基本介紹
定理1
定比分點
定比分點
定比分點
定比分點
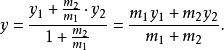
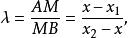
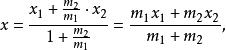
定比分點設坐標軸上有向線段 的起點A和終點B的坐標分別為 和 分點M分 的比為 ,那么,分點M的坐標
定比分點證明: 分點M的坐標為x,那么由定理1 知
定比分點由此得
定比分點推論
定比分點
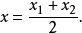
定比分點設坐標軸上線段AB的端點A和B的坐標分別為, 和那么線段AB的中點的坐標
定比分點例題解析
定比分點
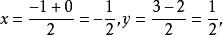
定比分點【 例1】 已知有兩點P(3,-2),P(-9,4),線段PP與x軸的交點P分有向線段PP所成比為 ,則有 是多少?並求P點橫坐標。
定比分點
定比分點
定比分點解:設 ,則有 得
定比分點評註:先由起點、分點、終點的縱坐標求出 ,進一步再得到分點的橫坐標。
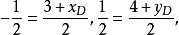
【 例2】 已知平行四邊形ABCD的三個頂點A(-1,-2),B(3,4),C(0,3),則頂點D的坐標為多少?
解:設平行四邊形ABCD的對角線AC,BD的交點為E(x,y),即E為AC的中點,所以
定比分點
定比分點即E點的坐標為 。
定比分點
定比分點又因為E為BD的中點,所以解得 。
評註: 利用平行四邊形性質。
【 例3】 在平面上有五個整點(坐標為整數的點),證明其中至少有兩個點的連線的中點也是整點。
證明: 設A,B,C,D,E是五個整點,則每個點的坐標的奇偶不外四種可能,就是(偶,偶)、(奇,奇)、(奇,偶)和(偶,奇)。我們取四個點A、B、C、D,它們的坐標的“最壞”情形是(偶,偶)、(奇,奇)、(奇,偶)、(偶,奇)。因為這時四個點中任意兩個點的連線的中點都不是整點,第五個點E的坐標只能是上面說的四種情形之一,但不論是哪種情形,容易驗證E與A、B、C、D中的某一點的連線的中點必是整點。
定比分點
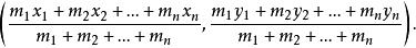
定比分點【 例4】 在點 和 處各放置質量為m和m的質點,求證:這兩個質點組成的質點系的重心的坐標為
定比分點
定比分點
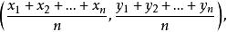
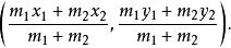
定比分點在n個點 處各放置質量為 的質點,求證:這n個質點組成的質點系的重心的坐標為
定比分點證明:兩個質點組成的質點系的重心G線上段PP上,並且滿足條件
定比分點即
定比分點所以
定比分點所以重心G的坐標
定比分點
定比分點一般情形請讀者用數學歸納法證明。
定比分點
定比分點
定比分點
定比分點
定比分點
定比分點
定比分點
定比分點
定比分點【 例5】已知n個點 ,在有向線段 上取一點G,使G分 的比為1:1;在有向線段 上取一點G,使G分 的比為1:2;在有向線段 上取一點G使G分 的比為1:3;......;在有向線段 上取一點G,使G分 的比為1:n-1,求證:最後的分點G的坐標為
定比分點點G叫作已知的n個點P,P,…,P的(幾何)重心(圖1)。
圖1
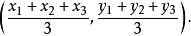
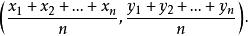
定比分點特別地,以 為頂點的三角形的(幾何)重心的坐標為
定比分點證明: 設例4中的n個質點的質量都相等,這時n個質點的力學重心即是n個點P,P,…,P的幾何重心G,所以G的坐標為
定比分點不利用例4也可獨立證明。

