最多將平面分成的部分數是:
2+6×[1+2+…+(n-1)]=2+6×=2+3n(n-1),
證明最少同直線。
有關平面的關係
直線和平面
設直線方程為x=kz+b,y=lz+a,平面方程為cx+dy+ez+f=0,p=k+l+e,q=a+b+f
屬於:p=0,q=0
平行:p=0,q≠0
相交:p≠0
垂直:c/k=l/d=e
平面和平面
設平面a的方程為ax+by+cz+d=0平面b的方程為a1x+b1y+c1z+d1=0
((|a||+|b|+|c|+|d|)^2(|a1+|b1+|c1|+|d1|)^2>0)
相交:不平行也不重合
平行:a/a1=b/b1=c/c1≠d/d1
重合:a/a1=b/b1=c/c1=d/d1
垂直:aa1+bb1+cc1+dd1=0
有關平面的關係
空間的角
設平面e、f的法向量為c、d 直線m的方向向量為a (把直線z=kx+b,z=ly+a的方向向量(k,l,1)代入,
把平面ax+by+cz+d=0的法向量(a,b,c)代入
直線和平面所成的角:
設b為m和e所成的角,則b=π/2±<a,c>。sinb=|cos<a,c>|=|a*c|/|a||c|
二面角:當雙法向量的朝向一致時,平面e、f的法向量為c、d
設二面角e-e∩f-f為a,那么a=π-<c,d>=π-|c*d|/|c||d|
當雙法向量的朝向不一致時,平面e、f的法向量為c、d
設二面角e-e∩f-f為a,那么a=<c,d>=|c*d|/|c||d|
空間距離的求解
點到平面的距離:設PA為平面的一條斜線,O是P點在a內的 ,PA和a所成的角為b,n為a的法向量。
易得:|PO|=|PA|sinb=|PA|*|cos<PA,n>|=|PA|*(|PA*n|/|PA||n|)=|PA*n|/|PA|
直線到平面的距離為在直線上一點到平面的距離;
平面到平面的距離為在平面上一點到平面的距離;
點到直線的距離:A∈l,O是P點在l上的射影,PA和l所成的角為b,s為l的方向向量。
易得:|PO|=|PA|*|sinb|=|PA|*|sin<PA,s>|=|(PA|^2|s|^2|-|PA*s|^2)^1/2/|s|
日本特色風味小吃
| 章魚燒 | 名古屋炸雞翅 | 烏龍麵 | 芥末冰淇凌 | 人形燒 | 梅酒 | 毛蟹 | 銅鑼燒 | 長崎蛋糕 | 平面 | 石狩鍋 | 小樽壽司 | 天婦羅 | 盞鬼銀蘿撻 | 四鮮日賣皇 | 日本玉吒 | 木魚豚肉包 | 日式抹茶芝士餅 | 年糕小豆湯 | 東京蕎麥麵 | 日本拉麵 | 鐵板燒 | 壽喜燒 | 刺身 | 丁字麩 | 味噌湯 | 紫菜包飯 | 日式蒸魚 | 鐵火細卷 | 大阪燒 | 色烤玉米 | 北海道海鮮蓋飯 | 江戶前壽司 | 大阪烏龍麵火鍋 | 大阪夫婦善哉 | 廣島燒 | 沖繩麵條 | 八爪魚丸 | 好燒 | 關東煮 | 鯛魚燒 | 壽司 | 芥末蓮藕 | 西條柿 | 薩摩炸魚肉餅 | 楓葉饅頭 | 沖繩開口笑 | 吉野葛粉 | 鰻魚茶泡飯 | 八丁味噌 | 金平糖 | 御好燒 | 宇治金時 | 和果子 | 日本什錦煎餅| 生魚片 |
![平面[數學名詞] 平面[數學名詞]](/img/2/bc4/nBnauM3X1ATN2kTOykzN1ATN0UTMyITNykTO0EDMwAjMwUzL5czL3czLt92YucmbvRWdo5Cd0FmLwE2LvoDc0RHa.jpg)
