簡介
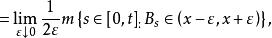
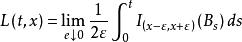
局部時是布朗運動在點鄰域所渡過的時間總量的量度,如果存在極限
局部時
局部時
局部時其中 m 為勒貝格測度,則稱函式 為布朗運動 {B} 在 x 除的局部,可以證明,上述極限在 L 意義下和 a.s. 意義下都是存在的,且 L(t,x) 可定義為 (t,x) 二元連續函式。
布朗運動
(Brownian movement)
布朗運動是微小粒子表現出的無規則運動。1827年英國植物學家R.布朗在花粉顆粒的水溶液中觀察到花粉不停頓的無規則運動。進一步實驗證實,不僅花粉顆粒,其他懸浮在流體中的微粒也表現出這種無規則運動,如懸浮在空氣中的塵埃。後人就把這種微粒的運動稱之為布朗運動。以懸浮在水中的藤黃顆粒為例,一個半徑為2x10^-7米的藤黃顆粒,質量約為3x10^-17千克,在27℃時它的運動速率接近0.02米/秒。起初人們不了解這種運動的起因。1877年J.德耳索首先指出布朗動是由於顆粒受到液體分子碰撞的不平衡力作用而引起的。隨後,1904年法國科學家H.潘卡雷進一步解釋,大物體(如線度為0.1毫米)將從各個方面受到運動原子的衝擊,打擊非常頻繁,機率定律使之互相補償,故它們不移動。微小的粒子受到的打擊太少,以至無法補償。這就是說,布朗運動是液體分子處於不停頓無規則熱運動的巨觀表現。1905-1906年A.愛因斯坦和M.von斯莫盧霍夫斯基分別發表了理論上分析布朗運動的文章。1908年皮蘭用實驗驗證了愛因斯坦的理論,從而使分子動理論的物理圖像為人們廣泛接受。
勒貝格測度
勒貝格測度是賦予歐幾里得空間的子集一個長度、面積、或者體積的標準方法。它廣泛套用於實分析,特別是用於定義勒貝格積分。可以賦予一個體積的集合被稱為勒貝格可測;勒貝格可測集A的體積或者說測度記作λ(A)。一個值為∞的勒貝格測度是可能的,但是即使如此,在假設選擇公理成立時,R的所有子集也不都是勒貝格可測的。不可測集的“奇特”行為導致了巴拿赫-塔斯基悖論這樣的命題,它是選擇公理的一個結果。

